2025 Vol. 46, No. 3

Industry Status and Analysis
2024 China’s titanium industry development report
AN Zhongsheng, ZHAO Wei
2025, 46(3): 1-8. doi: 10.7513/j.issn.1004-7638.2025.03.001
Abstract(1142) HTML (226) PDF(178)
Abstract:
Based on comprehensive industry chain data from China’s titanium sector in 2024, this study systematically analyzed the production capacity, output, applications, and import-export dynamics of key products including titanium concentrate, sponge titanium, titanium ingots, and titanium processed materials. It summarized industry development characteristics, identified core challenges, and proposed targeted recommendations, providing strategic references for industrial optimization and upgrading.
Status and development of titanium dioxide industry of China in 2024
BI Sheng
2025, 46(3): 9-11. doi: 10.7513/j.issn.1004-7638.2025.03.002
Abstract(392) HTML (312) PDF(34)
Abstract:
This paper comprehensively analyzes the operational status of China’s titanium dioxide industry in 2024. The data reveals a total output of 4.766 million tons (14.57% year-on-year growth) with suboptimal capacity utilization rate of 80.8%, indicating overcapacity. Rutile-type products dominate at 85% market share, with apparent domestic demand reaching 2.958 million tons and record exports hitting 1.9 million tons. The industry faces dual challenges: continuous capacity expansion (projected to reach 7.3-7.4 million tons/year by 2025) intensifying domestic and international competition, coupled with tightening supply of titanium raw materials-particularly high-grade titanium feedstock (TiO2≥92%) for chloride process which heavily relies on imports. To address issues like homogeneous competition and insufficient brand influence, the study proposes strategic recommendations including brand enhancement, supply-side structural reforms, and industrial consolidation to facilitate China’s transformation from a production giant to a quality-oriented power in titanium dioxide industry.
Separating and Extracting of Vanadium and Titanium
Efficient metallurgical extraction of vanadium slag: mechanochemically enhanced sodium salt roasting vanadium extraction process
QIAO Lu, XIANG Junyi, HUANG Qingyun, LI Lanjie, LÜ Xuewei
2025, 46(3): 12-17. doi: 10.7513/j.issn.1004-7638.2025.03.003
Abstract(413) HTML (103) PDF(37)
Abstract:
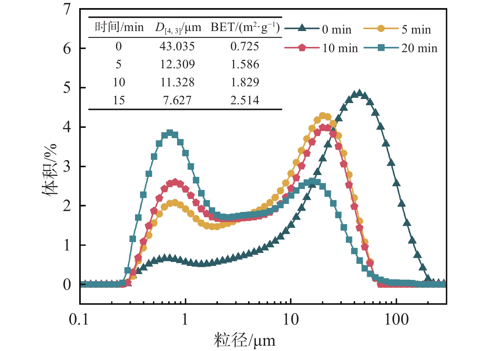
To resolve the low conversion rate in single-pass roasting and ring formation in rotary kilns during conventional sodium roasting-water leaching process, this study proposed an innovative mechanical activation-granulation co-pretreatment technology. High-energy ball milling was introduced to promote phase dissociation and microstructure modification of vanadium slag, significantly enhancing its reactivity. Granulation process was optimized to improve heat transfer uniformity and oxidation rate of raw materials. Through XRD, laser particle size analysis, and BET measurements, the physicochemical evolution of vanadium slag was systematically characterized. Results indicate that mechanical activation can cause lattice distortion and diffraction peak broadening. It reduces the average particle size of vanadium slag from 43.035 μm to 7.627 μm and increases the specific surface area from 0.725 m2/g to 2.514 m2/g. The optimal roasting temperature is reduced by 50 °C, achieving a 95.38% vanadium leaching rate in single-pass roasting. This technology not only improves vanadium yield at lower temperatures but also effectively prevents rotary kiln ring formation, enabling an efficient and clean extraction process.
Research on short-process vanadium extraction technology from stone coal based on phosphate-assisted leaching
ZHU Zhenzhou, WU Jinpeng, GAO Chenlong, WANG Wei, JIAO Shuqiang
2025, 46(3): 18-24. doi: 10.7513/j.issn.1004-7638.2025.03.004
Abstract(274) HTML (95) PDF(17)
Abstract:
Aiming at the mineral phase analysis and traditional treatment process of a stone-coal vanadium mine in Hubei, a short-flow vanadium extraction process with phosphate-assisted leaching was developed. The vanadium extraction process using sulfuric acid curing - phosphate-assisted leaching - solvent extraction - vanadium precipitation using ammonia water was carried out for vanadium extraction experiments. The effects of water leaching pH, phosphorus-iron molar ratio, leaching time and temperature on the leaching rate of vanadium and iron were investigated, respectively. The results showed that the cured sample was obtained by curing the raw material with particle size less than 0.074 mm at 200 ℃ and the dosage of 0.15 mL/g of concentrated sulfuric acid for 2 h. The cured sample could leach up to 93.44% of vanadium and 38.19% of iron under the experimental conditions of aqueous leaching pH 2.5, phosphorus-iron molar ratio of 1.5:1, leaching time of 1 h, and leaching temperature of 70 ℃. A powdered vanadium pentoxide product with purity greater than 99% was successfully prepared by using P204 extraction and sulfuric acid stripping for 2-stage extraction and stripping, combined with ammonia vanadium precipitation process. This process improves the leaching rate of vanadium and provides a new technical route for vanadium extraction from stone coal.
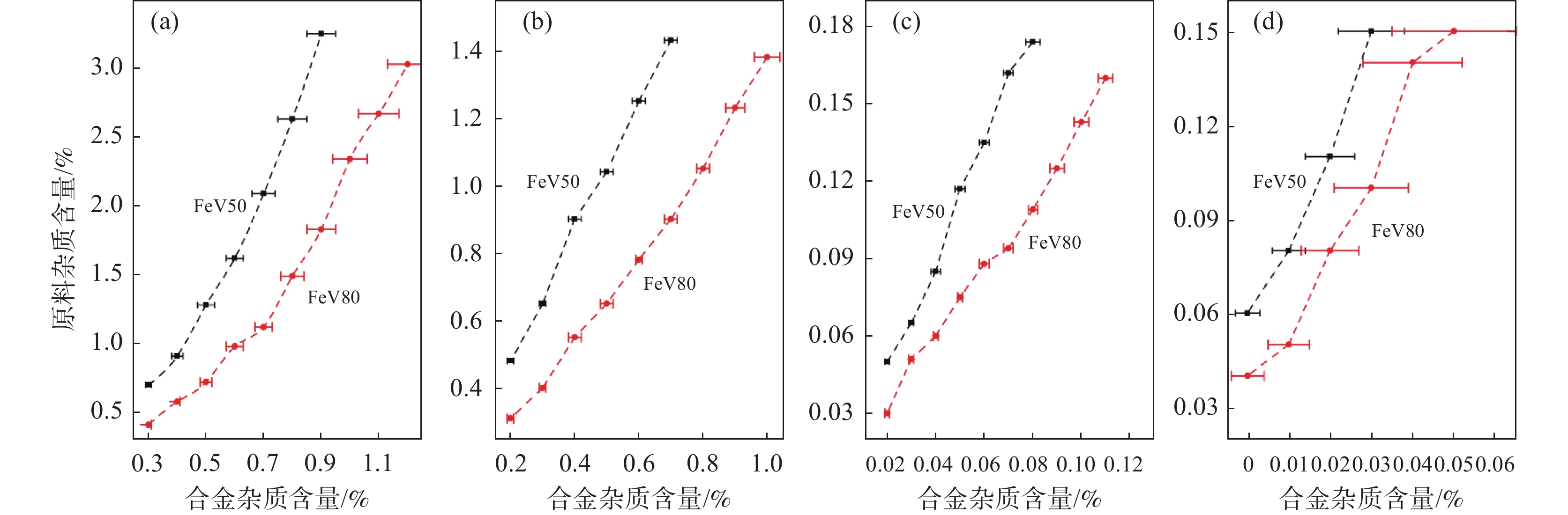
Impurities composition prediction and control of FeV50 alloy by aluminothermal reduction
YU Bin, YE Mingfeng, WANG Ning, HUANG Yun, GAO Leizhang, YIN Danfeng, CHEN Haijun
2025, 46(3): 25-31. doi: 10.7513/j.issn.1004-7638.2025.03.005
Abstract(217) HTML (117) PDF(24)
Abstract:
The thermodynamic behavior of typical impurity elements in the preparation process of FeV50 alloy by aluminum thermal reduction and their stable occurrence state in the alloy were analyzed, and the distribution law of impurity elements under specific slag characteristics conditions was investigated.The control standards for impurity elements were established. The results indicate that the migration and occurrence of typical impurity elements in aluminum thermal reduction system are related to the smelting stage and slag characteristics. During the aluminum thermal reduction process, weak reducing impurity elements such as Fe, Mn, Si, C, P, S, etc. have the thermodynamic feasibility to be reduced by metallic aluminum and entering the alloy phase. The reduced Fe, Mn, and Si exist in elemental form, while C, P, and S may react with the alloy matrix elements V and Fe to form VC, Fe3P, and FeS, respectively. After the aluminothermal reaction, non-metallic impurities in the alloy gradually diffuse into the slag, and their diffusion ability is mainly determined by the characteristics of the slag. Under specific slag composition conditions dominated by vanadium oxide reduction, the average distribution coefficients of Si, Mn, C, P and S in the alloy are 76.9%, 89.7%, 255.0%, 87.6% and 28.7%, and the corresponding upper limits of impurity control for unit raw materials that meet the FeV50-A standard requirements are 4.0%, 1.0%, 0.6%, 0.13%, and 0.12%, respectively.
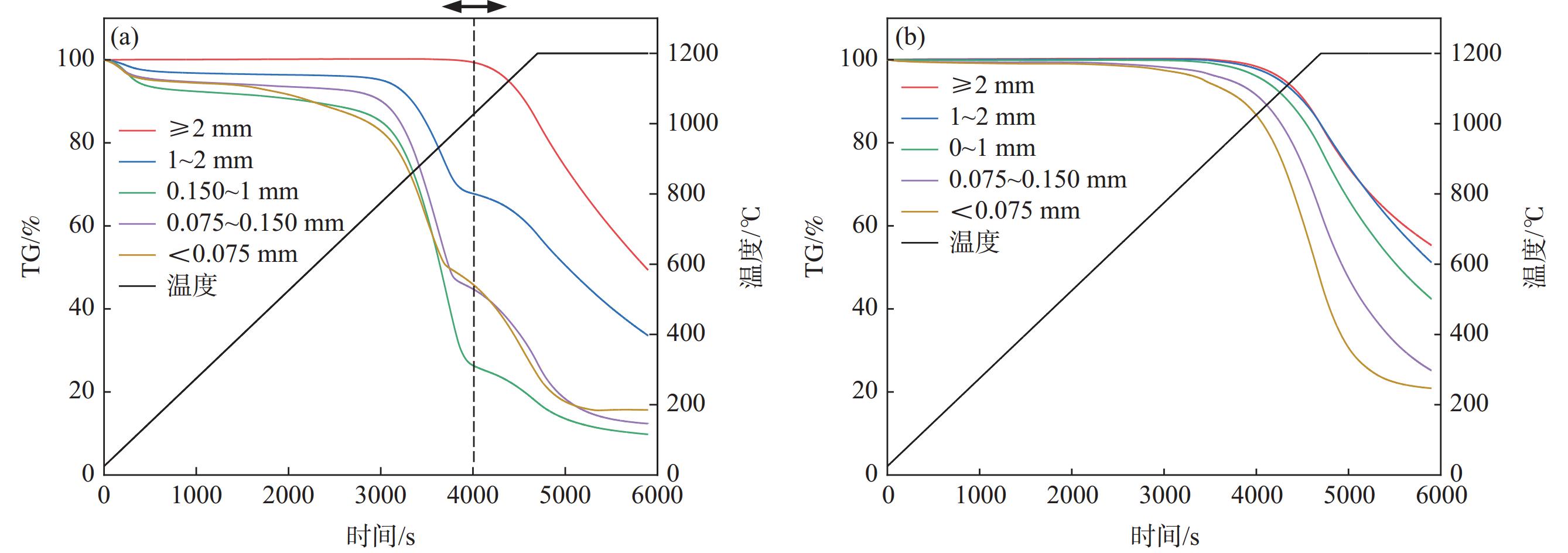
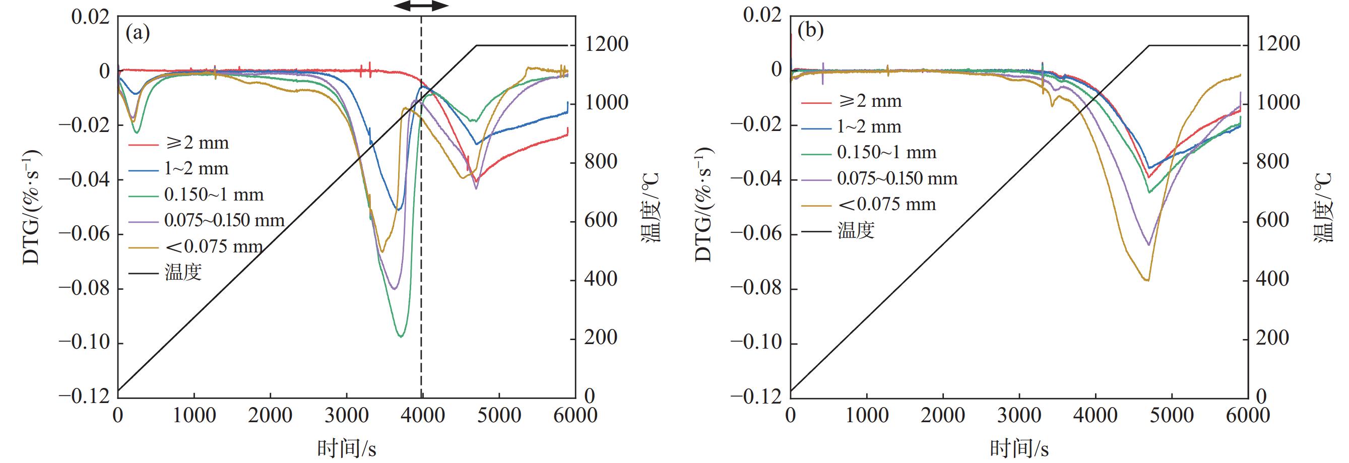
Comparison of the reducing activity of coke powder and semi-coke and its application in the carbonization process of Ti-bearing blast furnace slag
LU Ruifang, QIU Shuxing, ZHAO Qing’e, LÜ Xueming, HUANG Jiaxu, LIU Yadong
2025, 46(3): 32-40. doi: 10.7513/j.issn.1004-7638.2025.03.006
Abstract(238) HTML (130) PDF(13)
Abstract:
In the process of titanium extraction from Ti-bearing blast furnace slag by “high temperature carbonization and low temperature chlorination”, high temperature carbonization is very critical and important. The carbonaceous reducing agent used in the high temperature carbonization process directly affects the cost of the process and the carbonization rate of titanium dioxide in the blast furnace slag, so the selection of more high-quality and low-cost carbonaceous reducing agent is one of the important means to improve the quality and reduce the cost of high temperature carbonization process. In this study, semi-coke and coke powder with different particle size ranges were obtained by grinding and sieving as raw materials. By XRD, TGA, BET and other analytical methods, the difference of the reducing activity between semi-coke and coke powder was studied. The particle size of semi-coke corresponding to coke powder with the same reduction reaction activity was proposed, and the industrial application test was carried out. The results show that the graphitization degree of semi-coke is much lower than that of coke powder. In the range of conversion rate of 0.3~0.8, the average activation energy of semi-coke is lower than that of coke powder. When the particle size is more than 0.150 mm, the specific surface area of semi-coke is greater than that of coke powder, contributing to its higher reactivity than that of coke powder. Based on these, it is proposed that the particle size of semi-coke should be collaboratively controlled in the range of 1~2 mm and 0.150~1 mm. The industrial test results reveal that the power consumption per ton of slag and carbonization rate are the same as those of coke powder with particle size distribution currently used, when this above range-controlled semi-coke is applied to the high temperature carbonization process of Ti-bearing blast furnace slag.
Application of Vanadium and Titanium
Microstructure and properties of ultra-high strength diffusion-bonded joint between TC21 titanium alloy and G50 steel
LIU Jiao, CHENG Peixin, XI Jinhui
2025, 46(3): 41-44, 52. doi: 10.7513/j.issn.1004-7638.2025.03.007
Abstract(359) HTML (140) PDF(27)
Abstract:
An ultra-high strength joint between TC21 titanium alloy and G50 high-strength steel had been prepared by an improved diffusion bonding in this study. Under the constraints of a rigid mold, the diffusion bonding using the V and Cu as interlayers was carried out at 915 ℃ for 60 minutes with an axial load of 20 MPa. Unlike the traditional diffusion bonding processes where the joint was under unidirectional compressive stress, the bonded samples in this study were subjected to triaxial compressive stress state, which promoted more sufficient metal flow and elemental diffusion at the interfaces. This effectively eliminated interfacial defects such as voids and micro-pores. The tensile strength of the joint was as high as 752 MPa, which was so far the highest that have been reported in the literature for the joints between titanium and steel prepared by diffusion bonding. The interface analysis showed that there were no precipitates at the TC21/V and V/Cu interfaces, and Fe-rich precipitates were observed at the Cu/G50 interface. In the tensile test, the fracture occurred in the interface between Cu and G50, resulting from the Fe-rich precipitates.
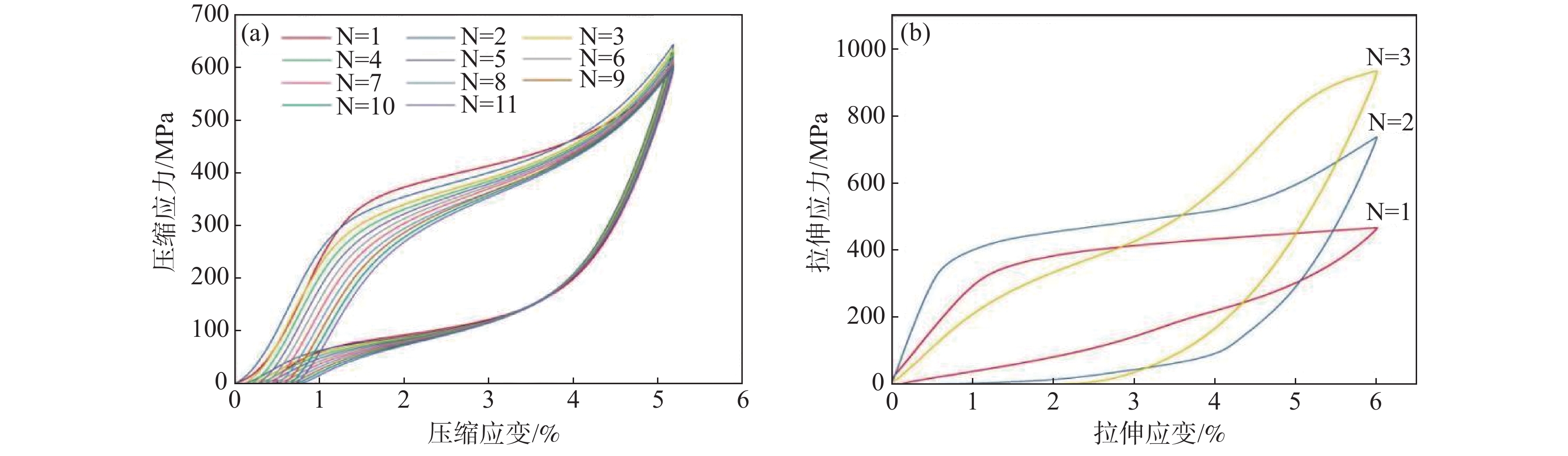
Influence of pre-strain and heat treatment on subsequent deformation behavior of Ti6321 titanium alloy
YIN Yanchao
2025, 46(3): 45-52. doi: 10.7513/j.issn.1004-7638.2025.03.008
Abstract(199) HTML (87) PDF(14)
Abstract:
Pre-tension and heat treatment were performed on the Ti6321 alloy, and their effects on subsequent deformation behavior were investigated and compared. The results show that the compressive yield strength of the specimen decreases after pre-tension, and the decrease amplitude increases first and then tends to be stable with the increase of pre-tensile plastic strain. The compressive yield strength of the pre-tensile specimen is restored to a certain extent after heat treatment and then reverse loading, and it is higher than that of the pre-tensile specimen without heat treatment. The recovery amplitude of the compressive yield strength increases with the increase of heat treatment temperature. The mechanism of Bauschinger effect in Ti6321 alloy is the result of the long-range effect of residual stress in the process of micro-zone heterogeneous plastic deformation and the short-range effect of resistance change in the process of dislocation movement, and the former is the main reason. The dislocation configuration of the pre-deformed specimen changes during the heat treatment process, and the formation of subgrains reduces the dislocation density and the degree of dislocation pile-up. On the other hand, the dislocation climbs at high temperature, which leads to stress relaxation, the additional stress between grains decreases, and the residual stress in the micro-area decreases. Under the combined action of the two, the reverse bearing capacity of the pre-deformed Ti6321 alloy is restored, and the Bauschinger effect is weakened.
Microstructure and mechanical properties of TA16 bar with different heat treatment temperatures
FAN Yuting, PENG Li, LI Jingmao, QIN Haixu
2025, 46(3): 53-59. doi: 10.7513/j.issn.1004-7638.2025.03.009
Abstract(281) HTML (141) PDF(15)
Abstract:
The effect of heat treatment temperature on the microstructure, texture, and mechanical properties of Ø230 mm TA16 bar was studied. The results show that the original microstructure of the forged bar is an elongated and deformed equiaxed structure in both horizontal and vertical directions. Twin crystals are distributed inside the large grains. The tensile strength and yield strength of the transverse sample are higher than those of the longitudinal sample. With the heat treatment temperature increases, the transverse and longitudinal microstructures gradually shift from elongated deformed grains to equiaxed grains.The original forged {10-12} has the highest content of tensile twins, and as the heat treatment temperature increases, the {10-12} tensile twins gradually decrease. When the heat treatment temperature rises to 800 ℃, the twins completely disappear, and the recrystallized grains gradually grow. The original forged texture is mainly concentrated in the {0001}//RD orientation, with a certain angle with ND. When the heat treatment temperature rises to 750 ℃, the texture strength decreases and the texture type changes, concentrated in {0001}//ND orientation, with a certain angle with RD. As the heat treatment temperature increases, the overall tensile strength, yield strength, and yield ratio of the transverse and longitudinal samples show a decreasing trend, while the elongation gradually increases.
Effect of recrystallization annealing on microstructures and properties of TA1 electron beam welded joint
DENG Jian, BAI Wei, LU Xin, LI Chao
2025, 46(3): 60-64. doi: 10.7513/j.issn.1004-7638.2025.03.010
Abstract(244) HTML (145) PDF(10)
Abstract:
Recrystallization annealing was performed on 30 mm thick TA1 plates with electron beam welding. Metallographic examination, tensile and impact tests were performed on the welded joint in order to study the effect of recrystallization annealing process on the microstructures and mechanical properties of the joints. The results show that the formation of high hardness serrated α phase and acicular α' phase increases the yield and tensile strength of the welded joint and the joint with 900 ℃ 2 h recrystallization annealing process, but the plasticity (i.e., elongation after fracture) and toughness (i.e., impact energy) of the joint decrease significantly. The equiaxed α phase of the base metal and the approximate equiaxed α phase obtained at 700 ℃ 2 h and 800 ℃ 2 h recrystallization annealing process are conducive to improving the ductility and toughness, thus the base metal and the joint under the corresponding process have higher ductility and toughness. The strength and toughness of the joint are best matched at the 800 ℃ 2 h annealing process.
Feasibility study of titanium-nickel based super elastic alloy as the sealing material for oil well tubing and casing
WANG Xinhu, WANG Peng
2025, 46(3): 65-69. doi: 10.7513/j.issn.1004-7638.2025.03.011
Abstract(215) HTML (104) PDF(10)
Abstract:
In response to the current problem that premium connections cannot effectively ensure the sealing of oil and gas well tubing string, the titanium nickel and titanium nickel vanadium shape memory alloys were selected. These alloys were subjected to forging and water quenching at different temperatures, followed by tensile loading-unloading tests and cyclic compressive loading-unloading tests. The results indicate that the elastic strain of the alloys under both tensile and compressive conditions can exceed 5%, demonstrating excellent superelasticity. It is proven that the titanium-nickel-based Ti-56Ni and Ti-55.5Ni-0.5V superelastic alloys can be used as sealing materials for mechanical equipment, providing a new direction for the development of sealing technology and the application of Ti-Ni based superelastic shape memory alloys.
Progress in molecular dynamics simulation of NiTi shape memory alloys
DENG Lingli, GAO Haigen, ZHAO Xiangyu
2025, 46(3): 70-80. doi: 10.7513/j.issn.1004-7638.2025.03.012
Abstract(236) HTML (112) PDF(14)
Abstract:
Molecular dynamics (MD) serves as an indispensable tool for investigating the microstructure and organization of atomic-scale materials, providing invaluable guidance for experimental research while concurrently mitigating research costs. This technique effectively compensates for the paucity of experimental data and the intricacies of theoretical interpretation encountered in the study of NiTi alloys, which are constrained by the limitations of analytical technologies. This paper commenced by summarizing the shape memory effect and superelastic properties of NiTi alloys. Subsequently, the fundamental principles of molecular dynamics and the prevalent potential functions utilized for simulating NiTi alloys were delineated. The emphasis was placed on the application of MD simulation in the examination of the mechanical behavior and phase transitions of NiTi alloys. The influence of grain size, porosity, amorphous phase, and nickel content on the properties of NiTi shape memory alloys was elucidated, highlighting the advantages of MD methods in this research domain. The utilization of MD technology to simulate the impact of various parameters on material properties can facilitate experimental research, enhance the material preparation process, and bolster the shape memory effect, super elasticity, and wear resistance of the material. Consequently, this research endeavor facilitates the advancement and utilization of novel, high-performance NiTi alloy materials.
Resources Environment and Energy Saving
Research status and prospects of reduction and upgrading technology of converter steel slag under the Dual-Carbon background
HU Yanzhuo, SHEN Zhenzhong, HAN Shaohui, LI Chenxiao, YAO Xin, WANG Shuhuan
2025, 46(3): 81-91. doi: 10.7513/j.issn.1004-7638.2025.03.013
Abstract(311) HTML (140) PDF(22)
Abstract:
As a high-energy consumption and high-carbon emission sector, the steel industry’s carbon reduction pathway plays a crucial role in achieving the“Dual-Carbon”goals. The converter steel slag is rich in valuable elements like Fe, P and V, and carries high-calorific waste heat, and its efficient ultilization is the key for reducing costs and increasing efficiency in steel industry. This paper systematically analyzes the production and discharge characteristics and multiphase composition of converter slag, comprehensively reviews iron extraction technologies including sorting methods, carbothermic reduction, and molten reduction, phosphorus recovery processes such as molten modification and wet acid leaching, as well as explores high-temperature reduction and hydrometallurgical extraction pathways of vanadium, manganese and other alloy elements. It also discusses technological advancements in high-grade slag waste heat recovery. Research shows that although the existing technologies have been industrialized, they still face problems such as high energy loss (merely 30% waste heat utilization rate), low elemental extraction efficiency, and secondary environmental pollution. The study proposes that in the future, the focus should be on the construction of composite reduction systems, the development of synergistic organic/inorganic acid leaching processes, and the coupling molten modification with waste heat recovery, which provides key technological support for energy conservation and emission reduction in the steel industry.
Simulation study on granulation characteristics of blast furnace slag water jet
WU Xinchen, LOU Guofeng, XIAO Yongli, FENG Pengbo
2025, 46(3): 92-99. doi: 10.7513/j.issn.1004-7638.2025.03.014
Abstract(236) HTML (155) PDF(9)
Abstract:
Given the potential problems of the conventional gas quenching granulation process, such as the high gas consumption, this study intends to carry out a numerical simulation study of the slag granulation process under the action of high-speed water jet, using water flow as the granulation medium. The VOF-to-DPM model was used to calculate the granulation process and slag size distribution of water jet slag, and to explore the effects of water flow velocity, slag velocity, viscosity and other granulation process conditions on the average particle size and other granulation results. The results show that with the increase of water velocity, the average particle size of the slag after granulation decreases, and when the water velocity reaches 30 m/s, there are basically no large particles above 4 mm under the parameters studied. When the slag velocity increases, and the water flow thickness is sufficient, it has little influence on the granulation effect and particle size distribution. When the water flow thickness is insufficient, there will be a phenomenon of unbroken slag falling directly. In order to ensure that the water flow is sufficient, the water slag ratio should reach 2.2:1; when the slag viscosity increases, the slag crushing effect is getting worse, and the particle size distribution and average particle size increase significantly.
Enrichment and recovery of zinc from a high zinc blast furnace ash by hydrocyclone method
YANG Zhen, WANG Xiaodong, REN Shilei, HUANGFU Lin, ZENG Guanwu, ZHANG Xiaolong, LIN Gang
2025, 46(3): 100-106. doi: 10.7513/j.issn.1004-7638.2025.03.015
Abstract(222) HTML (123) PDF(9)
Abstract:
In order to fully recover and utilize the valuable elements in the blast-furnace ash, the physical and chemical properties of the high-zinc blast-furnace ash produced by the ferro-smelting of vanadium titanium magnetite in a Sichuan iron and steel enterprise were analyzed. The hydrocyclone method was proposed to enrich/recover zinc in the blast-furnace ash. The influences of key parameters such as the feed mass concentration and the diameter of the settling nozzle on the zinc enrichment/recovery effect were investigated. And further, a 200 kg blast furnace ash scale expansion experiment was carried out to verify. The results show that the zinc recovery rate slightly increases with the increase of the feed mass concentration and significantly increases with the decreases of the diameter of the underflow nozzle. The enrichment multiple change trend of zinc grade is opposite to that of the zinc recovery rate. Under the conditions of feeding mass concentration of 15~20 %, diameter of settling nozzle of 14~18 mm and depth recovery of zinc grade 3, the total zinc recovery rate can reach about 97%, the enrichment ratio of zinc in the first stage can reach about 2.4 times, and the grade of zinc in the third stage zinc-poor blast ash can be reduced to about 0.8 %. The expanded test results indicate that the recovery rate of total zinc in blast-furnace ash is 96%, the grade of zinc in the first stage zinc-rich blast-furnace ash can reach 26 %, and the content of zinc in the third stage zinc-poor blast-furnace ash can be reduced to less than 1.0 %, which meets the demand for recycling as iron making raw material. The results of this study are expected to provide data support for the resource utilization of high zinc blast furnace ash.
Development of hot metal pre-dephosphorization agent based on the resource utilization of sludge in continuous casting swirl wells
YANG Guang, LI Haiqiang, JIA Jixiang, WANG Haiwei, GU Hongfei
2025, 46(3): 107-111. doi: 10.7513/j.issn.1004-7638.2025.03.016
Abstract(222) HTML (131) PDF(9)
Abstract:
In order to develop a P-removal agent for molten iron by using the sludge from the continuous casting swirl well to realize the resource utilization, the pre-dephosphorization agent with w(CaO): w(sludge) =0, 7%, 14%, 20%, 25% and 30% was prepared, and the melting performance measurement and P removal evaluation experiment were carried out based on the composition analysis and thermodynamic calculation. The results show that the sludge contains high quantity of (Fe2O3+FeO) and has an alkalinity of 0.86, and it is thermodynamically feasible as the base material for the preparation of pre-dephosphorization agent. With the increase of CaO from 0 to 30%, the melting point of the P-removal agent decreases first and then increases, and the melting rate rises first and then declines. When w(CaO): w(sludge) = 20%, the melting point of the P-removal agent is the lowest and the melting rate is the fastest. With the increase of CaO from 14% to 25%, the P removal rate first increases and then decreases, and the recovery rate of Fe gradually rises. Overall, when w(CaO): w(sludge)=20%, the removal rate of P and recovery rate of Fe are 73.6% and 86.76%, respectively, both deep removal of P and efficient ferrite recovery can be achieved at the same time.
Ferrous Metallurgy and Materials
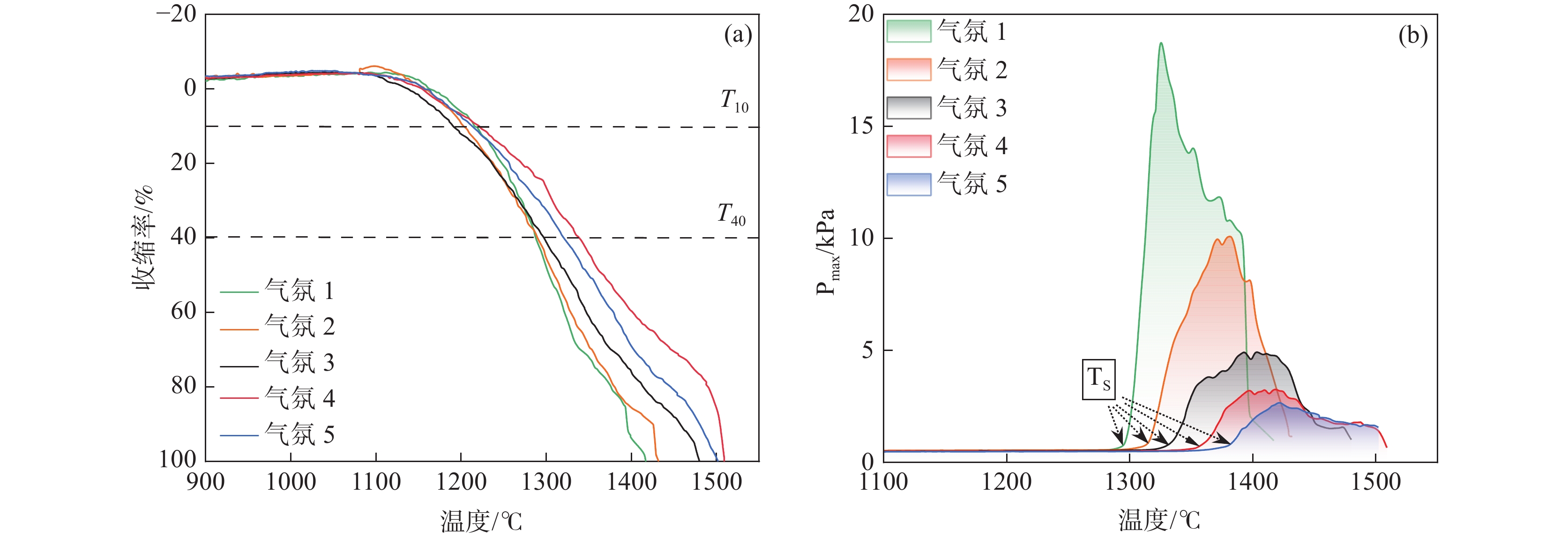
Study on the influence of highly oxygen enrichment and H2-rich oxygen blast furnace atmospheres on softening-melting behaviors of vanadium titanomagnetite mixed burden
CHEN Mao, CHEN Buxin, MA Kaihui, TANG Wenbo, LIU Lingling, HU Meilong
2025, 46(3): 112-121. doi: 10.7513/j.issn.1004-7638.2025.03.017
Abstract(376) HTML (150) PDF(34)
Abstract:
This study investigates the effects of oxygen-enriched, oxygen blast furnace, and H2-rich oxygen blast furnace atmospheres on the softening-melting behaviors, permeabilities, and gas utilization efficiency of vanadium titanomagnetite mixed burden. The results indicate that under oxygen-rich blast furnace atmosphere, the softening start temperature of furnace burden decreases, while the softening end temperature, melting start temperature, and dripping temperature increase. Consequently, both the softening and melting intervals become widened. However, the permeabilities and total reduction gas utilization efficiency decline. Under the H2-rich oxygen blast furnace atmosphere, the introduction of H2 leads to an increase in the softening start temperature, softening end temperature, and melting start temperature. Additionally, the softening interval expands, while the melting interval narrows, resulting in the improved gas permeability and enhanced H2 utilization efficiency. Further investigation reveals that variations in the reducing gas compositions significantly influence the chemical compositions of both slags and hot metals. Under the oxygen-enriched atmosphere, the Ti(C,N) content in slag decreases markedly, whereas under fully oxygen-enriched, H2-rich conditions, the TiC content in the slag, as well as [Si], [V] and [Ti] concentrations in hot metal, increase substantially. This study provides a theoretical basis for green low-carbon technologies in vanadium titanomagnetite smelting, and offers important experimental support for improving smelting efficiency and reducing carbon emissions.
Research on the evolution of inclusions in 20CrMnTi gear steel and the improvement of steel liquid cleanliness
LI Haitao, GAO Fang, LI Haozhe, LI Likai, ZHANG Xiaohua, GU Chao, BAO Yanping
2025, 46(3): 122-131. doi: 10.7513/j.issn.1004-7638.2025.03.018
Abstract(187) HTML (100) PDF(11)
Abstract:
In this work, taking a domestic factory’s 20CrMnTi gear steel as the research object, the limiting factors for improving the cleanliness of the steel liquid were analyzed through systematic sampling, and two optimization measures were proposed. Firstly, based on FactSage7.2, the effects of refining slag basicity and calcium aluminum ratio on CaO and Al2O3 activity were calculated. Taking into account the low-temperature liquid phase region of the slag system, the target refining slag system range was determined as follows: R=4-6, w (SiO2)=9%-13.5%, w (Al2O3)=22.5%-31.5%, and w (Fe2O3+MnO)<1%. Then, based on the current situation of excessive Ca-treatment, a thermodynamic database had been utilized to construct an accurate calculation model for Ca-treatment. Finally, the results of industrial experiments showed that with the optimization of the refining slag and the reduction of Ca-treatment, the number of inclusions in the smelting process significantly reduced, and the number of inclusions in the casting billet decreased by 56.3% compared to the original process.
Influence of flow control devices on the flow field of a double-strand slab tundish based on numerical simulation and water modeling
YANG Zeyu, YANG Jian, ZHAO Yuhang, LI Yuntong
2025, 46(3): 132-139, 148. doi: 10.7513/j.issn.1004-7638.2025.03.019
Abstract(204) HTML (120) PDF(6)
Abstract:
In order to study the influence of flow control devices on the molten steel flow field in a 78 ton large double strand symmetrical tundish in a certain steel plant, a combined method of numerical simulation and water modeling was adopted to investigate the effects of changes in different flow control devices. The 1:1 modeling of the prototype tundish under the Euler-Euler framework was established to study the influence of the presence or absence of dam holes, the distance between dam and ladle shroud, the distance between weir and ladle shroud, the height of turbulence inhibitor, the distance between weir and bottom of tundish and the height of dam on the molten steel flow field in the double strand tundish. The results show that with increasing the height of turbulence inhibitor, and decreasing the distance between weir and the bottom of tundish, the average residence times of molten steel in tundish increase obviously, and the volume fractions of dead zone decrease significantly. In addition, the dam without holes can effectively inhibit the development of short-circuit flow, extend the flow distance of the molten steel and increase the average residence time. When the distance between the dam and the ladle shroud is increased, the average residence time first increases and then decreases. With increasing the distance between weir and ladle shroud, the short-circuit flow to steel outlet through dam holes is developed, and the average residence time decreases.
The effect of mixed rare earth additions on inclusions in 18 MnCr petroleum casing steel
MENG Yuxiang, TIAN Jiazhi, ZHANG Yuling, DENG Xuyan, GAO Hui, TIAN Qingchao
2025, 46(3): 140-148. doi: 10.7513/j.issn.1004-7638.2025.03.020
Abstract(196) HTML (173) PDF(9)
Abstract:
In order to study the changes of RE content during the process of steelmaking and continuous casting and the RE distribution in inclusions, 18MnCrRE steel was prepared by electric arc furnace melting. After ladle furnace refining and vacuum degassing (VD), mixed rare earth RE was added to the steel liquid followed by continuous casting of billets and hot rolling of pipes. The mass fraction and distribution of rare earth in the steel specimen during the experimental process were determined and analyzed by spectrograph, metallographic microscope and scanning electron microscope. Based on the research, it has found out that after adding rare earths, the attenuation characteristics of rare earth mass fraction in tundish is similar to that in VD furnace. The effect of rare earth on the inclusion nature and morphology is reflected by the enrichment of rare earth inclusions around the original inclusions that act as anchor point. During continuous casting, the rare earth inclusions in the steel are easy to be assembled and connected together. After hot rolling, rare earth inclusions exist in form of spherical particles, and rare earth oxide sulfides with good deformation performance achieve the encapsulation and modification of hard inclusions such as Al2O3.
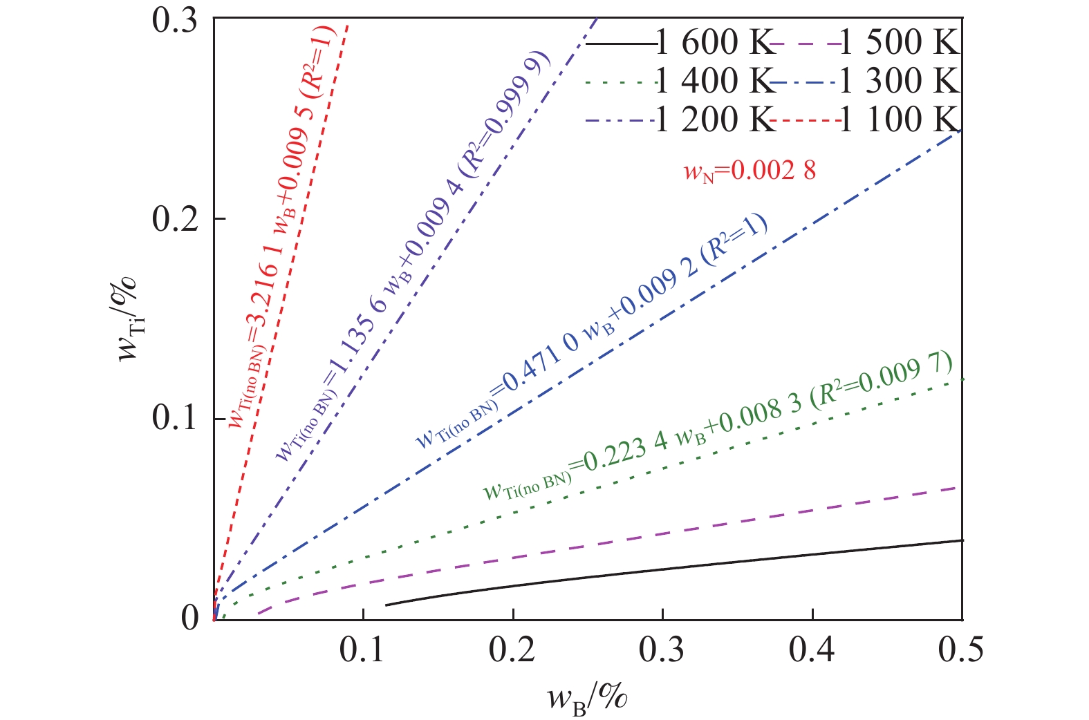
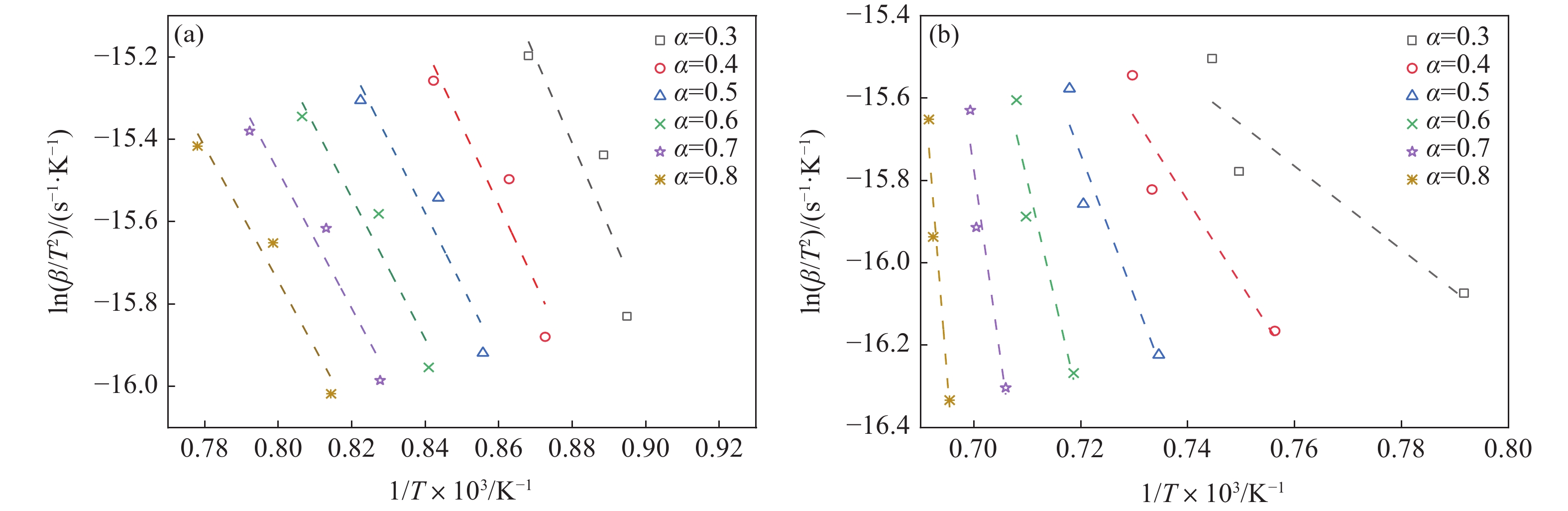
Competitive precipitation law of nitrides during continuous casting cooling process of boron-containing steel
ZHANG Haohao, HE Chun, GAO Qi, WU Jiao, LONG Yanli, ZHANG Yanming, LONG Mujun, CHEN Dengfu
2025, 46(3): 149-156. doi: 10.7513/j.issn.1004-7638.2025.03.021
Abstract(202) HTML (151) PDF(9)
Abstract:
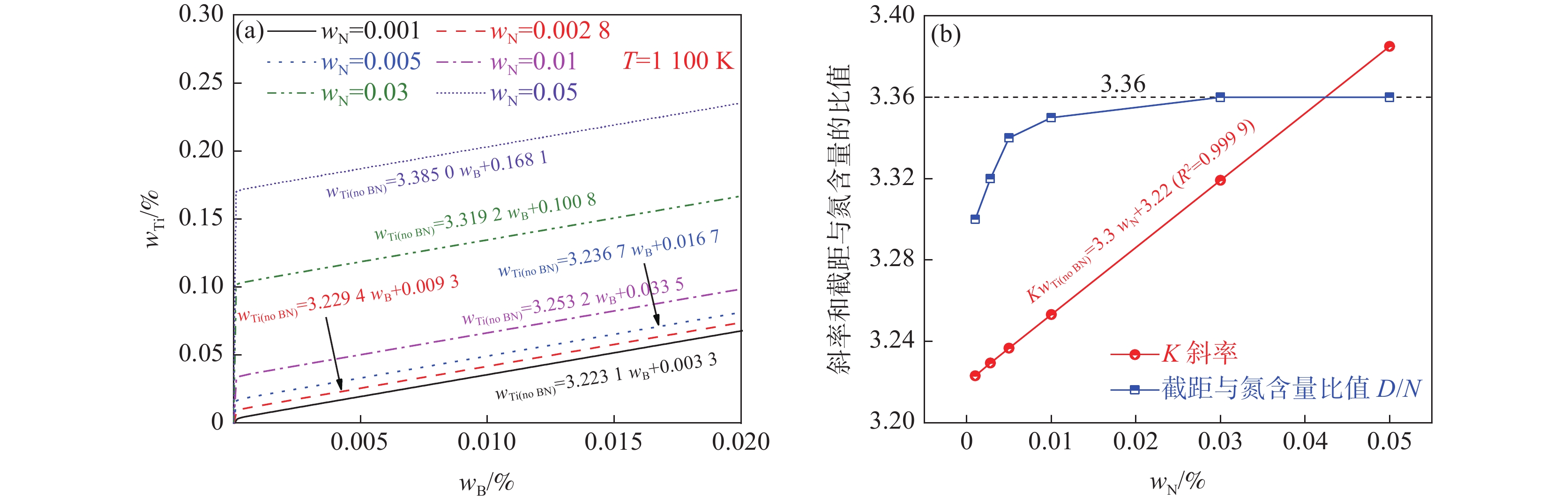
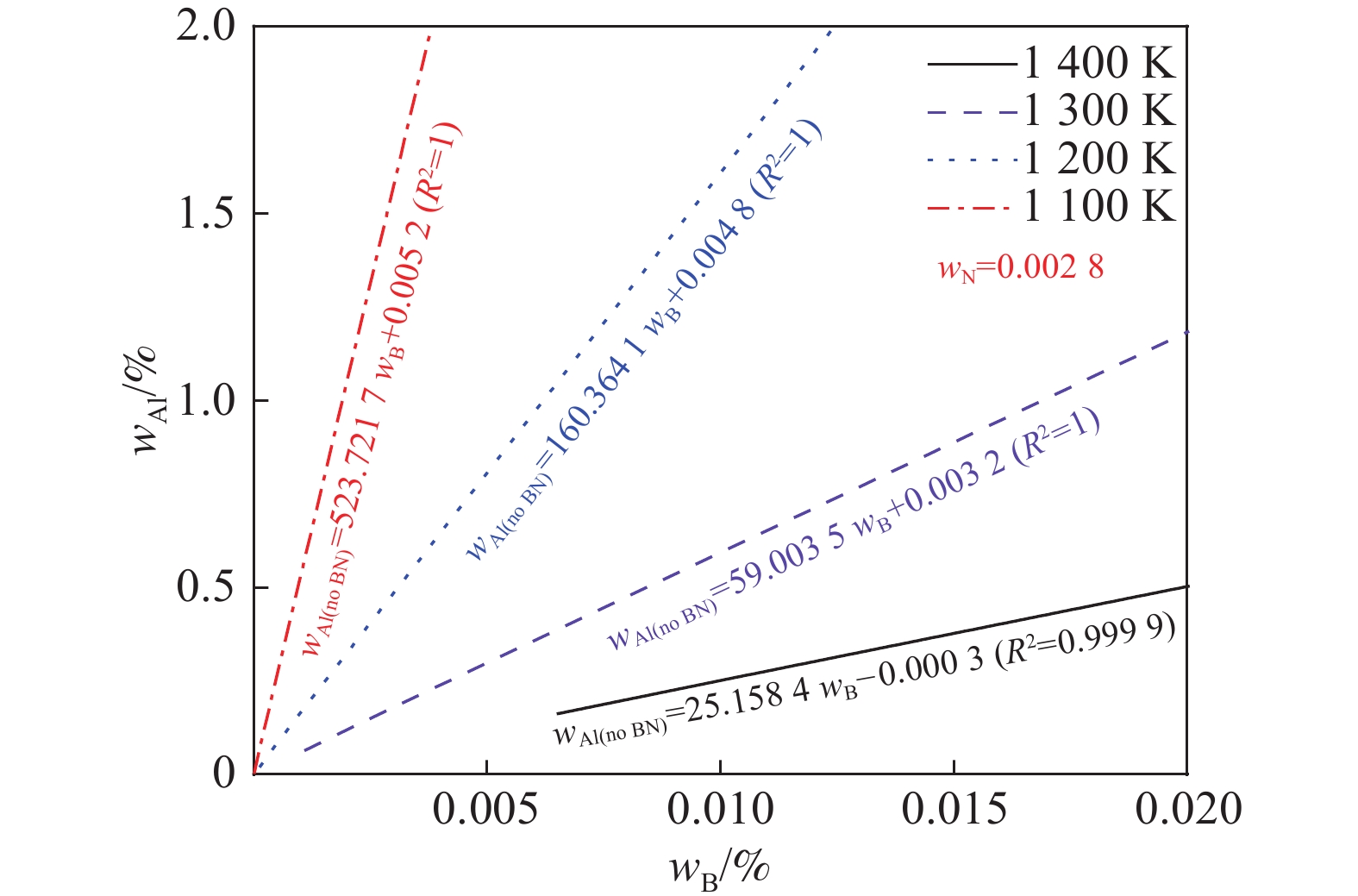
During continuous casting cooling process of boron-containing steel, the precipitation of BN not only reduces the effective boron content, weakening the beneficial effects of boron alloying, but also increases the crack sensitivity of the as-cast billet. Clarifying the competitive precipitation law of nitrides is crucial for precise control of BN precipitation during the continuous casting cooling process of boron containing steel. This study focuses on the continuous casting cooling process of boron containing steel, and investigates the competitive precipitation behavior among BN, TiN, and AlN through thermodynamic calculations. The influence of Ti, Al, and N content in steel on the suppression effect of BN precipitation is also explored. The results indicate that as the content of Ti and Al in steel increases, the timing of TiN and AlN precipitation advances. When the content reaches a certain level, TiN and AlN precipitate before BN, thereby inhibiting BN precipitation. Further increasing Ti and Al content in the steel ultimately prevents the precipitation of BN completely. Compared to Al element, regulating the precipitation behavior of BN by adjusting Ti content in steel is more economical and reliable. The critical Ti addition that completely suppress BN precipitation follows the relationship :${w_{{\text{Ti(no BN)}}}} = \left( {3.3{w_{\text{N}}} + 3.22} \right) $$ {w_{\text{B}}} + 3.36{w_{\text{N}}}$, where the critical Ti addition $ {w_{{\text{Ti(no BN)}}}} $increases with higher nitrogen and boron content in the steel. The results provide an important theoretical basis for the compositional design of boron-containing steel and quality control of continuous casting billets.
Construction of constitutive model for GH4169 alloy under high temperature and high strain rate
ZHANG Jilin, TANG Linhu, MA Furong, LI Zhonglin, HA Jinfu
2025, 46(3): 157-166. doi: 10.7513/j.issn.1004-7638.2025.03.022
Abstract(306) HTML (165) PDF(8)
Abstract:
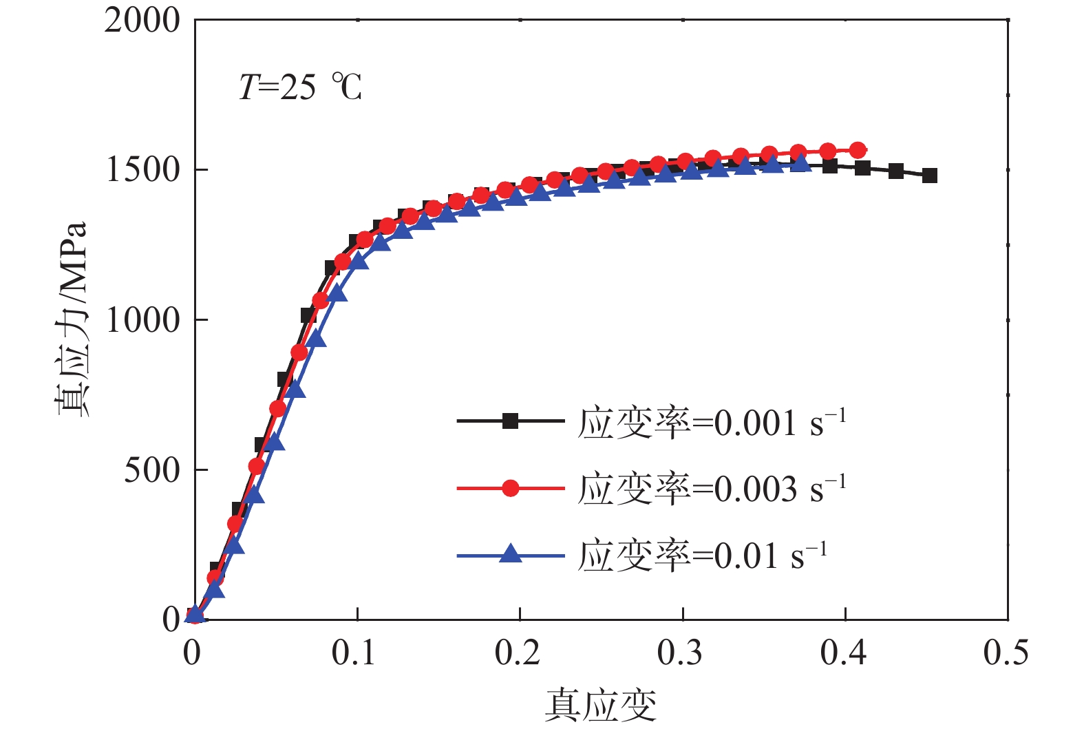
The quasi-static compression test and dynamic impact test of GH4169 alloy were carried out by universal testing machine (UTM5305) and Hopkinson dynamic testing device (ALT 1000), respectively. The quasi-static test data of strain rates of 0.001, 0.003 and 0.1 s–1 at room temperature were obtained. The Johnson-Cook (JC) constitutive model and its modified model were constructed from the dynamic test data at temperatures of 25, 600, 750, 900 ℃ and strain rates of 1500, 2500, 3500, 4500 s–1. The result shows that the plastic hardening, thermal softening and rate sensitivity of the material happen, especially when the temperature rises to 900 degrees Celsius, the softening effect is particularly prominent. The correlation coefficient (r) of the original JC constitutive equation is 0.9147, the coefficient of determination (R2) is 0.7422, and the average relative error (AARE) is 14.53%. The revised JC constitutive equation correlation coefficient (r) is increased to 0.9444, and the coefficient of determination (R2) is increased to 0.8867. The average relative error (AARE) is reduced to 10.77%, which significantly improves the prediction accuracy and reliability compared with the original JC constitutive model, and can be used to predicate the stress-strain behavior of materials.
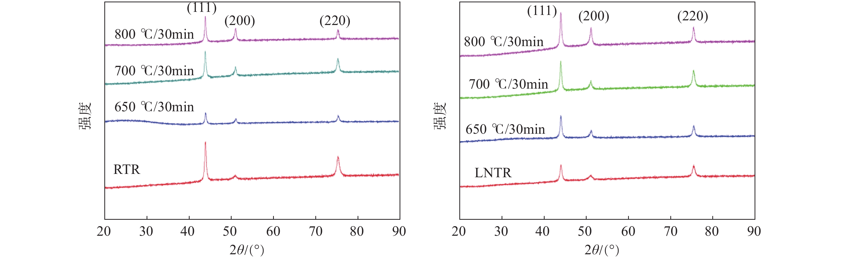
Effect of annealing on microstructure and mechanical properties of CrCoNi medium entropy alloy rolled at room temperature and liquid nitrogen temperature
CHEN Jinliang, JIN Xueyuan, YI Jianhong
2025, 46(3): 167-173, 204. doi: 10.7513/j.issn.1004-7638.2025.03.023
Abstract(246) HTML (141) PDF(7)
Abstract:
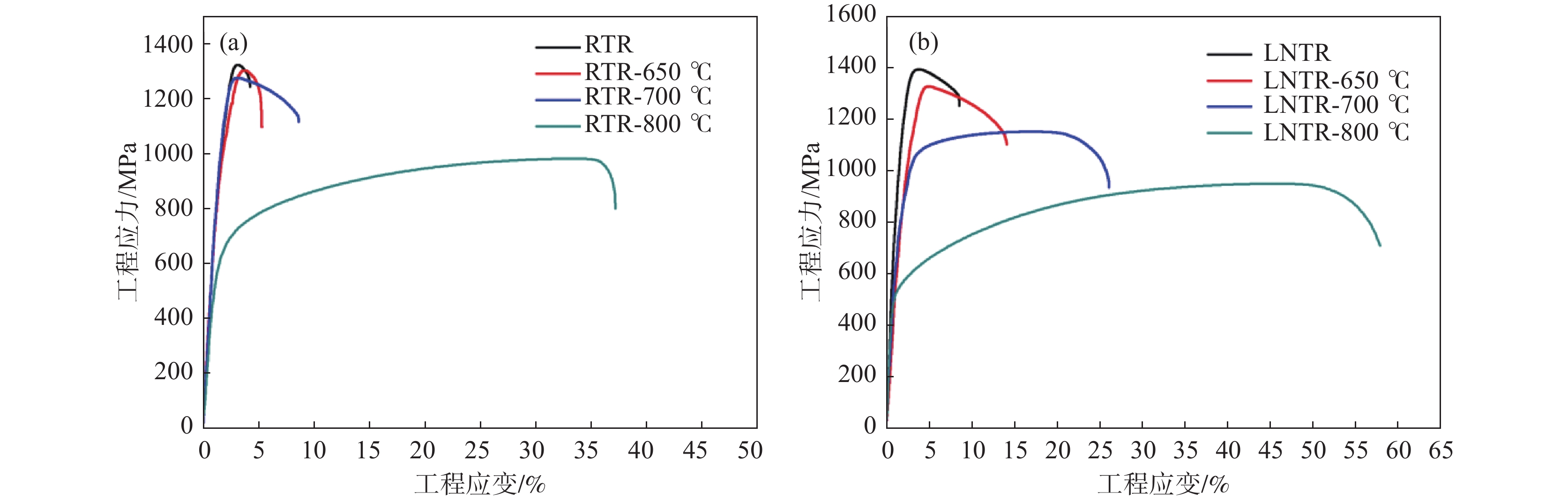
The as-casted CrCoNi medium entropy alloy was rolled at room temperature and liquid nitrogen temperature, respectively, and then annealed at medium and low temperatures in short period respectively. The difference of strength and improvement of the alloy under room temperature rolling + annealing and liquid nitrogen temperature rolling + annealing conditions was studied. The experimental results show that when the annealing parameter is 700 ℃/30 min, the yield strengths of studied alloy under both two rolling conditions are much higher than 1000 MPa, and the fracture elongation of LNTR-700℃ sample is 26.2%, which is much higher than the reported values of strength and elongation for same alloy under same annealing conditions. When the annealing parameter is 800 ℃/30 min, the yield strength of RTR-800℃ alloy is 987 MPa and the fracture elongation is 37.2%, while the yield strength of LNTR-800℃ sample is 947 MPa and the fracture elongation is 58%. In other words, compared with room temperature rolling + annealing, liquid nitrogen temperature rolling + annealing process can significantly improve the strength and ductility of CrCoNi medium entropy, which is attributed to the finer grains, higher recrystallization degree and lower dislocation density benefited from liquid nitrogen temperature rolling + annealing process.
Effect of yttrium doping on microstructure and mechanical properties of CoCrFeNi high entropy alloy prepared by molten salt electrolysis
HU Mengjun, YANG Hao, LUO Xiangyu, WEN Liangying, HU Meilong
2025, 46(3): 174-179. doi: 10.7513/j.issn.1004-7638.2025.03.024
Abstract(246) HTML (128) PDF(10)
Abstract:
High-entropy alloys of CoCrFeNi had been prepared by electrolysis process using the mixed oxides as the raw materials, and the effects of rare earth element of Yttrium doping on the phase, microstructure and mechanical properties of CoCrFeNi high-entropy alloys were also studied. The results show that CoCrFeNi high-entropy alloy can be directly prepared by electrolysis from the mixed oxides of CoO, Cr2O3, NiO, Fe2O3, and Y doping can be directly mixed with the main oxide in the form of Y2O3 and deoxidized to achieve Y doping. The second phase of Cr7C3 appears in CoCrFeNi high-entropy alloy when using electrolysis process. The appropriate amount of Y can effectively improve the mechanical properties of CoCrFeNi high-entropy alloy. When the addition amount of Y reaches 5%, the hardness of the high-entropy alloy is 399 HV, which is 58.3% higher than that of the CoCrFeNi high-entropy alloy without Y addition. When the addition of Y is 1%, the tensile strength of CoCrFeNi high-entropy alloy increases by 10.7 % and the elongation increases by 5 times.
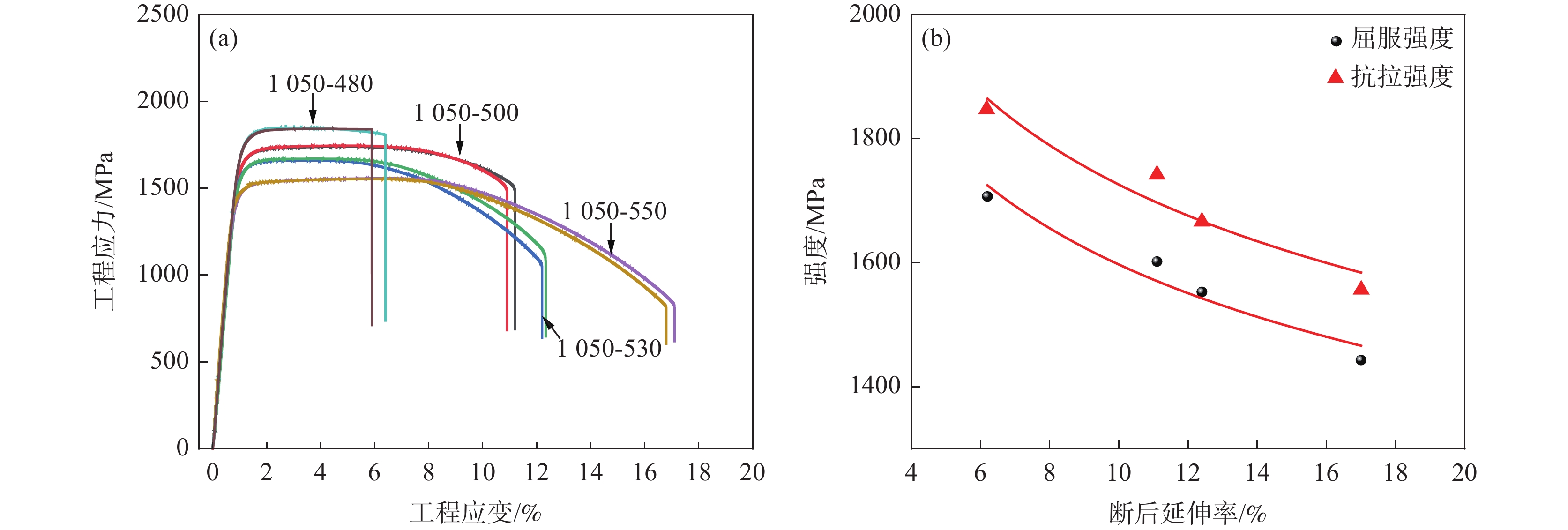
Effects of ageing treatment on the microstructures and tensile properties of maraging stainless steel
SUN Yue, ZHENG Huaibei, SHENG Zhendong, WANG Yinghu, LIU Dexue, WANG Bin, ZHANG Peng
2025, 46(3): 180-186. doi: 10.7513/j.issn.1004-7638.2025.03.025
Abstract(244) HTML (148) PDF(9)
Abstract:
The microstructures and tensile behaviors of high-titanium maraging stainless steel under different ageing treatments were studied by means of metallurgical microscope, scanning electron microscope, transmission electron microscope and tensile testing machine. Microstructures observations shows high-titanium maraging stainless steel with different ageing treatments consist of martensite and a small amount of austenite, and there are a large number of nano-scaled Ni3Ti precipitates in the martensite matrix. The lengths of Ni3Ti precipitates in 1050-480, 1050-500, 1050-530 and 1050-550 samples are 11.5, 7.9, 15.9 and 33.1 nm, respectively, and their corresponding widths are 2.8, 2.8, 4.3 and 7.8 nm, respectively. As Ni3Ti precipitates size increases, their distribution gradually becomes sparse, consequently the tensile strength of high-titanium maraging stainless steel decreases and the plasticity improves, and the resulting tensile fracture characteristics change from brittle cleavage fracture to ductile dimple fracture.
2300 MPa grade vanadium-containing low alloyed steel: ultrafine microstructure preparation and performance
LONG Wei, KUANG Zhenyue, LI Guoyang, WU Guilin, CHEN Wenxiong, JIANG Qi
2025, 46(3): 187-194. doi: 10.7513/j.issn.1004-7638.2025.03.026
Abstract(254) HTML (124) PDF(16)
Abstract:
For a conventional low alloyed steel, two different initial microstructures were achieved by conventional hot rolling and high-temperature annealing followed by cold rolling. The effects of the initial microstructures on the microstructure and mechanical properties after austenitization and quenching were investigated. The results indicate that the quenched microstructure of the conventional hot-rolled sample is relatively coarse, while the high-temperature annealing followed by cold rolling, which introduces more grain boundaries, a higher density of cementite, VC, and dislocation defects before quenching, can significantly refine the quenched microstructure. Both hot-rolled and cold-rolled samples achieve a high strength-ductility balance, but the cold-rolled sample, with its more refined microstructure, exhibits superior strength and ductility. The cold-rolled sample achieves ultra-high tensile strength of 2384 MPa and extraordinary total elongation of 14.0%, with product of strength and elongation reaching 33.4 GPa·%.
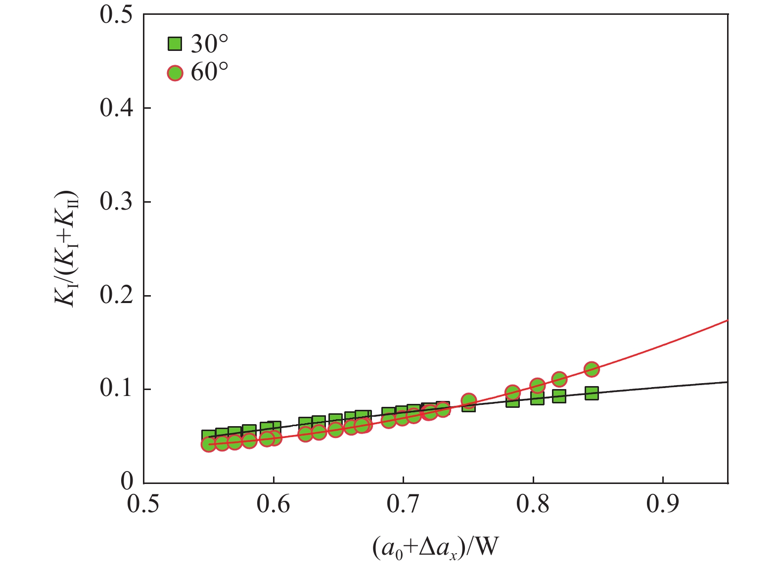
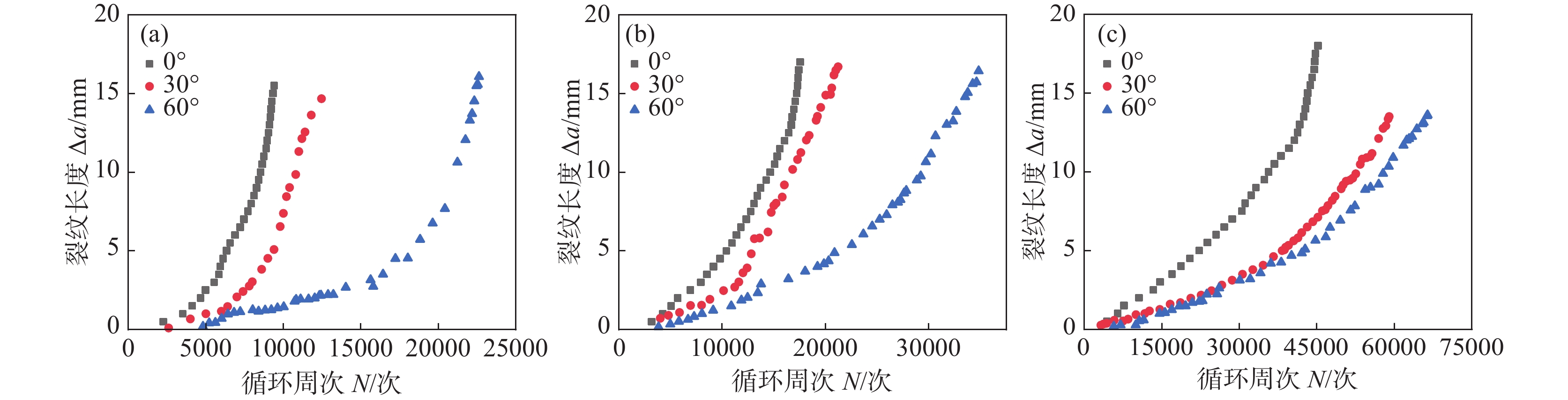
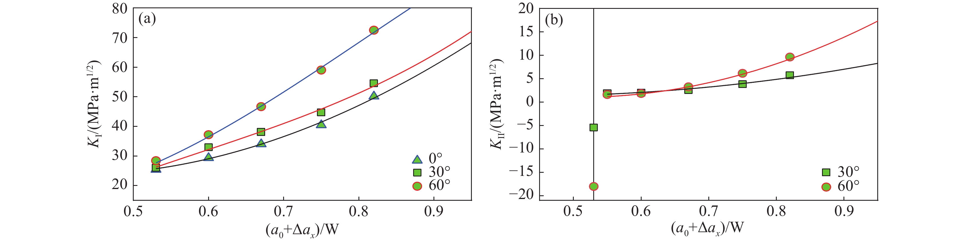
Investigation on fatigue crack growth behavior of mixed mode Ⅰ-Ⅱ crack in 4130X steel
CHAO Long, QIN Chen, CHEN Fan, CAO Wenhong, HUANG Guoming, XIA Ming, ZHOU Changyu, HE Xiaohua
2025, 46(3): 195-204. doi: 10.7513/j.issn.1004-7638.2025.03.027
Abstract(253) HTML (136) PDF(8)
Abstract:
To investigate the behavior of mixed mode I-II fatigue crack growth in 4130X steel, Compact Tension Shear (CTS) specimens were used to conduct experimental methods and Finite Element Method (FEM) at diverse load ratios and loading angles. The results indicate that the fatigue crack growth path is not influenced by the load ratio (R), but a significant deflection angle occurs with an increase in the loading angle (β). The crack growth angles are consistent with the Maximum Tangential Stress (MTS) criterion. The fatigue crack growth rate (FCGR) shows an increasing trend as load ratio (R) increases, but decreases with an increase of the loading angle (β). With the increment of the loading angle, the morphology of the monotonic plastic zone at the crack tip varies, and the plastic strain energy is accumulated gradually. Fracture morphology analysis reveals that the load ratio (R) and loading angle (β) have a significant impact on the fatigue striations and secondary cracks at the fracture surface.