中文核心期刊

SCOPUS 数据库收录期刊

中国科技核心期刊

美国《化学文摘》来源期刊

中国优秀冶金期刊

美国EBSCO数据库收录期刊

RCCSE中国核心学术期刊

美国《剑桥科学文摘》来源期刊

中国应用核心期刊(CACJ)

美国《乌利希期刊指南》收录期刊

中国学术期刊综合评价统计源刊

俄罗斯《文摘杂志》来源期刊

优秀中文科技期刊(西牛计划)

日本《科学技术文献数据库》(JST)收录刊

留言板

尊敬的读者、作者、审稿人, 关于本刊的投稿、审稿、编辑和出版的任何问题, 您可以本页添加留言。我们将尽快给您答复。谢谢您的支持!

姓名
邮箱
手机号码
标题
留言内容
验证码

2025年  第46卷  第2期

钒钛分离与提取
钛、钒熔盐电解提取及纯化研究进展
任艺雯, 毛佩竹, 吕学明, 樊涌, 王子建, 李少龙, 吕泽鹏, 何季麟, 宋建勋
2025, 46(2): 1-9. doi: 10.7513/j.issn.1004-7638.2025.02.001
摘要(905) HTML (402) PDF(58)
摘要:

钛和钒作为重要的战略性金属,其传统火法或湿法提取和纯化工艺存在效率低、能耗大、成本高等共性问题。熔盐电解技术以其工艺流程短、产品纯度高、绿色环保等优势,为钛、钒的提取与纯化提供了新思路。文中对熔盐电解提取和纯化钛与钒的最新研究进展进行了综述,分析了卤化物熔盐电解、FFC法、USTB法的优缺点与应用潜力,讨论了熔盐体系中钛和钒的电化学行为及工艺参数优化策略。未来,在设备材料耐腐蚀性、电流效率提升及工业化规模化应用方面,钛和钒的熔盐电解技术仍需进一步探索。

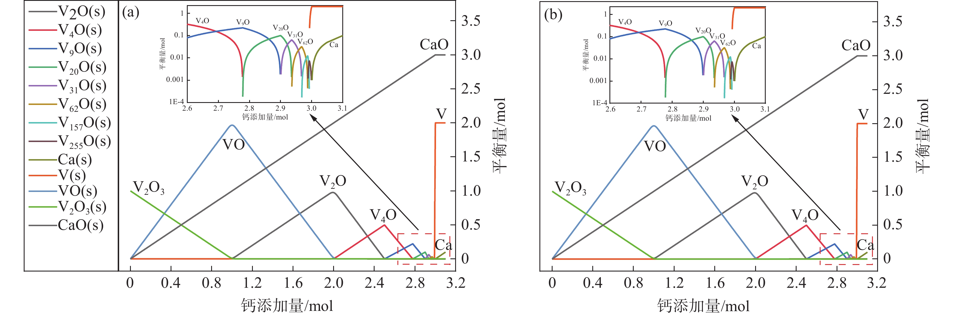
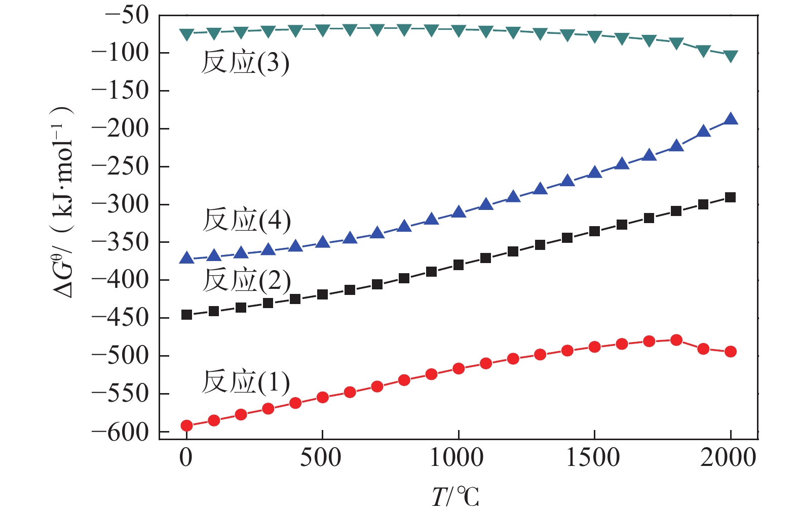
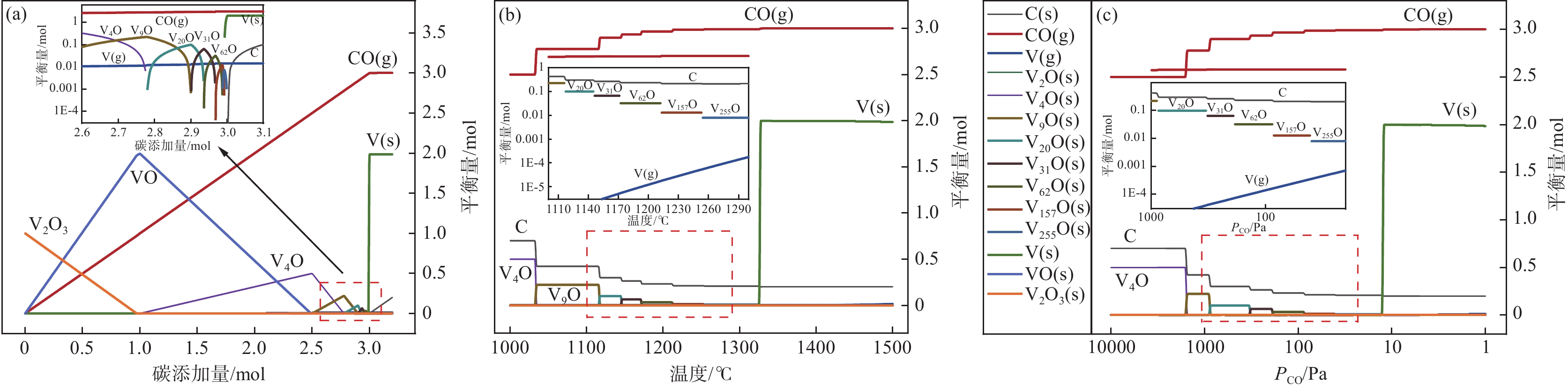
V-O固溶体氧势及金属钒制备热力学研究
钟大鹏, 于杰, 侯勇, 喻文昊, 吕学伟
2025, 46(2): 10-18. doi: 10.7513/j.issn.1004-7638.2025.02.002
摘要(699) HTML (145) PDF(41)
摘要:

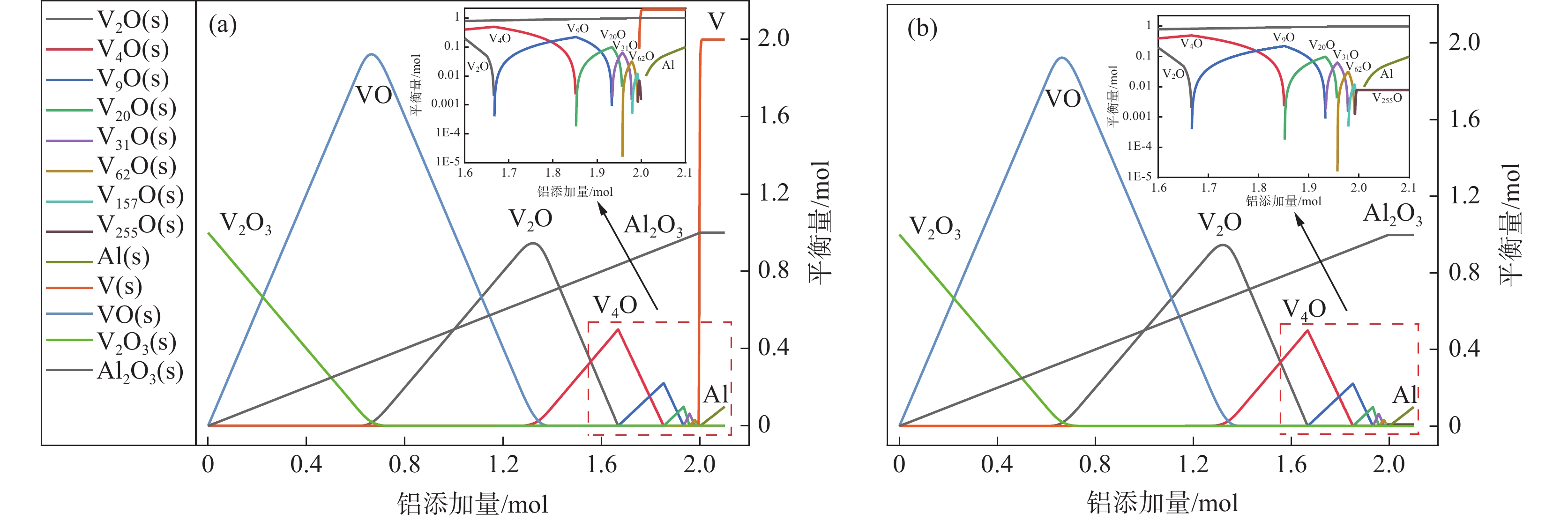
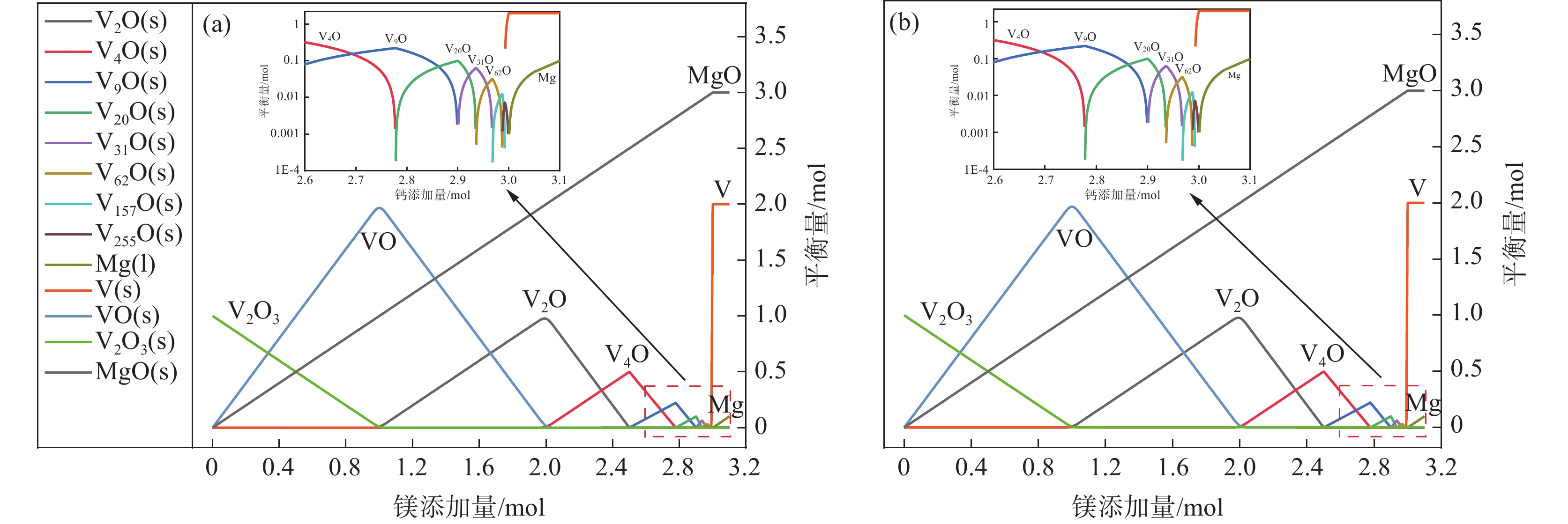
非金属元素O熔解在V晶格中形成固溶体,固溶体的氧脱除极限取决于氧的活度和温度,但目前对V-O固溶体热力学性质研究较少。以 Sieverts 定律为计算准则,收集V-O体系热力学数据,计算获得了不同氧含量下固溶体VOy的氧势。同时将热力学模型导入 Factsage 并建立自定义数据库,以辅助计算金属热还原法制备钒的相变及平衡组成,明确Ca、Mg、Al等还原剂的极限脱氧能力。结果表明,合理控制Al加入量和反应温度所制备出的金属钒理论上氧含量可降至约0.1%~0.5%;Mg作为还原剂时,理论上可制备出氧含量0.01%~0.1%的金属钒产品;Ca的还原能力更出色,制备出金属钒产品中氧含量<0.01%;增加C添加量、提升反应温度、降低PCO 理论上均可制备出氧含量低于0.1%的金属钒产品。

膜分离法回收沉钒废水中钒与铬
辛云涛, 宋坤, 王如成, 田庆华
2025, 46(2): 19-25. doi: 10.7513/j.issn.1004-7638.2025.02.003
摘要(375) HTML (191) PDF(23)
摘要:

为了从沉钒废水中回收有价金属钒、铬,采用乙二胺四乙酸(EDTA)络合配合膜分离法对沉钒废水进行处理。研究了络合效果、膜的种类、水通量、压力差等参数对于钒、铬回收效果的影响规律。结果表明,当EDTA摩尔比为1.5时,采用NF5纳滤膜在0.8 MPa下过滤3次,钒、铬的截留率分别为99.88%和99.97%,浓缩液中的钒、铬浓度为24.97 g/L和2.499 g/L,实现了沉钒废水中钒、铬的有效回收。透过液中的钒、铬含量分别为0.573 mg/L和0.015 mg/L,可以达到工业废水排放标准。DLS、SEM和AFM分析结果表明,采用EDTA络合配合膜分离技术可以有效地回收溶液中的钒、铬。

V2O5促进铁锰矿中铁、锰组元高效分离与循环利用机制
刘鑫羽, 温婧, 袁帅, 李易鸿, 刘子豪, 姜涛
2025, 46(2): 26-32. doi: 10.7513/j.issn.1004-7638.2025.02.004
摘要(343) HTML (217) PDF(13)
摘要:

铁锰矿中铁和锰因物理化学性质相近,现有方法难以实现铁、锰组元的高效分离。文中引入V2O5作为添加剂与铁锰矿混合焙烧,系统研究了混合焙烧过程的物相演变规律及酸浸过程锰、铁、钒元素的迁移分离规律与循环利用机制。结果表明,焙烧后铁锰矿中含锰相转化为酸溶性焦钒酸锰,而铁和硅仍然以Fe2O3和SiO2形式存在。焙烧熟料经pH为2和1.8两段酸浸后,Mn、Fe和V的浸出率分别为81.25%、

0.0074

%和5.77%,实现了锰、铁组元的有效分离。含锰浸出液真空干燥得到MnSO4,可作为锰冶金和锰化工的中间产品。酸浸渣经碱浸后实现了铁、钒分离,富铁尾渣中Fe2O3含量达83.02%,可作为高炉炼铁原料。碱浸液经水解沉淀和焙烧得到V2O5可返回焙烧体系,其循环利用率达90%以上,该过程产生的废水也可返回浸出体系再次利用。该研究为共伴生铁锰资源的清洁高效利用提供了一个新方法。

V2O3粉末真空铝热法制备AlV55合金的研究
张苏新, 常福增, 祁健, 张娜
2025, 46(2): 33-38. doi: 10.7513/j.issn.1004-7638.2025.02.005
摘要(414) HTML (170) PDF(30)
摘要:

以V2O3和Al粉为原料,真空铝热还原法制备AlV55合金,利用热力学软件和差热分析法对铝热法制备钒铝合金的过程进行了分析,结果表明:热力学计算常温下铝热还原反应可将V2O3一步还原为V;实际还原过程为分步进行,开始温度为749 ℃,且属于液-固反应范畴;单位热效应为

2239.65

J/g,绝热燃烧温度为

1728.7

℃。研究了真空加热过程中保温温度和造渣剂氧化钙加入量对钒收率的影响,当保温温度超过

1650

℃时,钒铝合金的钒收率可达到95%左右,钒铝合金锭无裂隙和氧化膜,钒铝合金的成品率显著提升。此外,还确定了CaO/Al2O3比值对炉渣粘度的影响,当造渣剂用量超过22.5%时,渣金的分离效果显著提升。

钒钛材料与应用
碎钛料对TC4合金铸锭微观组织与力学性能的影响
贺同正, 吴敬玺, 罗国军, 沈选金, 唐丽英, 陈玉勇
2025, 46(2): 39-45, 82. doi: 10.7513/j.issn.1004-7638.2025.02.006
摘要(473) HTML (205) PDF(37)
摘要:

采用钛板切边、钛屑、钛坯切头及高纯原料制备了TC4合金铸锭,从成分、微观组织、硬度等方面系统分析了不同类型碎钛料对离心铸造技术的适用性。结果表明,四类铸锭中N、O、H等杂质元素的含量均符合GB/T6614−2014要求;但是,由于碎钛料在不同的热加工过程中会发生物理和化学变化,从而对合金凝固过程产生重要影响,使铸锭微观组织和性能存在一定差异。四类铸锭的硬度均满足GB/T6614−2014要求,这进一步证实了离心铸造技术可以较好地适用于碎钛料回收。热处理后,4#合金的微观组织均匀化程度显著改善,异常组织区域完全消失。真空气淬工艺Ⅰ处理后试样的硬度值(HRC)最大,为32.5。

黑曲霉菌对工业纯钛的腐蚀影响研究
王文溪, 侯福星, 王剑云, 杨政, 王丹, 程佳
2025, 46(2): 46-52. doi: 10.7513/j.issn.1004-7638.2025.02.007
摘要(447) HTML (196) PDF(10)
摘要:

选取黑曲霉菌为典型微生物,研究其对工业纯钛TA2腐蚀行为的影响,采用表面分析技术(激光共聚焦显微镜及扫描电子显微镜),结合电化学分析方法(电化学阻抗谱和动电位极化曲线),研究了工业纯钛TA2在黑曲霉菌富集环境下的耐腐蚀特性。研究发现黑曲霉菌在TA2表面的附着生长改变了钛片的电化学特征,其耐腐蚀性随浸泡时间的增加先增强后减弱,生物膜在一定时间周期内可提高耐蚀性能。生物膜越厚,其耐腐蚀性能越好。尽管如此,在黑曲霉菌液浸泡21 d后,钛片表面仍观察到极少量的点蚀坑,预示出现了霉菌腐蚀。

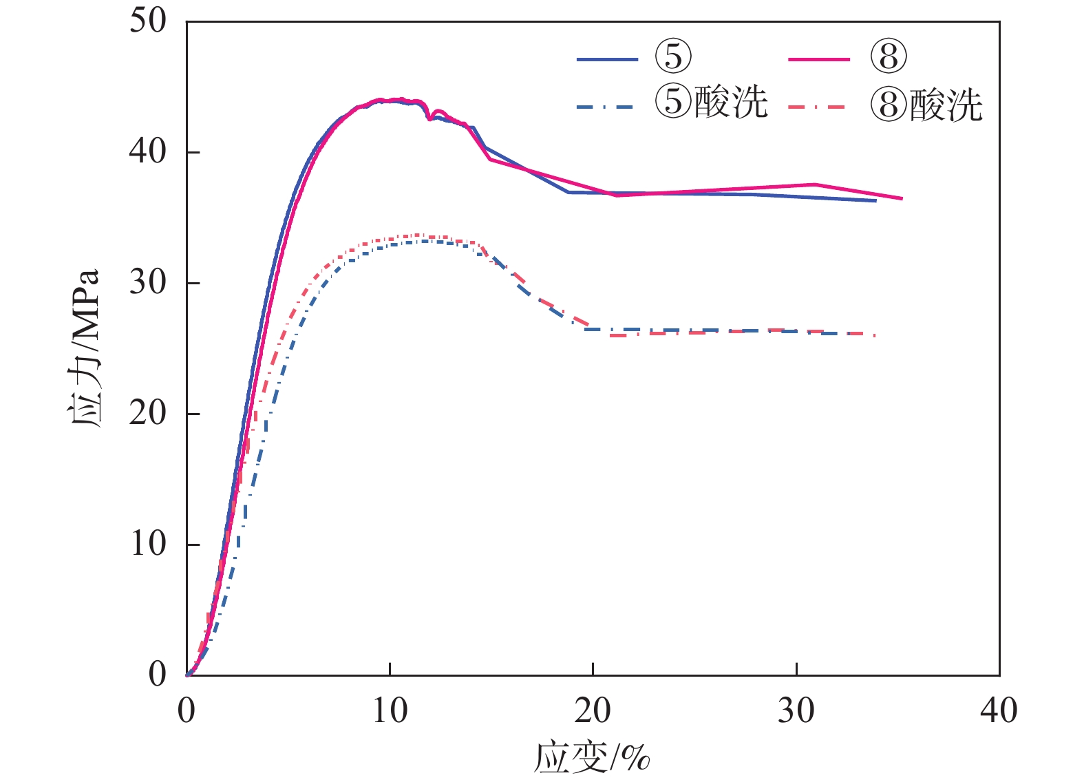
SLM工艺参数及酸洗处理对TC4钛合金多孔结构影响研究
王政伦, 刘永胜, 李炜
2025, 46(2): 53-60. doi: 10.7513/j.issn.1004-7638.2025.02.008
摘要(346) HTML (228) PDF(18)
摘要:

基于TC4钛合金三周期极小曲面(TPMS)多孔结构和激光功率P、扫描速度v及扫描间距h水平差异设计三因素三水平正交试验,一方面通过极差和方差分析研究激光选区熔化制造(SLM)工艺参数对TC4钛合金多孔结构尺寸精度、质量和力学强度的影响规律;另一方面对钛合金多孔结构进行HF酸洗处理,研究酸洗工艺对多孔结构参数和力学性能的影响。结果表明:TPMS多孔结构的实体尺寸和质量与SLM工艺能量密度E呈正相关;TPMS多孔结构的力学强度受SLM工艺参数影响较小,优化SLM工艺参数应以3D打印多孔结构尺寸、质量精度控制为主导;酸洗处理可以改善TPMS多孔结构表面粗糙度,提高结构尺寸、质量精度;此外,酸洗处理促使TPMS多孔结构的弹性模量更接近天然松质骨的力学性能。

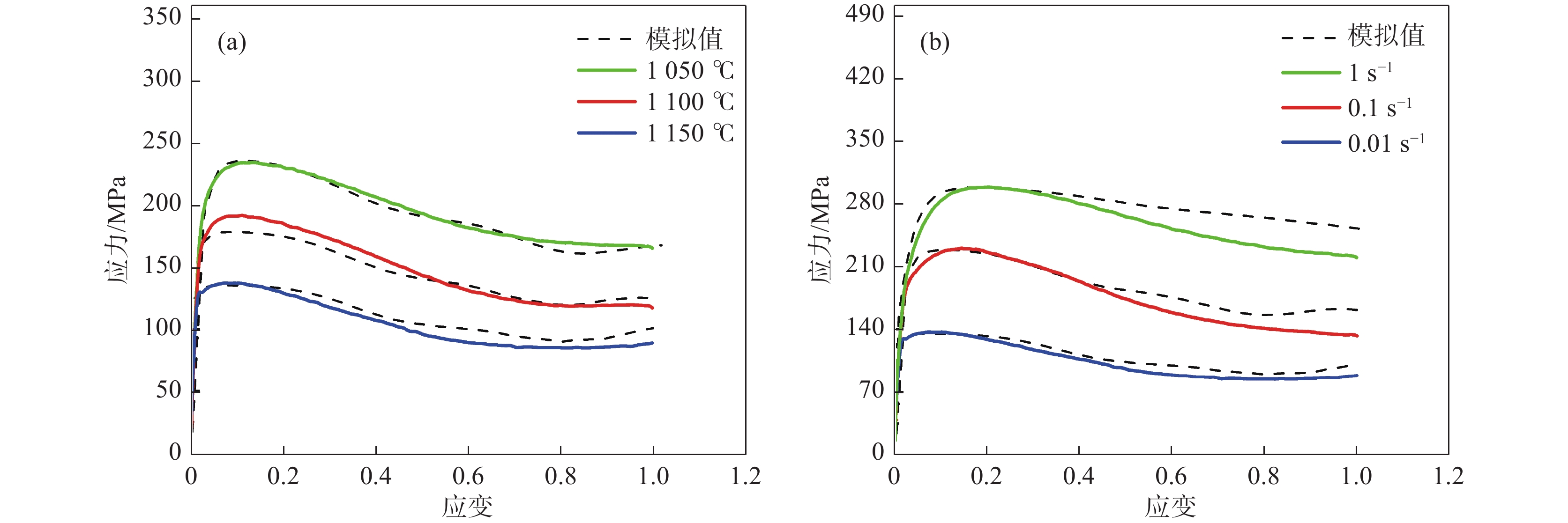
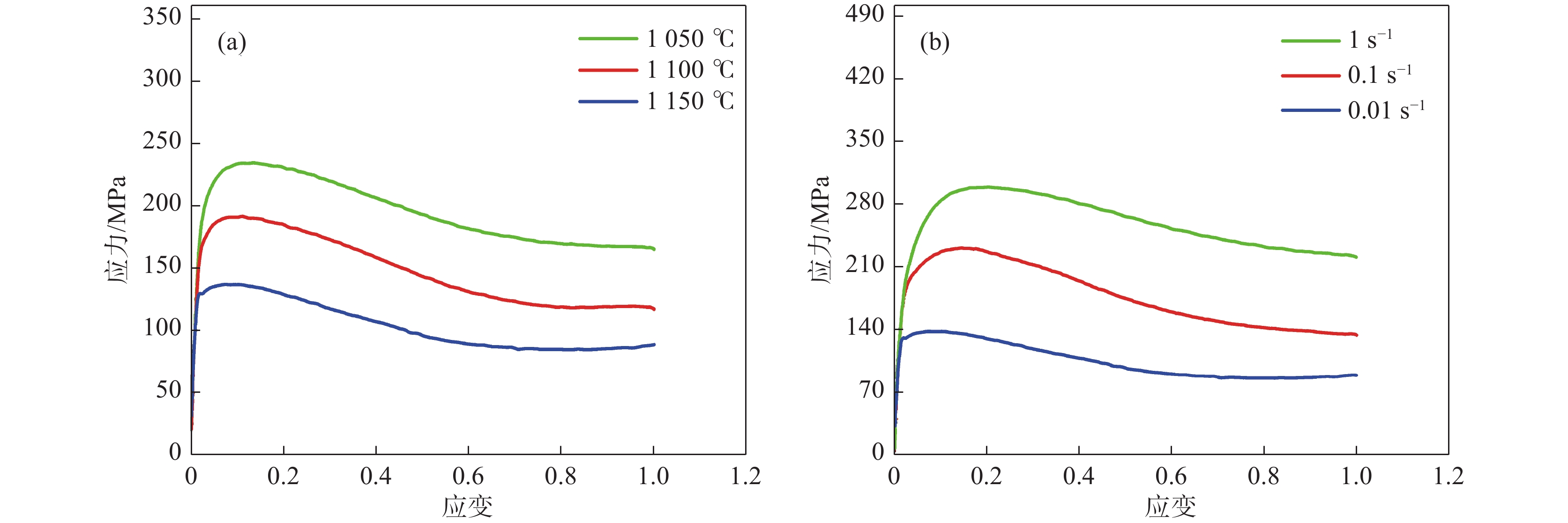
TC4钛合金气瓶热旋压成形技术研究
郑帮智, 冯兆龙, 刘永胜, 王泽龙
2025, 46(2): 61-67. doi: 10.7513/j.issn.1004-7638.2025.02.009
摘要(338) HTML (145) PDF(14)
摘要:

通过数值仿真方法构建了TC4钛合金气瓶热旋压成形的数值仿真模型,并通过试验验证了该模型的可靠性。在热模拟试验中,以0.1、1、10 s−1三种应变速率为条件,详细探究了TC4材料在700~

1000

℃下的流变应力分布。综合数值仿真分析,深入研究了成形温度、主轴转速、进给速度等关键工艺参数对TC4钛合金成形的影响,并最终制定了气瓶热旋压成形工艺。通过多道次TC4钛合金热旋压成形试验,进一步验证了所提出工艺的可行性,为TC4钛合金气瓶的制造提供了科学而可行的技术路线。

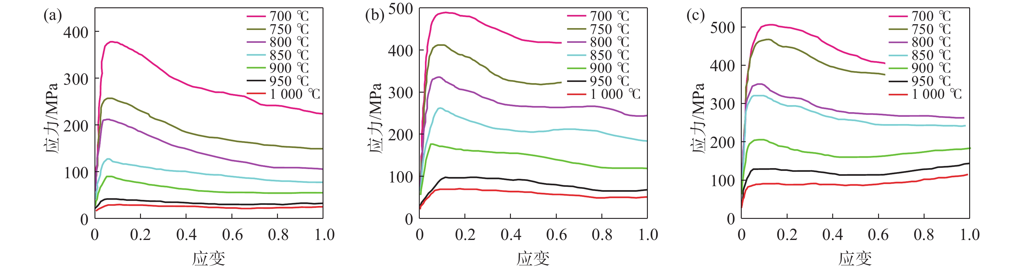
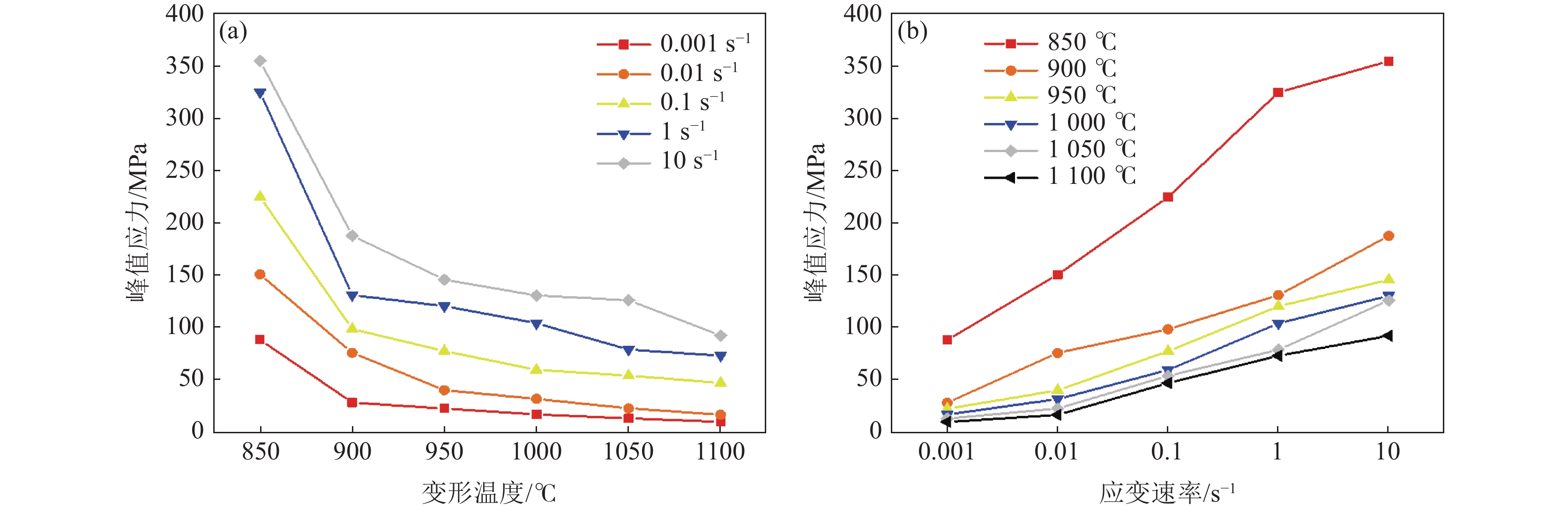
锻态TC21钛合金热变形行为及热加工图
黄召阔, 滕艾均, 康强, 王鹏, 董恩涛
2025, 46(2): 68-75. doi: 10.7513/j.issn.1004-7638.2025.02.010
摘要(447) HTML (153) PDF(20)
摘要:

采用热模拟试验机开展了高温热变形试验,得到锻态TC21钛合金在850~1 100 ℃、应变速率0.001~10 s−1变形参数下的应力应变曲线,分析了压应力状态下,变形温度和应变速率对流变应力的影响,基于Arrhenius双曲正弦函数建立了本构关系,绘制了0.1~0.6不同应变下的热加工图,总结出锻态合金热变形的参数范围。结果表明:变形参数对流变应力的影响较大,当变形温度升高时,流变应力降低,当应变速率降低时,流变应力降低;两相区和单相区变形激活能分别为770.86 kJ/mol和261.00 kJ/mol;随着应变量增加,热加工图中失稳区逐渐扩大,合适的热加工区域为变形温度900~1 100 ℃,应变速率0.005~0.153 s−1。试验结果可为TC21合金热加工工艺参数制定提供理论支撑。

钒源对磷酸钒钠钠离子正极材料电化学性能的影响研究
王仕伟, 郑浩, 汪劲鹏, 蒋霖
2025, 46(2): 76-82. doi: 10.7513/j.issn.1004-7638.2025.02.011
摘要(288) HTML (168) PDF(23)
摘要:

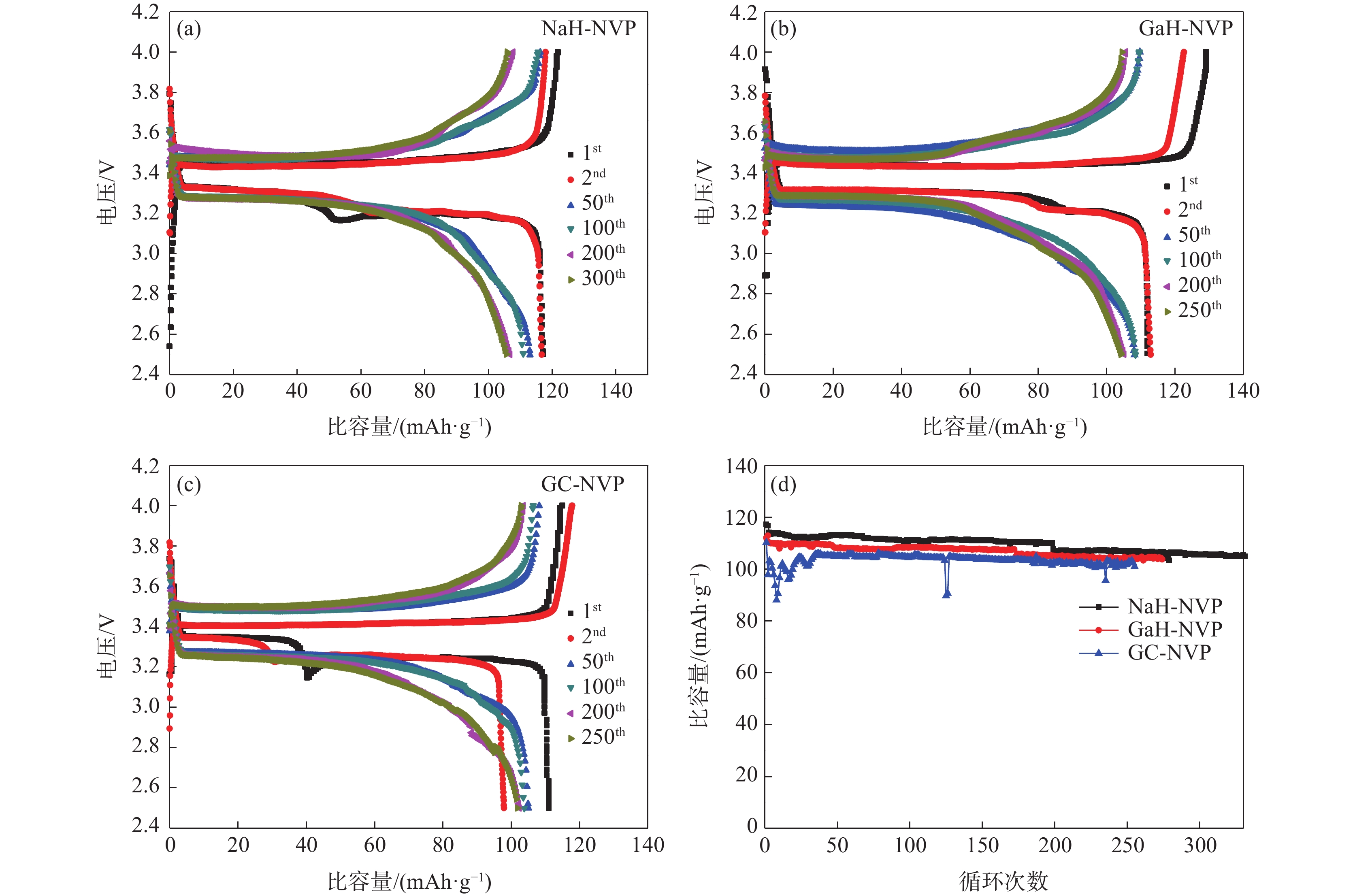
以不同提钒工艺制备的中间产物多钒酸铵NH4V3O8(APV)和高纯五氧化二钒为钒源,Na2CO3、NH4H2PO4、柠檬酸分别作钠源、磷源、碳源,采用溶胶凝胶法合成了一系列Na3V2(PO4)3/C正极材料。通过XRD、SEM、电池测试系统和电化学工作站等详细研究了不同钒源对Na3V2(PO4)3/C正极材料的影响。结果显示:钠法提钒多钒酸铵为钒源制备的NaH-NVP正极材料呈现较好的循环性能和优异的高倍率性能,在5C和10C高倍率下分别表现出98 mAh/g和64 mAh/g的可逆容量。此项研究拓展了合成磷酸钒钠材料的钒源选择,对降低磷酸钒钠的制备成本具有积极意义。

资源环境与节能
亚毫米级细粒人造金红石搅拌制粒研究
任雨荞, 陈凤, 叶恩东, 郭宇峰, 张濛, 王帅, 杨凌志
2025, 46(2): 83-89. doi: 10.7513/j.issn.1004-7638.2025.02.012
摘要(521) HTML (180) PDF(19)
摘要:

对亚毫米级细粒人造金红石搅拌制粒工艺进行研究。通过试验对比,选定最佳制粒制度为:NA为添加剂,NA添加量1.5%,制粒水分20%,混合转速为300、600 r/min的时间分别为3 、5 min,切割刀转速600 r/min。获得粒径为0.097~0.45 mm的制粒产品,制粒后粒径小于0.097 mm的颗粒占比低于15%。对制粒产品进行强度检测,干燥及

1000

℃热处理后磨损指数分别为8.54%、4.40%,表明经过热处理后颗粒的强度得到有效提升。制粒后产物在流态化氯化环境中仍能保持完整形态,氯化反应30 min后,残余物中TiO2占比仅12.64%,氯化效果较好。

攀西某高铬型钒钛磁铁矿选铁试验研究
蔡先炎, 陈福林, 李硕, 王志杰, 黄延, 钟祥, 吴宁
2025, 46(2): 90-96. doi: 10.7513/j.issn.1004-7638.2025.02.013
摘要(290) HTML (133) PDF(22)
摘要:

利用Zeiss Sigma 500扫描电子显微镜、Bruker能谱仪、AMICS自动矿物分析系统和筛分、磨矿、磁选等手段对攀西某高铬型钒钛磁铁矿开展了矿物特性及实验室抛尾选铁试验。矿样主要矿物为钛磁铁矿、透辉石、橄榄石、钛铁矿和角闪石等,脉石矿物与钛铁矿和钛磁铁矿嵌布关系复杂,钛铁矿与钛磁铁矿紧密共生,V和Cr赋存于钛磁铁矿,钛磁铁矿内存在微米级客晶矿物,其限制了铁精矿TFe品位提高和TiO2含量降低。试样采用湿式强磁选抛尾,效果良好,抛尾精矿需在较细粒度时才能实现钛铁矿与钛磁铁矿明显解离和显著分离,磨矿选铁时V和Cr主要进入弱磁精矿。试样采用湿式强磁选预先抛尾-三段阶段磨矿阶段选铁工艺,在磨矿细度−38 μm占97.58%时,获得了TFe 57.06%、TiO2 11.07%、V2O5 0.591%、Cr 1.10%的含铬钒钛铁精矿,相对于原矿,TFe、TiO2、V2O5、Cr的回收率分别为67.51%、38.66%、90.95%、87.55%。

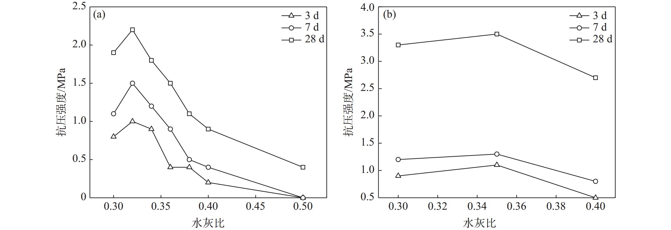
碱激发高钛重矿渣胶凝材料研发及性能研究
刘蓝, 曹知勤, 何逵, 孙新坡, 廖映华, 杨星, 唐文静, 李玉婷, 郑涛彬
2025, 46(2): 97-102. doi: 10.7513/j.issn.1004-7638.2025.02.014
摘要(491) HTML (164) PDF(13)
摘要:

碱激发胶凝材料跟传统硅酸盐水泥相比,具有生产工艺简单、投资少、能耗低、二氧化碳排放量低、矿渣利用率高等优点。通过设计不同水灰比、碱激发剂及其用量,研发碱激发高钛重矿渣胶凝材料,分析其力学性能,获得了最优的材料组成配比;同时结合XRD、SEM分析了其物相组成及微观结构,揭示了碱激发高钛重矿渣胶凝材料水化产物及水化机理。主要结论如下:水玻璃激发效果明显优于氢氧化钠,当水灰比为0.32时,液体水玻璃含量为6%,模数为1时制备的碱激发高钛重矿渣胶凝材料力学性能最优,28 d抗压强度可达13.5 MPa;物相及微观形貌分析可知主要胶凝材料的水化产物为水化硅酸钙,同时生成了少量的水铝钙石晶体。

冶金固废载氧体耦合化学链气化制备富氢还原气的探讨
刘治桐, 张淑会, 兰臣臣, 吕庆, 张淑卿, 孙艳芹
2025, 46(2): 103-111. doi: 10.7513/j.issn.1004-7638.2025.02.015
摘要(334) HTML (173) PDF(9)
摘要:

氢气以及富氢还原气体的来源是制约氢能在钢铁行业应用的关键,而化学链气化技术可以制备高品质的富氢还原气体,其工艺成熟、成本低廉。载氧体是化学链气化技术中重要的媒介,基于载氧体的性能和类型,综述了化学链气化技术中铁基载氧体的应用现状,冶金固体废弃物载氧体的制备和应用,讨论了冶金固废载氧体耦合化学链气化技术制备富氢还原气体的可行性,并对冶金固废载氧体在化学链气化技术制备富氢还原气体领域的研究趋势和发展方向进行了展望。

钢铁冶金与材料
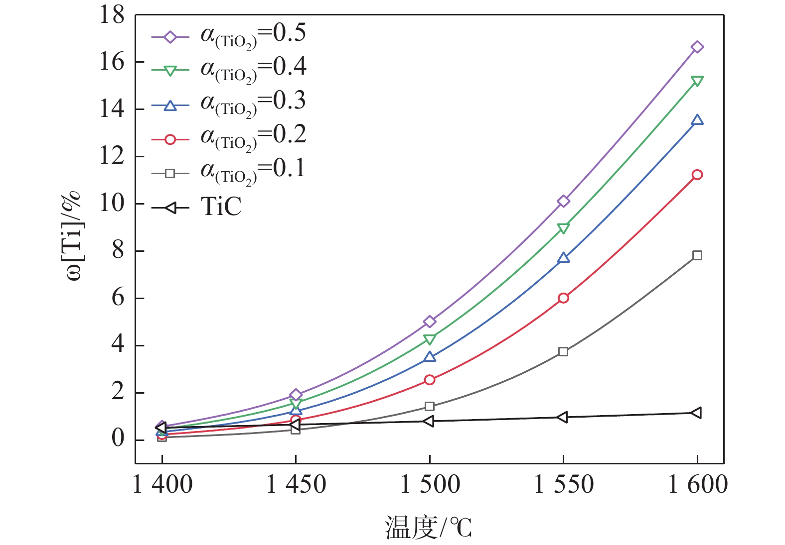
钒钛磁铁矿金属化球团电炉熔分钒钛竞争还原机理
高建军, 迪林, 王彬, 于樾, 齐渊洪
2025, 46(2): 112-117, 150. doi: 10.7513/j.issn.1004-7638.2025.02.016
摘要(826) HTML (207) PDF(43)
摘要:

钒钛磁铁矿是一种富含铁、钒、钛等多种金属元素的特殊铁矿资源。高炉冶炼钒钛磁铁矿技术已经非常成熟,但需要配加普通铁精矿,造成炉渣中TiO2含量低,难以进行TiO2的资源化回收。为了实现钒钛磁铁矿中铁、钒、钛的综合利用,钒钛磁铁矿气基竖炉直接还原-电炉熔分技术逐渐被认为是回收铁、钒、钛的最有效技术。该技术可以实现全钒钛磁铁矿冶炼,不需要配加熔剂,可以获得高TiO2含量的炉渣,进行炉渣中TiO2的资源化利用。钒钛磁铁矿金属化球团电炉熔分过程中,为了将钒还原进入铁水,需要配加还原剂进行深度还原,熔渣中的钒和钛会竞争还原。笔者进行了熔渣中V2O5和TiO2与碳还原反应的热力学计算,得到了TiO2与C反应生成TiC以及V2O5对TiC反应的抑制关系。计算结果表明,在熔分温度

1500

℃以上,还原剂碳配加量足够的条件下,钒钛磁铁矿金属化球团电炉熔分过程中不可避免会还原生成TiC,V2O5虽然可以抑制TiC的生成,但由于熔渣中TiO2含量高、活度大,V2O5活度小,V2O5难以抑制TiC的生成。钒钛磁铁矿金属化球团电炉熔分仍然存在炉渣变稠,电炉排渣困难的问题。

氢-碳协同还原钒钛磁铁矿试验研究
张双武, 邢相栋, 赵贵清, 代文林, 郭鹏辉
2025, 46(2): 118-126. doi: 10.7513/j.issn.1004-7638.2025.02.017
摘要(339) HTML (129) PDF(25)
摘要:

采用钒钛磁铁矿精矿粉内配兰炭骨料与氢气进行协同还原的方式,探究了骨料量和还原温度对钒钛磁铁矿气基还原金属化率以及抗压强度的影响,并运用X射线衍射(XRD)、扫描电镜(SEM)以及X射线计算机断层扫描(XCT)方法分析了还原产物物相、微观形貌以及孔隙结构变化。结果表明,在氢气气氛下内配兰炭还原可显著提升钒钛磁铁矿的还原效果;在氮气气氛下,兰炭并未将钒钛磁铁矿还原。内配兰炭的钒钛磁铁矿还原后,金属铁的XRD衍射峰增强,而碳的衍射峰降低。在内配兰炭还原后的试样表面,兰炭颗粒保存较好且附近孔隙较多,内嵌兰炭提高了试样内部的孔隙数量并增大了孔径,促进还原气体深入试样参与还原,从而提高了钒钛磁铁矿还原效果。

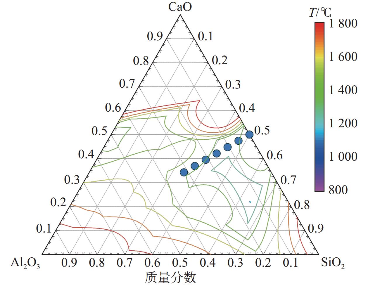
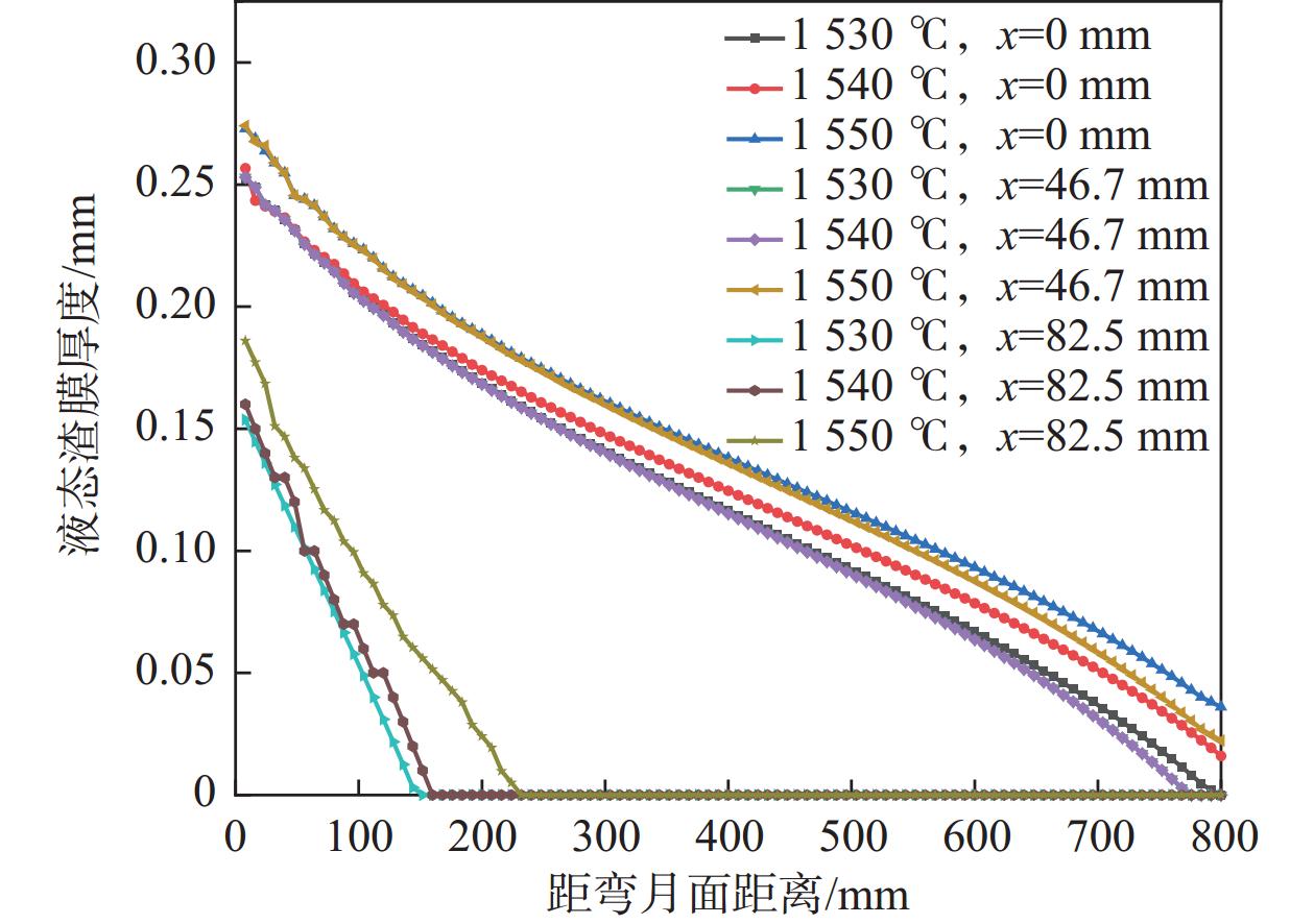
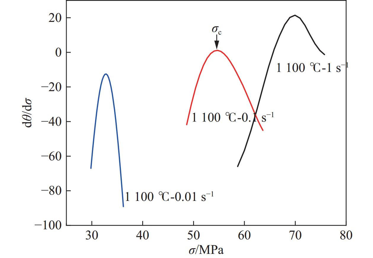
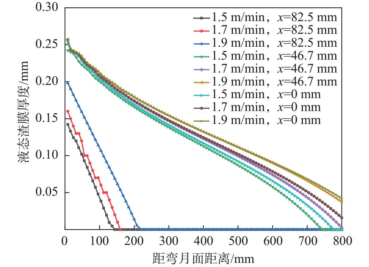
ER70-Ti钢结晶器保护渣渣膜分布数值模拟
王杏娟, 孔麒畅, 朴占龙, 朱立光, 魏天烁
2025, 46(2): 127-133. doi: 10.7513/j.issn.1004-7638.2025.02.018
摘要(276) HTML (146) PDF(9)
摘要:

CaO-Al2O3-TiO2基专用保护渣有效解决了ER70-Ti钢生产中的钢渣界面反应严重的难题,但是否能形成合理结构的液/固渣膜,对于进一步提升铸坯质量意义重大。文中利用有限元软件建立了ER70-Ti钢连铸结晶器传热模型及渣膜传热模型,分析了结晶器内液/固渣膜沿拉坯方向的不均匀分布,并探讨了拉速、浇注温度等工艺参数对液态渣膜分布的影响。结果表明:在结晶器出口处,铸坯侧的渣膜温度范围为777.87~

1113.3

℃;结晶器侧渣膜温度较低,为89.92~450.54 ℃。沿拉坯方向,液态渣膜的厚度逐渐减小,而固态渣膜厚度逐渐增加,最大厚度可达1.168 mm。进一步分析发现,拉速的提高有利于增大液态渣膜的厚度,拉速每提高0.2 m/min,液态润滑区的长度平均可延长40 mm。当浇注温度从

1530

℃升高到

1550

℃时,表面中心处液态渣膜厚度从0.252 mm增加到0.272 mm,结晶器出口处液态渣膜厚度从0 mm增加到0.036 mm。

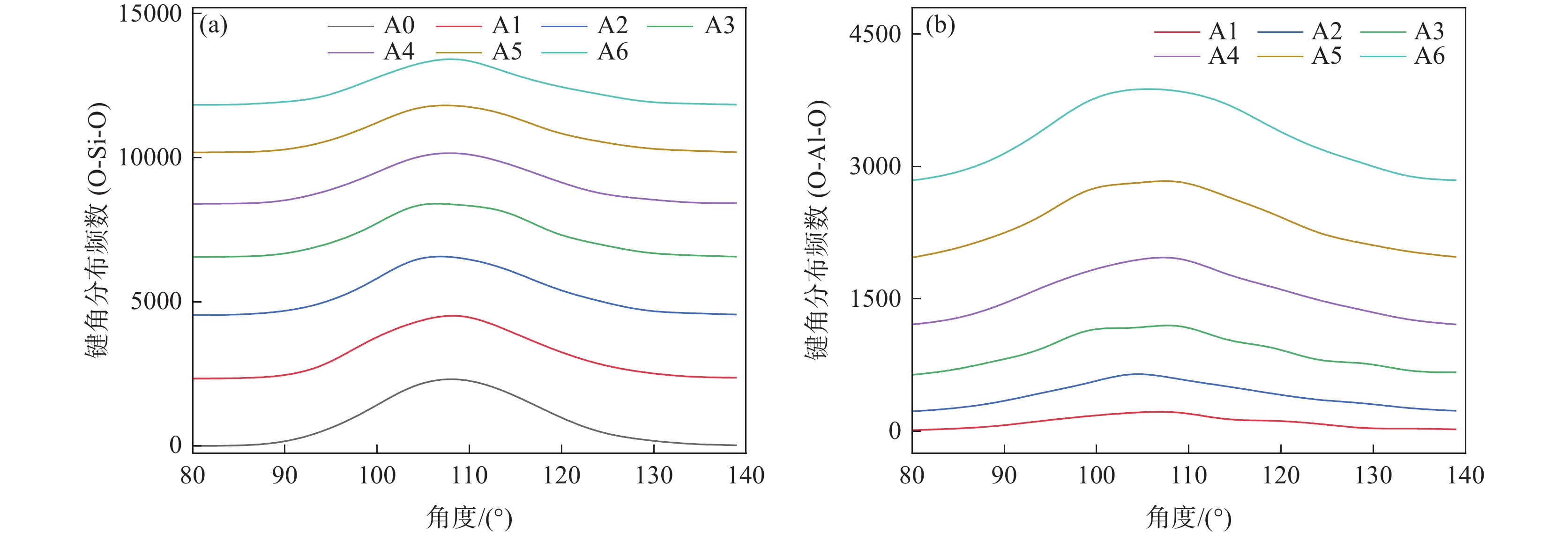
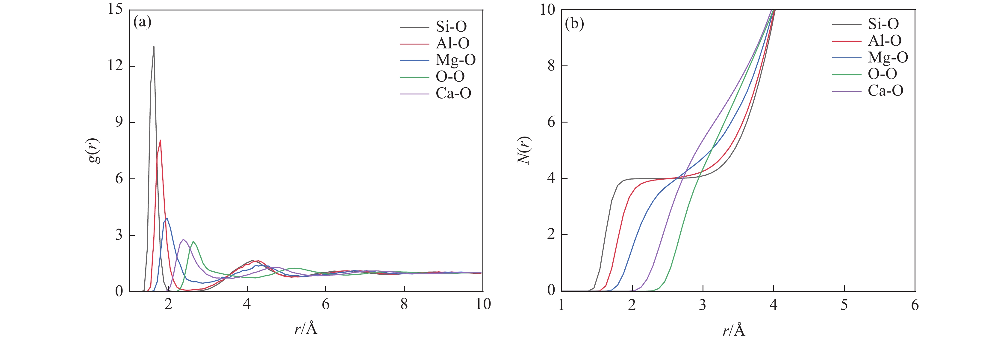
Al2O3含量对低碱度精炼渣微观结构与性能的影响
黄永生, 吕子宇, 顾超, 包燕平
2025, 46(2): 134-141. doi: 10.7513/j.issn.1004-7638.2025.02.019
摘要(225) HTML (158) PDF(14)
摘要:

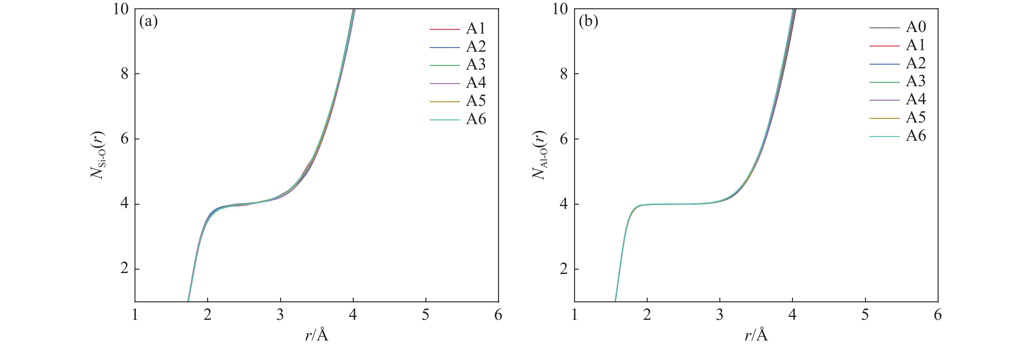
探讨了低碱度精炼渣系CaO-MgO-Al2O3-SiO2中Al2O3含量对其微观结构和性能的影响。采用分子动力学模拟方法,系统地分析了不同Al2O3含量对低碱度精炼渣系的微观结构与性质的影响。结果表明,Al2O3含量的增加对体系的径向分布函数、配位数和键角等无明显影响,但显著降低了体系的FO和NBO含量,强化了体系的网络结构。此外,Al2O3含量的增加使渣系中元素的扩散能力降低,扩散能力的顺序为Mg2+>Ca2+>Al3+>O2−>Si4+。随着Al2O3质量分数的增加,渣系黏度逐渐增大,这与扩散系数的变化趋势相反。该结果建立了低碱度渣系结构与性能之间的联系,为非铝脱氧工艺采用适合的低碱度渣提供了理论支撑。

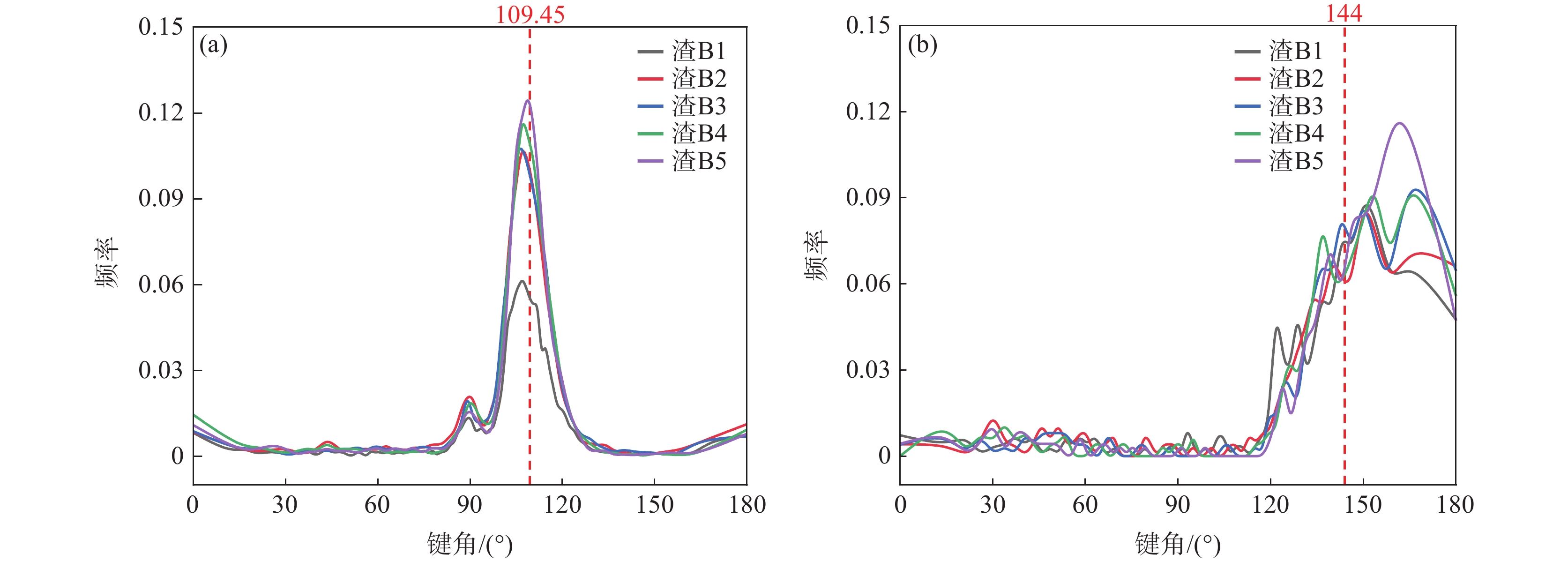
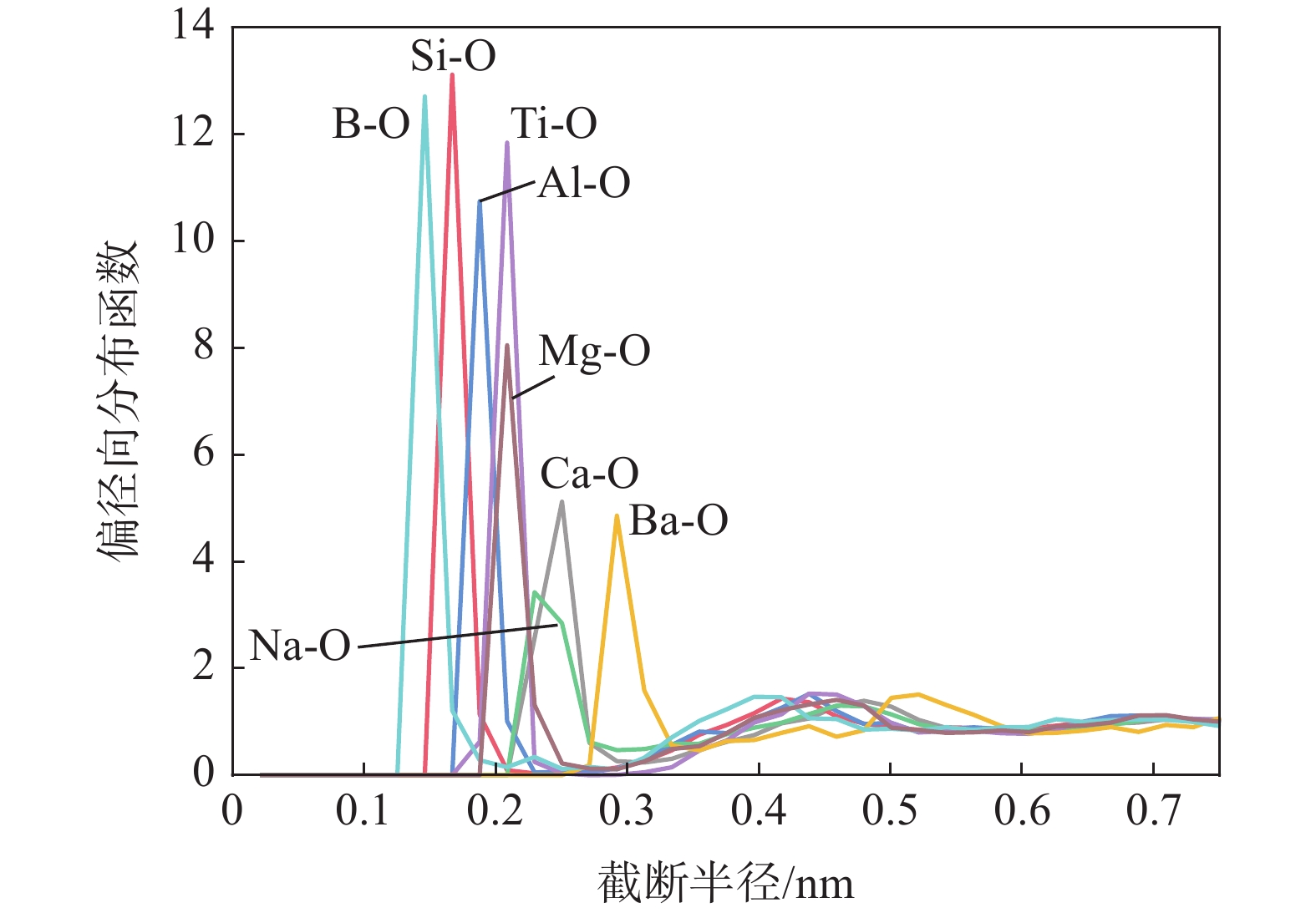
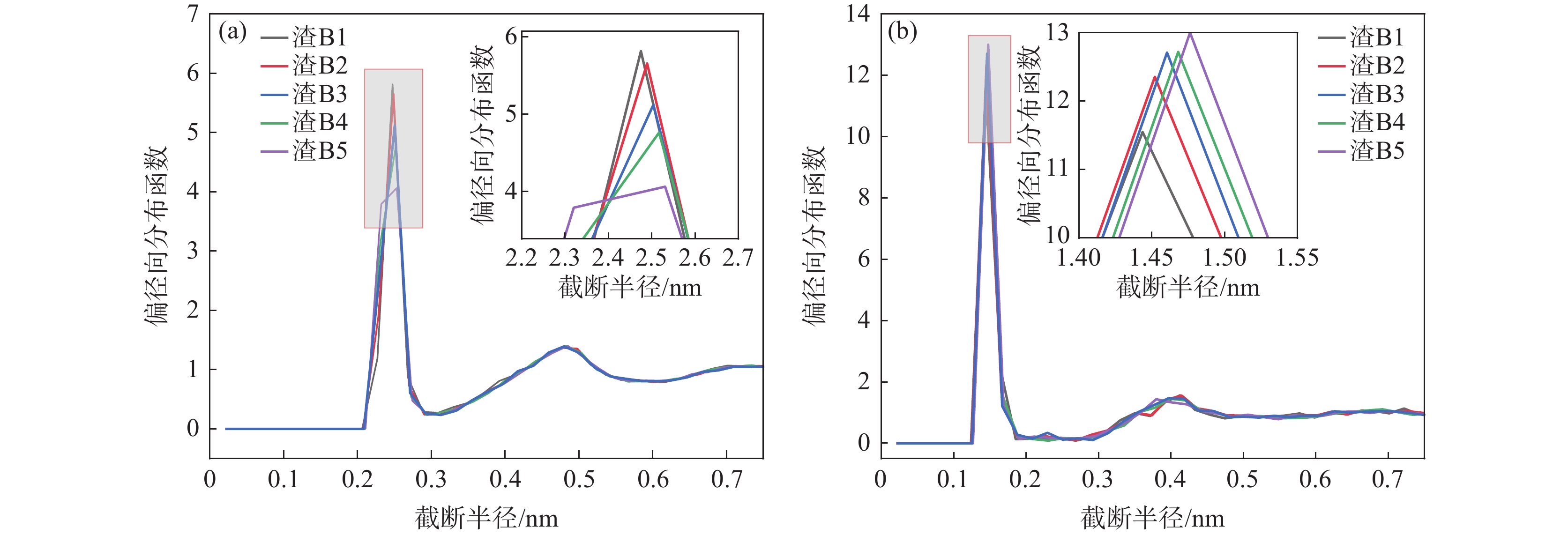
硼砂对含钛矿渣基无氟保护渣微观结构及黏度的影响
刘磊, 韩秀丽, 张玓, 刘子瑶, 郭静静
2025, 46(2): 142-150, 117. doi: 10.7513/j.issn.1004-7638.2025.02.020
摘要(279) HTML (154) PDF(15)
摘要:

为明晰硼砂作为氟替代物在含钛无氟保护渣中的作用机制,选用含钛高炉渣、石灰石、石英砂、纯碱、毒重石和硼砂等工业矿物原料配制含钛矿渣基无氟保护渣,采用分子动力学模拟和拉曼光谱技术研究了熔渣的偏径向分布函数、平均配位数、键角分布和结构单元Qn分布等结构特征,并从熔渣微观结构层面解析了宏观性能黏度随硼砂含量变化的内因。结果表明,随硼砂含量的增加(4%~12%),含钛矿渣基无氟保护渣的熔渣中Ca-O结构稳定性变差,低聚合度B-O结构大量形成,∠Si-O-Si键角有序度降低,结构单元Q0逐渐解聚转化为Q1和Q2,网络结构变得更加复杂且整体聚合度减小,即在宏观上表现为黏度性能下降;当硼砂含量增加至8%以上时,含钛矿渣基无氟保护渣降至低黏度水平并趋于稳定。

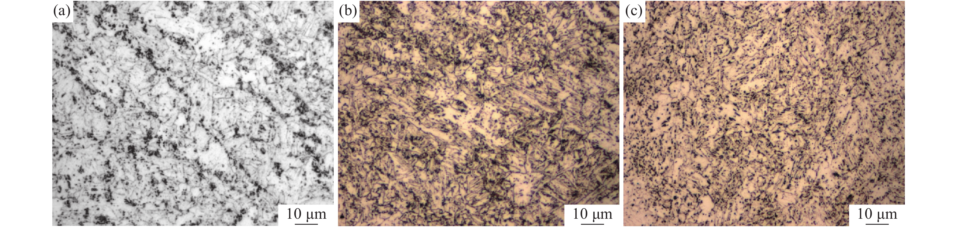
镍基高温合金动态再结晶组织演化的三维元胞自动机模拟
宫迎慧, 丁浩晨, 王英虎, 张驰, 张立文, 盛振东, 郑淮北, 王市均
2025, 46(2): 151-158. doi: 10.7513/j.issn.1004-7638.2025.02.021
摘要(457) HTML (181) PDF(34)
摘要:

镍基高温合金在热加工过程中易发生动态再结晶组织演化行为,可以有效细化合金凝固过程形成的粗大柱状晶组织,是调控高温合金锻件质量的理论依据。采用C276镍基高温合金开展了高温热压缩试验,研究了热压缩流变应力曲线特征和微观组织演化规律,在此基础上,开发了镍基高温合金热变形动态再结晶的三维元胞自动机模型。结果表明,镍基高温合金的动态再结晶对变形温度、变形量及变形速率极为敏感,三维元胞自动机模型可以表征动态再结晶形核和晶粒生长的三维空间微观组织拓扑结构演化特征,并计算动态再结晶过程中的加工硬化、动态再结晶软化等力学响应特性。再结晶组织的三维空间组织拓扑结构分析较二维空间表现出一定优势。该模型有助于进一步理解镍基高温合金动态再结晶演化行为,指导热加工过程微观组织的精确调控。

射频等离子体制备球形MoNbTaW难熔高熵合金粉末的研究
赵宇敏, 施麒, 刘斌斌, 谭冲, 刘辛, 周舸, 丁忠耀, 秦奉
2025, 46(2): 159-168. doi: 10.7513/j.issn.1004-7638.2025.02.022
摘要(360) HTML (186) PDF(20)
摘要:

以喷雾造粒制备的MoNbTaW粉末为原料,通过射频等离子体制备球形MoNbTaW难熔高熵合金粉末,研究了球化功率、载气流量、鞘气成分对粉末球化率的影响。利用扫描电子显微镜、X射线衍射仪、激光粒度分析仪、霍尔流速计和纳米压痕测试系统分别对球化处理前后的粉末形貌、物相、粒度、流动性和显微硬度进行了测试和分析。结果表明: 球磨后粉末未发生合金化,球化后粉末完全转变为体心立方相;等离子体功率由32 kW增大到40 kW,球化率提高,接近100%;载气流量由1 L/min增加到4 L/min,球化粉末表面纳米颗粒减少,更加光滑,球化率接近100%,而继续增加到7 L/min,粉末出现未熔颗粒;在鞘气中添加氢气有助于提高球化率。球化处理后,粉末粒度分布变窄,振实密度由 2.00 g/cm3提高到8.33 g/cm3,松装密度从1.43 g/cm3提升到7.24 g/cm3,霍尔流速(50 g计)由50.8 s提升至8.5 s,显微硬度达到8.57 GPa 。

海洋装备用921钢的增材修复专用粉体及工艺研究
王一甲, 李彬周, 段涛, 张大越, 孙瑞琪, 刘宝权
2025, 46(2): 169-174, 181. doi: 10.7513/j.issn.1004-7638.2025.02.023
摘要(285) HTML (155) PDF(13)
摘要:

研究了用于921钢材表面开展激光增材制造与修复的专用粉体及配套工艺。通过合理调控合金组分,利用气雾化工艺,获得尺寸均匀的球形雾化粉末;利用激光同轴送粉设备在921钢基材上进行增材制造,优化工艺参数,可获得力学性能匹配良好,无宏观缺陷的熔覆层,实现对921钢基材的增材与修复目的。经测试,修复层力学性能满足相关修复指标要求,化学成分与设定保持一致,无开裂分层等缺陷,具备良好机加工性能,有助于实现大型海洋结构的自主修复,提高服役可靠性。

钒微合金钢奥氏体晶粒尺寸对晶内铁素体形核影响
彭静, 何月漫, 付天亮
2025, 46(2): 175-181. doi: 10.7513/j.issn.1004-7638.2025.02.024
摘要(297) HTML (193) PDF(16)
摘要:

利用DIL805A/D变形热膨胀相变仪进行试验,建立了钒微合金钢不同变形温度和应变速率下的动态再结晶动力学模型,并通过组织分析与模型对比的方式研究了钒微合金钢晶内铁素体组织随动态再结晶晶粒尺寸的变化规律。结果表明:钒微合金钢的奥氏体动态再结晶晶粒尺寸对晶内铁素体相变具有一定影响,二者之间呈现抛物线关系。晶粒尺寸过大和较小均会造成晶界组织过度长大,不利于晶内铁素体组织形核。当奥氏体晶粒尺寸为40~50 μm时晶内铁素体形核能力最强,晶内组织细化效果明显。

层流冷却工艺对热轧DP600组织和性能的影响
熊雪刚, 曹建春, 曾瀚, 吕兵, 陈述, 刘一博, 张开华
2025, 46(2): 182-189. doi: 10.7513/j.issn.1004-7638.2025.02.025
摘要(278) HTML (153) PDF(11)
摘要:

测定了DP600 钢的 CCT 曲线,在不同层流冷却工艺下对该钢进行工业试生产,研究了冷却速率、空冷温度和卷取温度对其组织性能的影响。结果表明:当冷却速率 < 10 ℃/s 时,DP600 钢发生珠光体相变;当冷却速率为 ≥10 ℃/s 时,DP600 钢发生贝氏体相变;当冷却速率 > 20 ℃/s 时,DP600 钢发生马氏体相变。随着空冷温度由 700 ℃ 降低到 620、500 ℃,试验钢的显微组织分别为铁素体加马氏体、珠光体、贝氏体,抗拉强度先降低后升高。随着卷取温度由 500 ℃ 降低到 200 ℃ 以下,试验钢的组织由铁素体加珠光体变为铁素体加马氏体,且卷取温度低于100 ℃以下时,马氏体呈条带状偏聚分布,进而导致延伸率和冷弯性能不合格。空冷温度 700 ℃、卷取温度 200 ℃ 时,DP600 钢的力学性能满足要求,此时组织为75% 的铁素体加 25% 的马氏体,平均晶粒尺寸 (8.5 ± 0.3)μm,屈服强度 (397 ± 9)MPa,抗拉强度( 659 ± 13)MPa,延伸率 27% ± 1.1%。

Aermet100高强钢在大气中的疲劳寿命预测
徐灿, 田栋华, 王洪利, 吴铖川, 郑淮北, 陆永浩
2025, 46(2): 190-197. doi: 10.7513/j.issn.1004-7638.2025.02.026
摘要(306) HTML (121) PDF(12)
摘要:

疲劳是高强钢在服役过程中常见的失效形式之一,一旦发生将造成灾难性的事故。针对常用A100高强钢的微观组织以及在大气中的高周疲劳寿命进行相关研究,结果表明:A100高强钢微观组织主要由马氏体束,厚度约8 nm的逆变奥氏体薄膜和直径2~4 nm、长约9~14 nm的棒状M2C碳化物构成。在疲劳试验中,随着应力降低,微观组织中亚晶界数量增多,板条块界的数量显著减少,马氏体组织拉长。同时,拟合获得了疲劳寿命与应力水平的关系:lgN=7.54−1.29lg(Smax-953.06)。

反渗透海水淡化高压管路系统的材料腐蚀与防护
徐克, 徐国荣, 王敏, 赵河立, 阮国岭
2025, 46(2): 198-204. doi: 10.7513/j.issn.1004-7638.2025.02.027
摘要(439) HTML (209) PDF(16)
摘要:

海水淡化是解决沿海地区淡水不足、内陆地区水质退化、工业生产升级转型,促进水资源、水生态、水环境融合发展的有效技术手段。反渗透海水淡化技术凭借配置灵活、投资和产水能耗低等特点,成为国内外海水淡化市场的主流技术。然而,在苛刻环境下处理强腐蚀性海水,反渗透海水淡化装备材料面临较高的腐蚀风险。而且,海水盐度、环境温度升高和余氯残留加剧了奥氏体不锈钢的点蚀和缝隙腐蚀现象。在调研国内外工程经验基础上,总结了反渗透海水淡化在不同操作条件下的工程装备常规选材模式,分析了在部分极端环境下高压管路系统的材料腐蚀机理与防护策略。通过长期应用考察,证明了钛制高压管路系统可有效避免在强海水腐蚀环境下的材料点蚀和缝隙腐蚀问题,适合在我国南部海域以及中东、北非、南亚等地区推广应用。