中文核心期刊

SCOPUS 数据库收录期刊

中国科技核心期刊

美国《化学文摘》来源期刊

中国优秀冶金期刊

美国EBSCO数据库收录期刊

RCCSE中国核心学术期刊

美国《剑桥科学文摘》来源期刊

中国应用核心期刊(CACJ)

美国《乌利希期刊指南》收录期刊

中国学术期刊综合评价统计源刊

俄罗斯《文摘杂志》来源期刊

优秀中文科技期刊(西牛计划)

日本《科学技术文献数据库》(JST)收录刊

留言板

尊敬的读者、作者、审稿人, 关于本刊的投稿、审稿、编辑和出版的任何问题, 您可以本页添加留言。我们将尽快给您答复。谢谢您的支持!

姓名
邮箱
手机号码
标题
留言内容
验证码

2021年  第42卷  第1期

钒钛分离与提取
钒铬渣浸出液原位制备VS4试验研究
温婧, 夏甫哈提·艾日肯江 , 姜涛
2021, 42(1): 1-7. doi: 10.7513/j.issn.1004-7638.2021.01.001
摘要(771) HTML (186) PDF(62)
摘要:
目前传统的提钒工艺仍以制备钢铁和化工行业的钒产品为主,为进一步促进钒产品深加工,提出含钒浸出液原位制备高附加值含钒材料VS4的新技术,该产品可用于储能和催化等领域。以钒铬渣为原料,分别以不同焙烧、浸出工艺所得含钒浸出液为钒源,硫代乙酰胺为硫源制备了VS4产品,并对其物相和微观形貌进行表征。结果表明,钒铬渣钠化焙烧水浸工艺和钙化焙烧碳酸钠浸出工艺所得含钒浸出液均可作为含钒母液原位转化VS4,但钠化焙烧水浸工艺由于焙烧过程中生成硅酸钠、铬酸钠等产物导致浸出液中含大量钠、硅、铬等杂质离子,所得VS4产品纯度较低。而钙化焙烧碳酸钠浸出工艺中由于钙盐对钒的选择性钙化效应,浸出过程钒铬分离效率很高,所得VS4产品纯度较高,且与分析纯偏钒酸钠为钒源制备的VS4具有相似的形貌。该工艺不仅实现了钒铬渣的增值利用,更显著缩短了含钒材料VS4的制备流程。
氯化法制备高纯五氧化二钒技术研究进展
李卓臣, 杜光超, 范川林, 朱庆山
2021, 42(1): 8-15, 92. doi: 10.7513/j.issn.1004-7638.2021.01.002
摘要(2026) HTML (687) PDF(293)
摘要:
随着全钒液流电池等产业的快速发展,作为关键原料的高纯五氧化二钒,其需求日益增加。在高纯五氧化二钒的众多制备工艺中,氯化法因具有高效清洁、选择性高、产品纯度高等显著优势受到越来越多的关注。针对氯化法制备高纯五氧化二钒的三个关键技术环节:钒原料氯化过程的热力学、动力学和氯化工艺、粗三氯氧钒精制以及三氯氧钒转化制备五氧化二钒的研究进展结合相关文献进行系统评述,其中二次钒资源的高效利用,粗三氯氧钒选择性水解四氯化钛以及三氯氧钒催化氧化制备高纯五氧化二钒是各环节未来的发展方向,此外,开展氯化法制备高纯五氧化二钒的中间试验及关键装备技术的开发是未来实现产业化生产的重点及难点。
超细VO2粉体的超声喷雾热解装置优化及试验研究
辛亚男, 彭穗, 刘波
2021, 42(1): 16-23. doi: 10.7513/j.issn.1004-7638.2021.01.003
摘要(911) HTML (289) PDF(75)
摘要:
针对喷雾热解过程,采用计算流体力学(CFD)方法对其装置进行了设计优化,通过对比分析,对管式炉的进出口段进行保温优化来改善管内温度和速度场分布不均的问题;设计搭建了超声喷雾热解装置,并通过试验考察了不同的前驱体溶液、前驱体浓度、热解温度对于产物粒径和形貌的影响。结果表明:草酸氧钒溶液超声热解后的产物主要为V2O3,而硫酸氧钒及二氯氧钒热解后的产物为蓝黑色VO2颗粒;随着硫酸氧钒前驱体浓度的增加,大颗粒粉体明显增多,颗粒粒径大于100 nm;二氯氧钒热解后的VO2颗粒以二次粒子和一次粒子的形式存在,随着热解温度和前驱体浓度的提高,颗粒分散性明显提高,小粒径颗粒增加,粒径基本在100 nm左右。
废SCR脱硝催化剂钒、钛、钨选择性分离研究
张振全, 赵备备, 李兰杰, 董自慧, 白瑞国, 王海旭
2021, 42(1): 24-31. doi: 10.7513/j.issn.1004-7638.2021.01.004
摘要(1118) HTML (495) PDF(75)
摘要:
分别采用NaOH、HCl浸出废SCR催化剂,碳酸钠焙烧-水浸废SCR催化剂选择性分离钛。试验表明:碳酸钠焙烧-水浸废催化剂可实现钛与钒、钨高效分离。较优工艺条件:焙烧温度850 ℃,焙烧时间3 h,碳酸钠与废催化剂质量比为1.3,浸出温度95 ℃,浸出时间1 h,搅拌速度500 r/min。V、As、W的浸出率分别为52.26%,98.24%和99.9%。采用硫酸浸出废SCR催化剂钠化焙烧渣实现高效提取钛。工艺条件:上述较优条件焙烧渣,40%硫酸,液固比4∶1,浸出温度90 ℃,浸出时间3 h,搅拌速度500 r/min。钛的浸出率为93.4%。采用自生晶种水解法制备偏钛酸,钛水解率为94.05%,偏钛酸纯度为94.07%。
攀西钛矿球团焦炉煤气还原研究
叶恩东, 刘娟, 胡元金
2021, 42(1): 32-37. doi: 10.7513/j.issn.1004-7638.2021.01.005
摘要(721) HTML (255) PDF(31)
摘要:
针对攀西钛精矿粒度细、直接入炉冶炼钛渣难的问题,提出细粒级钛矿制备钛矿球团,钛矿球团焦炉煤气还原,并与细粒级钛精矿开展对比试验研究。结果表明:钛矿球团通过预焙烧后出现微裂纹和孔洞,有利于气相还原反应的进行,当还原温度在950 ℃时,钛矿球团焦炉煤气还原4 h后,金属化率可达85%以上,还原过程中钛矿球团物相结构发生较大变化,其主要物相由铁板钛矿相变成金属铁相、金红石相和少量钛铁矿相;随着反应进行钛矿球团中金属Fe逐渐显现、呈星点状分布、随之长大,最后连接成片。为攀西细粒级钛精矿冶炼钛渣提供了一定理论支撑。
航空材料用高纯五氧化二钒工艺技术研究
刘超, 李海军, 朱建岩, 胡志伟
2021, 42(1): 38-42. doi: 10.7513/j.issn.1004-7638.2021.01.006
摘要(1014) HTML (307) PDF(54)
摘要:
针对低品位钒渣生产高纯五氧化二钒工艺的生产流程,从提高钒回收率、降低生产资源及能源消耗、提高多钒酸铵品位、提高五氧化二钒品位、降低产品杂质等多方面进行了系统性研究,使钒渣转换率达到86%以上,多钒酸铵品位达到89.5%以上,五氧化二钒品位达到99%以上,各项杂质含量和高密度金属夹杂物控制等达到高端客户美国大型跨国集团肯纳、雷丁钛合金企业的要求。
钒钛材料与应用
金红石纳米二氧化钛在涂料中的应用
吴健春
2021, 42(1): 43-49. doi: 10.7513/j.issn.1004-7638.2021.01.007
摘要(949) HTML (725) PDF(128)
摘要:
利用透射电镜(TEM)对纳米二氧化钛的形貌和粒度进行分析后,将纳米二氧化钛制成乳胶漆、汽车漆、家具漆和防腐漆,对其进行耐候性、随角异色等性能分析。结果表明,金红石纳米二氧化钛可大幅度提高乳胶漆的耐候性、耐水性、耐碱性和耐洗刷性能,可提高家具漆和防腐漆的耐候性;纳米二氧化钛和铝粉配合制成的汽车漆具有随角异色效果,二氧化钛的粒度对其随角异色性能有很大影响,平均粒径为280 nm的普通颜料钛白改性铝粉漆无随角异色效果,平均粒径为35 nm的纳米二氧化钛改性铝粉漆有显著的随角异色效果,并且随纳米二氧化钛加量的增加,其不同角度的颜色差异增大。
热处理工艺对钛合金油管组织与性能的影响
李周波, 赵勇, 高盟召, 黄晓江, 苑清英
2021, 42(1): 50-54. doi: 10.7513/j.issn.1004-7638.2021.01.008
摘要(541) HTML (200) PDF(21)
摘要:
通过光学显微镜、扫描电镜、拉伸试验机、冲击试验机等手段研究了不同热处理工艺对钛合金油管组织和性能的影响。结果表明:固溶温度对钛合金油管的晶粒形态和各相占比产生较大的影响。在α+β两相区固溶处理,随着固溶温度的升高,α相的占比下降;在850 ℃固溶1 h水冷+550 ℃时效2 h空冷热处理工艺下获得了双态组织,可实现钛合金油管的高强韧性匹配,综合性能优异,满足SY/T 6896.3标准对110ksi钢级钛合金油管的要求。
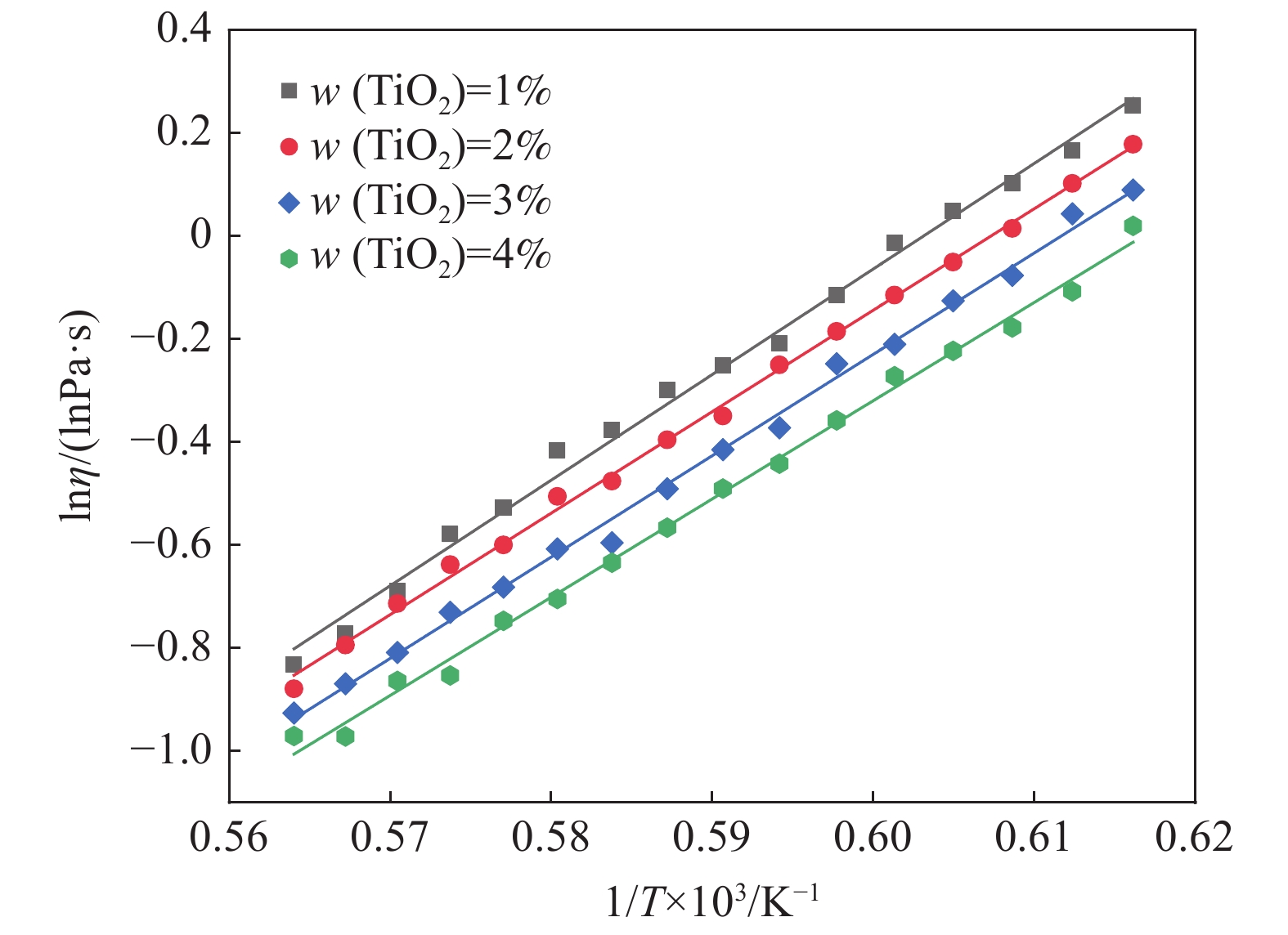
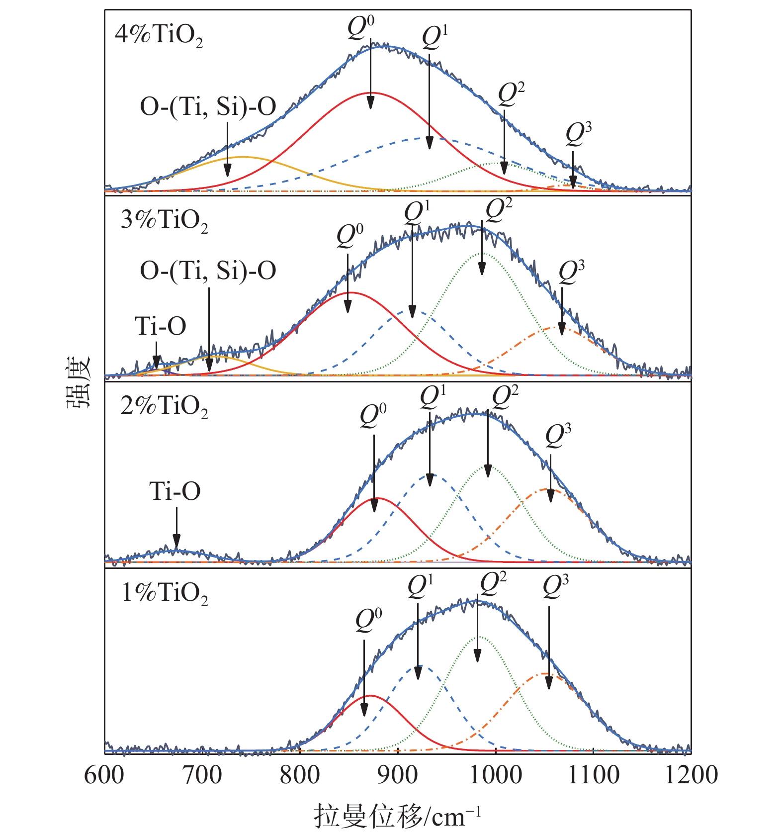
TiO2对矿渣棉高温熔体黏度和结构的影响
卢曦, 庞焯刚, 张连增, 邢相栋, 高铭, 宁顺利
2021, 42(1): 55-59. doi: 10.7513/j.issn.1004-7638.2021.01.009
摘要(525) HTML (243) PDF(40)
摘要:
为了研究TiO2含量的变化对矿渣棉高温熔体黏度的影响,以CaO–MgO–Al2O3–SiO2–TiO2五元渣系为研究对象,采用内柱体旋转法,系统研究了酸度系数为1.4时矿渣棉高温熔体的黏度变化规律,并结合拉曼光谱分析,探索了熔渣结构的变化特性。结果表明:当TiO2含量从1%增加至4%时,熔体黏度逐渐降低,黏流活化能由170.45 kJ/mol降至158.62 kJ/mol。当温度高于1 350 ℃时,样品黏度均低于1.5 Pa·s,流动性良好。同时,熔体内硅氧四面体结构中的Q0和Q1不断增加,而Q2和Q3逐渐降低,平均桥氧数由1.69降至0.95,熔体结构聚合度减小。Ti–O键不断增多,降低了熔体结构的稳定性。
HCl和H2SO4对金红石二氧化钛包硅效果的影响研究
刘婵, 路瑞芳, 杨芳, 程晓哲
2021, 42(1): 60-64. doi: 10.7513/j.issn.1004-7638.2021.01.010
摘要(470) HTML (188) PDF(21)
摘要:
选择硅酸钠作为氯化法金红石钛白的包硅原料,首先研究了包膜过程中调节pH的盐酸加量与包膜后钛白粉颜料性能的关系,结果表明随着盐酸加量的增加钛白粉亮度、白度L值和蓝光白度等颜料性能指标降低,但Scx和b值等蓝相指标则逐渐改善。其次对比分析了包硅过程中硫酸和盐酸两种不同酸体系中钛白粉二氧化硅膜层均匀致密性、颜料性能和应用性能的差距,明确了硫酸体系的二氧化硅膜层均匀致密性更好、光泽度更高,而盐酸体系的蓝相更优。
钴掺杂高钛型高炉渣光催化材料制备及性能优化
霍红英, 邹敏
2021, 42(1): 65-69. doi: 10.7513/j.issn.1004-7638.2021.01.011
摘要(686) HTML (250) PDF(33)
摘要:
为了实现以非提钛方法对高钛型高炉渣的综合利用,利用其含TiO2可制备光催化剂的特点,以攀钢高钛型高炉渣掺杂硝酸钴为原料,采用液相法掺杂并烧结制备掺杂Co的光催化剂,在紫外光下,考察了煅烧温度、掺杂量及煅烧时间对模拟污染物亚甲基蓝溶液降解率的影响。结果表明:在煅烧温度600 ℃、Co-Ti质量掺杂比(w(Co): w(Ti))0.03、煅烧时间2 h时,制备的掺杂Co光催化剂降解率达到89.0%,比未掺杂之前提高了32.4%。
Ta元素对TA23合金显微组织及腐蚀性能的影响
桑彪, 韩汶武, 李乐, 王启
2021, 42(1): 70-74. doi: 10.7513/j.issn.1004-7638.2021.01.012
摘要(607) HTML (229) PDF(37)
摘要:
利用金相显微镜、X射线衍射仪、显微硬度仪和电化学工作站研究了微量Ta元素对TA23合金显微组织、物相、维氏硬度及腐蚀性能的影响。结果表明,加入Ta元素之后,初生α相比例有不同程度的增大,且次生α相比例明显减少;对含Ta双态组织TA23合金进行X射线衍射谱分析发现没有出现新的衍射峰,即合金中无新相生成。当合金中Ta含量为0.5%时,(10-11)α的峰强度明显增高,织构更明显;通过显微硬度测试发现双态组织TA23合金的硬度出现下降,这主要是Ta元素加入后,合金中塑性较好的初生α相比例增大导致。对双态组织TA23合金进行动电位极化曲线测试,发现加入微量Ta元素之后合金的自腐蚀电位增高,自腐蚀电流密度下降,耐腐蚀性能提高,Ta元素的加入降低了钛合金的阳极活性。当Ta含量为0.5%时,初生α晶粒尺寸增大,减少了腐蚀原电池的形成,提高了钛合金在海水中的耐腐蚀性能。
资源环境与节能
改性活性炭吸附烧结烟气中氮氧化物的研究
蔡建宇, 彭兆丰, 宋丽云, 侯环宇, 李坚
2021, 42(1): 75-82. doi: 10.7513/j.issn.1004-7638.2021.01.013
摘要(1458) HTML (398) PDF(56)
摘要:
以煤质活性炭为原料,制备了碳酸钾(K2CO3)改性活性炭,模拟烧结烟气条件,考察了其在有SO2、CO2和O2条件下的NOx吸附效果。试验表明:0.65 mol/L K2CO3改性活性炭的NOx吸附量最高,120 ℃时NOx吸附量可达15.17 mg/g,较原样提高了20倍以上;随着吸附温度的升高,NOx饱和吸附量有所下降,稳定在13.70~13.97 mg/g;由于SO2吸附后生成稳定硫酸盐难以脱除,影响了活性炭的加热再生效果。该吸附剂适用于移动床吸附处理烧结烟气。
烧结烟气脱硫石膏CO/H2还原脱硫试验研究
左大文, 巩磊, 韦杰, 邓波, 邵兴, 杨世山
2021, 42(1): 83-92. doi: 10.7513/j.issn.1004-7638.2021.01.014
摘要(527) HTML (227) PDF(34)
摘要:
通过热力学软件Factsage7.3对CO/H2还原CaSO4进行热力学平衡计算。计算得到CO/H2还原CaSO4生成CaO和SO2的最佳理论条件为:反应温度1100 ℃以上、摩尔比n(CO)∶n(CaSO4)=n(H2)∶n(CaSO4)=1,过高或过低的还原剂摩尔比均不利于CaSO4的还原脱硫,同时温度越高越有利于CaSO4的CO / H2还原脱硫。根据Factsage7.3计算结果,以N2作为混合气体,在高温炉中进行了15 g烧结烟气脱硫石膏的CO/H2还原脱硫试验,考察CO/H2浓度、反应温度、反应时间、还原气体流量对脱硫石膏CO/H2还原脱硫的影响。结果表明:有利于脱硫石膏CO还原脱硫的最佳条件为CO浓度5%、反应温度1050 ℃、反应时间30 min、气体流量5 L/min;有利于脱硫石膏H2还原脱硫的最佳条件为H2浓度8%、反应温度1050 ℃、反应时间30 min、气体流量为5 L/min,且CO分解还原脱硫效果较H2还原脱硫的效果要好。试验发现在900 ℃以上时脱硫石膏有烧结现象发生,且随温度升高烧结程度更重,影响了CO/H2的还原脱硫效率。
基于提钒尾渣的高温显热蓄热材料导热性能研究及模拟
朴荣勋, 李轩, 季颖
2021, 42(1): 93-99. doi: 10.7513/j.issn.1004-7638.2021.01.015
摘要(554) HTML (187) PDF(23)
摘要:
利用提钒尾渣为主要原料,高硅粘土为辅料,石墨材料为改性剂,通过碳热还原-粉末冶金方法进行了高温显热蓄热材料的制备研究,分析石墨含量对显热蓄热材料的物相演变、比热容变化及导热变化规律。XRD物相分析表明,材料的主要物相包括石英、含高硅组分的钠长石、钛铁矿以及碳酸盐等物相,随着石墨含量的增加,石英相比率随之减少。比热容测试结果表明,比热容随石墨含量的增加先增大后减小,当石墨含量为3%时,比热容最高,在 500~700 ℃下的比热容值为820~3 180 J/(kg·K)。导热系数测试结果表明,当石墨含量小于5%时,蓄热材料导热系数变化不大,基本保持在0.75 W/(m·K)左右;当石墨含量大于5%时,导热系数呈现明显的上升趋势。为了进一步探索石墨对蓄热材料导热性能的影响,进行了模拟计算,利用非线性修正项代替分散体体积分数项,修正后的Maxwell模型可很好地预测试验结果。
利用钒钛高炉矿渣制备海绵城市用透水砖的研究
刘海军
2021, 42(1): 100-105, 183. doi: 10.7513/j.issn.1004-7638.2021.01.016
摘要(592) HTML (193) PDF(36)
摘要:
以钒钛高炉矿渣和铅渣为主要原料,以锯末为造孔剂,采用压制成型—无压烧结法制备了高抗折强度与高孔隙率的透水砖,研究了配方组成、锯末添加量与烧成温度对样品物理性能的影响,分析了样品的结构、渗透性与环境安全性。结果表明:适当降低钒钛高炉矿渣与烧成温度及提高锯末的添加量可提高样品的气孔率。当钒钛高炉矿渣、铅渣与锯末的添加量(外加)分别为50%、50%与20%时,生坯经1 100 ℃烧成后,透水砖的气孔率、抗折强度与透水系数分别为45.27%、32.94 MPa与1.58~2.02 cm/s。XRD与SEM分析表明,赤铁矿、鳞石英、钙长石与玻璃相相互交织,三维连通的气孔均匀分布,因此透水砖具有较高的强度与优良的透水性能。玻璃相束缚了重金属离子的浸出活性,赋予样品良好的环境安全性。本研究为利用钒钛高炉矿渣与铅渣制备透水砖提供了理论依据。
钢铁冶金与材料
宽厚板连铸坯鼓肚变形数值计算研究
马晓涛, 吴晨辉, 谢鑫, 吴国荣, 张敏, 曾建华, 祭程
2021, 42(1): 106-112. doi: 10.7513/j.issn.1004-7638.2021.01.017
摘要(572) HTML (308) PDF(55)
摘要:
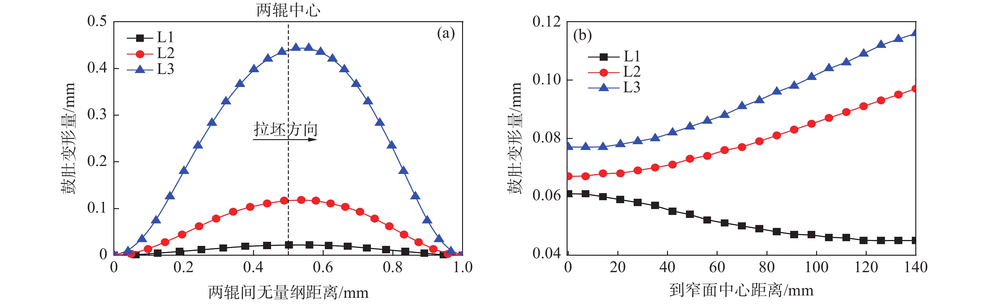
连铸过程中铸坯已凝固,坯壳在钢水静压力作用下发生鼓肚变形,影响浇铸过程顺行与铸坯质量。以宽厚板连铸坯为对象,采用数值计算方法定量研究了其在连铸过程三个典型铸流位置L1 (弯曲位置)、L2 (弧形段中间位置)、L3 (矫直位置)的鼓肚变形规律。由L1至L3,坯壳鼓肚变形及其导致的凝固前沿拉伸应变均不断增加。凝固前沿厚度方向拉伸应变εxx、拉坯方向拉伸应变εyy与宽度方向拉伸应变εzz呈集中分布趋势,三者分别加剧三角区裂纹、中间裂纹及角部裂纹风险。随着拉速由0.7 m/min增大至0.9 m/min,宽面坯壳鼓肚变形与εxxεzz先增加后减小,而窄面坯壳鼓肚变形与εyy持续增大。
外添TiO2粒子对中低碳钢组织及夹杂物的影响
吴晓燕, 李秋平, 莫文玲, 张庆军, 朱立光
2021, 42(1): 113-118. doi: 10.7513/j.issn.1004-7638.2021.01.018
摘要(600) HTML (180) PDF(15)
摘要:
使用HLLG1217型高温电阻炉对中低碳钢重熔后添加TiO2粒子,利用金相显微镜、场发射扫描电镜等设备对得到的试样进行组织、夹杂物形貌和成分分析。结果表明:添加TiO2粒子后组织由块状铁素体和珠光体转变为针状铁素体、少量块状铁素体和珠光体;球形夹杂物增多,长条形和不规则的夹杂物减少;夹杂物平均尺寸由0.29 μm变为3.06 μm,1 μm尺寸所占比例增多达到28.69%;添加前后复合夹杂物主要成分均为O-Al-Si-Ti-Mn,Ti元素含量由3.36%增多到6.53%,表明TiO2粒子加入后与原夹杂物重新聚合,形成复合夹杂物,并诱发晶内铁素体形核析出。
钙镁复合变质剂对冷轧高强钢组织遗传性及塑性影响
李媛媛, 甄维静, 李永亮, 闫志杰
2021, 42(1): 119-125. doi: 10.7513/j.issn.1004-7638.2021.01.019
摘要(552) HTML (195) PDF(14)
摘要:
利用光学显微镜(OM)、透射电镜(TEM)和电子背散射衍射(EBSD)等设备研究了Ca-Mg复合变质剂对冷轧超高强钢铸坯中TiN粒子析出的影响机制,并对显微组织在各工序的遗传性及塑性改善进行了系统对比。结果发现:添加变质剂以后,铸坯中TiN第二相粒子尺寸明显变小,数量增多,分布更弥散;添加改质剂后钢坯、热轧钢板中沿晶界铁素体减少,冷轧退火后显微组织变细;与未添加变质剂试验钢比,屈服强度和屈强比提高,材料折弯、扩孔率得到改善。变质剂的添加改变了钢液中TiN形核机制。弥散的TiN可以细化铸态组织,并通过遗传效应对热轧、冷轧连退组织产生影响,改善力学性能和成型性能。
电磁搅拌对重轨钢凝固组织及均质性的影响
李红光, 陈天明, 陈亮, 黎建全, 钟华
2021, 42(1): 126-130. doi: 10.7513/j.issn.1004-7638.2021.01.020
摘要(930) HTML (396) PDF(47)
摘要:
为提升重轨钢均质性和致密性,通过试验对比分析连铸电磁搅拌对大方坯重轨钢凝固组织及均质性的影响。结果表明:无电磁搅拌工艺条件下,铸坯凝固组织无明显分区,枝晶组织致密且铸坯窄面至距离窄面80 mm区域的均质性较好,但铸坯中心偏析严重;通过取消结晶器电磁搅拌(M-EMS)并采用凝固末端电磁搅拌(F-EMS)有利于重轨钢均质性和致密性协同提升,试验铸坯中心偏析可以得到补充控制,铸坯轧制钢轨的中心偏析控制良好,轨头Mn元素偏析度极差达到0.098,致密度达到0.9764。
X80M直缝埋弧焊管用热轧钢板开发
翟冬雨, 杜海军, 吴俊平, 姜金星, 刘帅
2021, 42(1): 131-138. doi: 10.7513/j.issn.1004-7638.2021.01.021
摘要(465) HTML (349) PDF(25)
摘要:
为了满足中俄东线450×108 m3/a超大输量及−40 ℃极寒地区服役的国家重大管道工程建设用钢要求,结合南钢自身设备特点,试验开发了具有高强韧性的Φ1422 mm×32.1 mm直缝埋弧焊管用热轧钢板。通过冶金热力学温度控制及保护浇铸手段,得到了成分波动范围窄、低倍组织评级C0.5级的高洁净度铸坯,试验确定了TMCP轧制工艺,钢板力学性能检测富裕量充裕,少量先共析铁素体+针状铁素体+贝氏体+马奥岛的软/硬相复合组织,满足了X80M钢板高强韧性要求,强韧性指标符合管道技术规范要求,实现了中俄东线低温超大输量管道用钢的批量工业生产。
钒含量对钻头用W6Mo5Cr4Vx高速钢组织与性能的影响
王振光
2021, 42(1): 139-143. doi: 10.7513/j.issn.1004-7638.2021.01.022
摘要(515) HTML (287) PDF(30)
摘要:
在钻头用W6Mo5Cr4Vx高速钢中添加了不同含量的合金元素钒,并进行了显微组织、耐磨损和耐腐蚀性能的测试与分析。结果表明:添加钒有助于提高高速钢的耐磨损和耐腐蚀性能,随钒含量从0增至5%,钢的耐磨损和耐腐蚀性能均先提高后下降。钢中钒含量优选为3%。与不添加钒相比,W6Mo5Cr4Vxx=3)高速钢的磨损体积减小5.2×10−3 mm3、腐蚀电位正移57 mV。
55SiCrA弹簧钢线材夹杂物与组织研究
王宁, 彭红兵, 唐尧, 颉震, 陈铠
2021, 42(1): 144-149. doi: 10.7513/j.issn.1004-7638.2021.01.023
摘要(627) HTML (280) PDF(31)
摘要:
利用光学显微镜(OM)、扫描电镜(SEM-EDS)以及Factsage热力学软件对国内外弹簧用线材夹杂物与组织进行了研究。结果表明:国内外3家钢厂弹簧钢线材在显微组织、中心偏析、脱碳层厚度、晶粒度等方面相差不大;国内Y厂弹簧钢线材中发现有1级D类夹杂物以及1.5级Ds类夹杂,而国外H厂和国内B厂相对较好,均未出现Ds类夹杂物。国外H厂弹簧钢夹杂物数量最少,尺寸最小,最大尺寸仅3.4 μm且可变形比例近100%;然而国内弹簧钢线材夹杂物数量多、尺寸大且不可变形。国内Y厂线材夹杂物平均Al2O3、MgO含量较高,国内B厂发现有纯Al2O3夹杂物。此外,国内钢厂需进一步合理控制钢水、精炼渣成分以及提高耐材质量并合理选用耐火材料,来强化夹杂物的改性和脱除。
铌对低温取向硅钢热轧组织与织构的影响
郝百川, 冯运莉
2021, 42(1): 150-154. doi: 10.7513/j.issn.1004-7638.2021.01.024
摘要(509) HTML (196) PDF(32)
摘要:
采用OM、EBSD检测分析技术研究了铌对低温取向硅钢热轧组织与织构的影响,探索是否应在低温取向硅钢中加入铌。结果表明,含铌相较于不含铌取向硅钢热轧板晶粒更加细小,沿板厚方向组织梯度更加明显;铌元素的加入优化了取向硅钢热轧板织构,含铌比不含铌取向硅钢热轧板中的旋转立方织构取向密度小,而高斯织构和γ取向线密度大,其中高斯织构{110}<001>的织构密度f(g)高达12.19。
钛微合金化对22MnB5汽车用钢组织及性能的影响
王功, 季国顺
2021, 42(1): 155-159. doi: 10.7513/j.issn.1004-7638.2021.01.025
摘要(849) HTML (302) PDF(21)
摘要:
在22MnB5钢中添加不同含量的合金元素钛,制备了钛微合金化汽车用钢试样,并进行了试样显微组织、力学性能和耐腐蚀性能的测试与分析。结果表明:添加合金元素钛,有利于细化试样的内部晶粒、提高试样的力学性能和耐腐蚀性能。随钛含量从0逐渐增加至0.08%,试样内部晶粒先细化后粗化,其抗拉强度和屈服强度均先增大后减小、断后伸长率先增大后减小再增大、腐蚀电位先正移后负移,汽车用钢的力学性能和耐腐蚀性能均先提高后下降。试样钛含量优选为0.06%。与不添加钛相比,当钛含量添加至0.06%时试样的抗拉强度增加24 MPa、屈服强度增加27 MPa、腐蚀电位正移95 mV。
铁素体区保温对钒微合金化HRB500显微组织和力学性能的影响
吕远, 亓海全, 眭文杰, 石代敏, 谢国庆
2021, 42(1): 160-163. doi: 10.7513/j.issn.1004-7638.2021.01.026
摘要(539) HTML (176) PDF(10)
摘要:
通过Gleeble3500对HRB500进行了奥氏体区形变+铁素体区保温的热模拟压缩试验,研究了铁素体区保温工艺对HRB500组织和性能的影响。结果表明,试样加热到980 ℃保温15 min,进行80%压下之后,随着铁素体区保温温度的降低,珠光体组织逐渐碎化,铁素体出现少量针状结构,但硬度未随之发生规律性改变;在保温工艺中,700 ℃×15 min保温时获得了最高硬度(HV)300,较直接冷却试样提高了30,这可归于碳化钒的析出强化,进一步延长保温时间硬度显著降低,可知保温过程中晶粒的粗化抵消了碳化钒的第二相强化效果。由试验数据可以推测,常规热轧生产的HRB500并未充分利用VC的第二相强化,在轧后冷床上进行700 ℃×10~15 min的保温作业,可望实现该钢10 MPa以上的强度增量。
热处理工艺对0.25% Si含铌无取向硅钢显微组织和铁损的影响
张文岳, 张峰
2021, 42(1): 164-169. doi: 10.7513/j.issn.1004-7638.2021.01.027
摘要(502) HTML (203) PDF(19)
摘要:
向无取向硅钢中添加适量的铌元素,可以有效改善成品钢的显微组织和机械性能,但会对电磁性能产生不利影响。截至目前,尚不清楚铌元素在无取向硅钢中的存在形式、作用机理,以及在不同热处理工艺条件下对电磁性能的影响效果。研究结合0.25% Si含铌无取向硅钢生产实际,探讨了铌元素在钢中的存在形式、作用机理和影响效果,并借助热处理工艺优化以减轻铌元素对钢电磁性能的影响。结果表明,铌元素在钢中会形成百纳米级、数量众多的有害夹杂物,钉扎晶界和降低晶界扩散率,并推迟钢的再结晶开始温度和结束温度,因而,导致晶粒细化和铁损升高。随着钢中铌含量增加,钢的涡流损耗基本相当,但磁滞损耗不断增加。合理的热处理工艺,可以促进消除应力退火之后的晶粒尺寸长大,并在一定程度上减少磁滞损耗之间的差异。
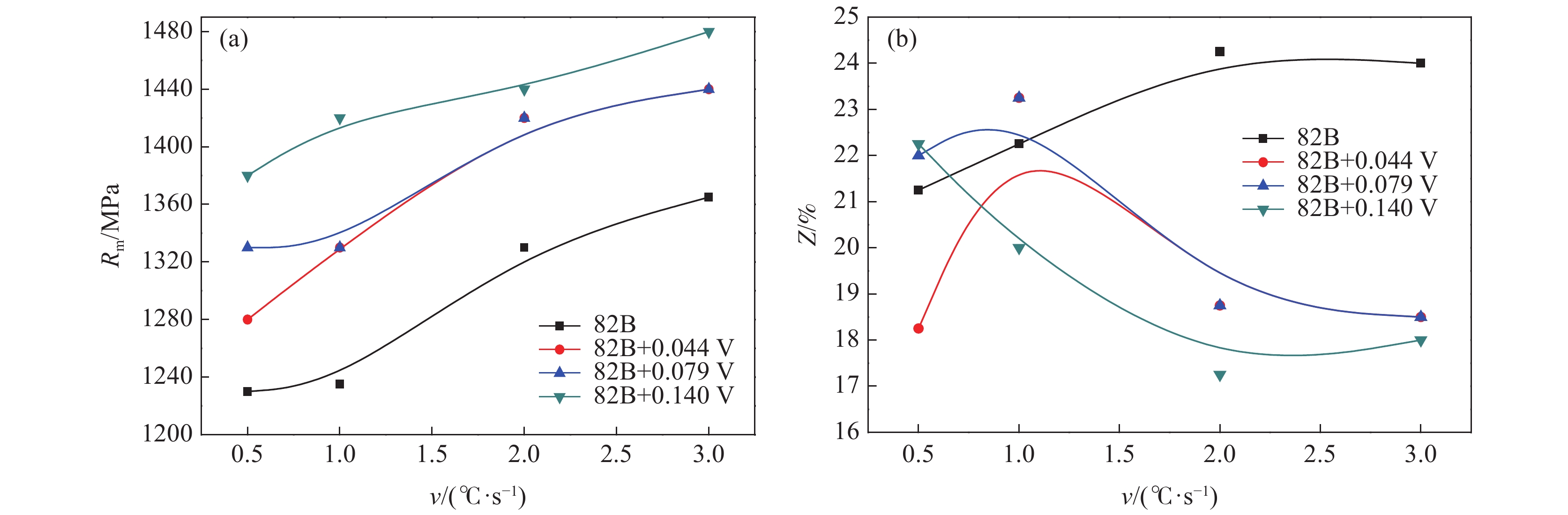
变形温度及冷却速度对微合金化82B盘条组织和性能的影响
李峥杰, 李志攀
2021, 42(1): 170-175. doi: 10.7513/j.issn.1004-7638.2021.01.028
摘要(562) HTML (247) PDF(27)
摘要:
利用热模拟仪、金相显微镜、万能试验机等手段对微合金化82B盘条的变形温度及冷却速度进行了研究分析,试验结果表明:较快的冷速会促进钒合金化试样中含钒第二相的析出,提高材料强度的同时降低其塑性,该合金化方式需控制钒含量;钒氮合金化是一种适合82B盘条的强化方式,但材料的钒和氮含量比例关系,以及与冷速的交互作用可显著影响材料的强韧性,需严格控制钢中钒氮配比;铬钒复合微合金化可显著提高82B盘条的强度和韧性,且不受冷速的强烈影响,是理想的微合金化方式,铬钒复合微合金化82B盘条组织均匀,未出现中心元素偏析,适宜终轧温度范围为900~940 ℃。
Y1Cr13不锈钢轧材劈头开裂原因分析
吴良平, 孙晗, 谢剑波, 吴翔宇, 付建勋
2021, 42(1): 176-183. doi: 10.7513/j.issn.1004-7638.2021.01.029
摘要(991) HTML (456) PDF(223)
摘要:
针对某厂生产的Y1Cr13不锈钢在轧制过程产生劈头开裂的问题,采用金相显微镜、扫描电子显微镜、小样电解等分析检测方法,从夹杂物微观形貌角度对钢劈头开裂样中硫化物的微观形貌特征进行了表征分析,并探究了Y1Cr13不锈钢轧制时劈头开裂形成的原因。结果表明:该不锈钢轧材存在大量长条状硫化物,硫化物长宽比较大,长宽比分布在3以内的夹杂物占比为65.4%,长宽比大于3的夹杂物占比为34.6%,硫化物的国标评级为:粗系4.5级,细系5.5级,德标评级为3-3级;钢中过多的热脆细长条状硫化锰和锰铁硫化物是劈头开裂的主要原因。采用镁、碲等新工艺可对硫化物形态进行改质,将其控制为球形或纺锤形,并提高硫化物硬度,轧制时不易变形;通过适当减少钢中的[S]含量以及提高钢中Mn/S等措施可减少钢中的(Mn,Fe)硫化物。
800 MPa级汽车扭力梁用钢围管和焊缝矫直开裂机理研究
李永亮, 邝霜, 贾丽慧, 汪云辉, 陈彤, 巨伟锋, 张玉文, 郑亚旭
2021, 42(1): 184-190. doi: 10.7513/j.issn.1004-7638.2021.01.030
摘要(491) HTML (246) PDF(21)
摘要:
利用光镜、扫描电镜、透射电镜、EBSD、Thermo-Calc热力学软件、JMatPro软件研究了Nb-Ti复合微合金化800 MPa级扭力梁用钢热轧板在汽车扭力梁围管和焊缝矫直过程中的开裂原因。对三种不同成分的试验钢的显微组织和纳米析出相的研究结果表明,围管和焊缝矫直开裂的主要原因为:3#钢中添加了Cr、Mo、V元素,使钢的TTT曲线右移,提高了奥氏体的稳定性,使轧后冷却过程中生成了大量的含有高密度位错的板条马氏体和板条铁素体等硬相组织,而等轴铁素体的数量较少,而且晶粒大小不均匀,在力学性能上表现为抗拉强度偏高。由于板条铁素体和板条马氏体含有高密度位错,降低了钢的塑韧性,使其在围管和焊缝矫直过程中容易开裂。