2021 Vol. 42, No. 4

Separating and Extracting of Vanadium and Titanium
Study on fluidized leaching of calcified vanadium slag clinker
Wang Jingpeng, Peng Yi
2021, 42(4): 1-5. doi: 10.7513/j.issn.1004-7638.2021.04.001
Abstract(1197) HTML (421) PDF(113)
Abstract:
The fluidized leaching process of calcified vanadium slag clinker was studied in a particulate fluidized bed reactor. The particle size distribution of the clinker was determined and seven size fractions were divided for the experiments. The critical velocity and entrainment velocity of different size fractions were firstly calculated. The effects of clinker particle size on the apparent fluidization velocity, residence time and vanadium leaching rate were investigated. The results show that the critical fluidization velocity and residence time distribution of different particle size fractions are quite different, and there exists significant short circuit or channeling which needs to be treated by stages. The best vanadium leaching efficiency of 94% can be obtained for particles lower than 39 μm, with the residual vanadium content of the tailing at 0.54%.
Flow field distribution of stirring tank for hydrometallurgical vanadium extraction
Cao Xiaoshuang, Zheng Haiyan, Wang Qi, Shen Fengman
2021, 42(4): 6-11. doi: 10.7513/j.issn.1004-7638.2021.04.002
Abstract(858) HTML (280) PDF(76)
Abstract:
In order to improve the leaching rate of vanadium and understand the liquid flow and solid distribution in the mechanical stirring tank for hydrometallurgical vanadium extraction, the software Fluent was used to establish the Euler-Euler model of multi-phase flow and the standard k-ε turbulence model, by dealing with the calculation area in the stirring tank via multi-reference system method based on the theory of computational fluid dynamics. The influences of stirring speed v, the height of blade from the bottom L and the perforated baffle on the flow field distribution in the stirring tank were investigated. The results show that the liquid phase velocity in the stirring tank gradually increases first and then basically stabilizes with the increase of stirring velocity v. Based on the influence of the height of the blade from the bottom L on the liquid velocity distribution, the most suitable value was determined at L=0.4D1, where D1 refers to the blade diameter. The perforated baffle is helpful to eliminate the vortex in the flow field and improve the flow field distribution.
Reduction behaviors of pentavalent vanadium with biochar
Peng Hao, Wu Xibin, Zheng Xiongpan, Guo Jing, Huang Huisheng, Li Bing
2021, 42(4): 12-17. doi: 10.7513/j.issn.1004-7638.2021.04.003
Abstract(1024) HTML (393) PDF(50)
Abstract:
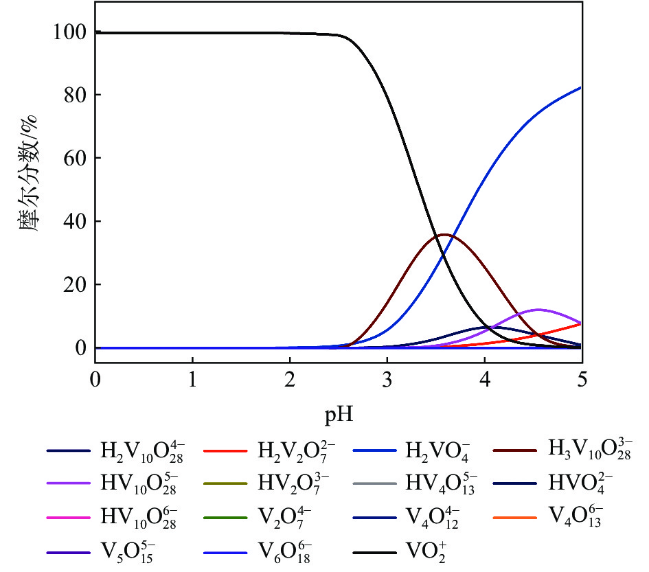
As the toxicity of vanadium increases with increase of the valence and it causes increasing threaten to the environment, biochar was introduced to do harmless treatment for high-valence vanadium. The effects of dosage of biochar, reaction temperature, concentration of H2SO4 and reaction time on the reduction efficiency of vanadium were investigated. The results indicate that pentavalent vanadium is mainly in the form of VO2+, H3V10O283− and H2VO4, and it can be reduced quickly with biochar in acidic medium. The reduction efficiency of vanadium up to 92.14% can be obtained at the following optimal conditions: initial vanadium concentration of 3 g/L, biochar dosage of 3 g, reaction temperature of 90 ℃, reaction time of 60 min, H2SO4 concentration of 20 g/L and stirring rate of 500 r/min. During the reduction process, no impurities are introduced. Thus the technology can be applied to harmless treatment of vanadium and also has a great potential for production of low-valence vanadium compounds.
Simultaneous preparation of calcium titanate from ilmenite by direct reduction and recovery of iron
Li Gang, Kou Jue, Sun Tichang, Li Xiaohui
2021, 42(4): 23-32. doi: 10.7513/j.issn.1004-7638.2021.04.005
Abstract(853) HTML (212) PDF(70)
Abstract:
The paper studied the phase transformation of titanium and the formation mechanism of calcium titanate during the simultaneous preparation of calcium titanate by direct reduction of iron from ilmenite coal-based embedding method, and clarified the influence of additives such as calcium carbonate dosage and roasting temperature on reduced iron and titanium. The influence law and mechanism of calcium acid. The results show that the raw ilmenite pellets containing 60% calcium carbonate are roasted at a constant temperature of 1400 ℃ for 180 min by the coal-based embedding method, which can produce direct reduced iron while simultaneously producing titanium in the form of pure calcium titanate. Under the action of the additive calcium carbonate, when the calcination temperature is >1300 ℃, calcium titanate begins to be produced as the main titanium-containing phase, and the best calcination temperature obtained by the experiment is 1400 ℃. As the amount of calcium carbonate increases, the content of black titanite in the calcined product gradually decreases, and the content of calcium titanate gradually increases. However, the large amount of calcium carbonate causes the reduced iron particles to become finer, which is not conducive to the subsequent grinding and magnetic separation. Under laboratory conditions, the TFe grade of the reduced iron product is 81.86% and the recovery rate is 91.27%. The grade of Ti in the calcium titanate product is 26.95%, the content of calcium titanate is 76.37% and the recovery rate of titanium is 90.15%.
Experimental study on beneficiation of a titaniferous iron ore in Yunnan
Hu Yujie, Ye Guohua, Tang Yue, Tao Yuanyuan
2021, 42(4): 33-38. doi: 10.7513/j.issn.1004-7638.2021.04.006
Abstract(830) HTML (202) PDF(71)
Abstract:
A low-grade ilmenite ore in Yunnan province contains only 5.67% titanium (TiO2), and most of Ti exists in ilmenite alone, occupying 83.56% of the total TiO2 in the ore. The rest of 16.44% Ti exists in magnetite and pyroxene in a homogeneous form, and the vein minerals mainly include quartz and chlorite, etc. The beneficiation test for the ilmenite was carried out to seek a reasonable process flow and provide a theoretical basis for the development of this resource, which can make a sufficient use of titanium ore resources. Firstly, the chemical components and mineral compositions of the ore were identified. Then, the process parameters such as grinding fineness, weak magnetic field strength and strong magnetic field strength were studied. On this basis, the combined process of “grinding-weak magnetic separation-strong magnetic separation-strong magnetic separation-graded shaking table re-election-medium ore regrinding and re-election” was proposed. The titanium concentrate containing 45.06% TiO2 can be finally obtained, with the recovery rate (for the original ore) of 53.73%. The proposed process realizes effective recovery of the target minerals with a well index.
Application of Vanadium and Titanium
Synthesis and properties of Tb modified BiVO4/BiOCl composite photocatalysts
Liu Jingjing, Zhang Zelan, Zhao Wei
2021, 42(4): 39-46. doi: 10.7513/j.issn.1004-7638.2021.04.007
Abstract(644) HTML (247) PDF(32)
Abstract:
BiVO4/BiOCl composite photocatalysts with different contents of Tb were prepared by liquid phase precipitation method, and the catalysts were characterized by XRD and EDS. The photocatalytic performance of the photocatalysts was evaluated by degradation of rhodamine B under irradiation of the simulated sunlight. The effects of Tb content, photocatalytic time, catalyst dosage, rhodamine B concentration on the photodegradation efficiency of the samples were studied by single factor experiments, and the optimal scheme was determined by orthogonal tests. The results show that the pure BiVO4 belongs to monoclinic phase, and the samples with Tb content of 2% and 4% are mixture of monoclinic BiVO4/BiOCl phases. The samples with Tb content of 6%~12% are mixture of monoclinic BiVO4/tetragonal BiVO4/BiOCl phases. It indicates that the introduction of Tb can promote the transformation of BiVO4 from monoclinic phase to tetragonal phase. Compared with that of the pure BiVO4, the photodegradation efficiency of all samples containing Tb is improved greatly, and the optimal molar fraction of Tb is 10%. At the rhodamine B concentration of 5 mg/L, the catalyst dosage of 25 mg, and the photocatalytic time of 2 h, the photodegradation efficiency of the sample with 10% Tb can reach 100%. The improved photocatalytic performance may be attributed to the electron capture effect of Tb and the formation of monoclinic BiVO4/tetragonal BiVO4/BiOCl miscible p-n heterostructures, which effectively improve the separation and transmission of photoinduced carriers and suppress the recombination of electron-hole pairs. It has great potential and application value in the treatment of polluted wastewater.
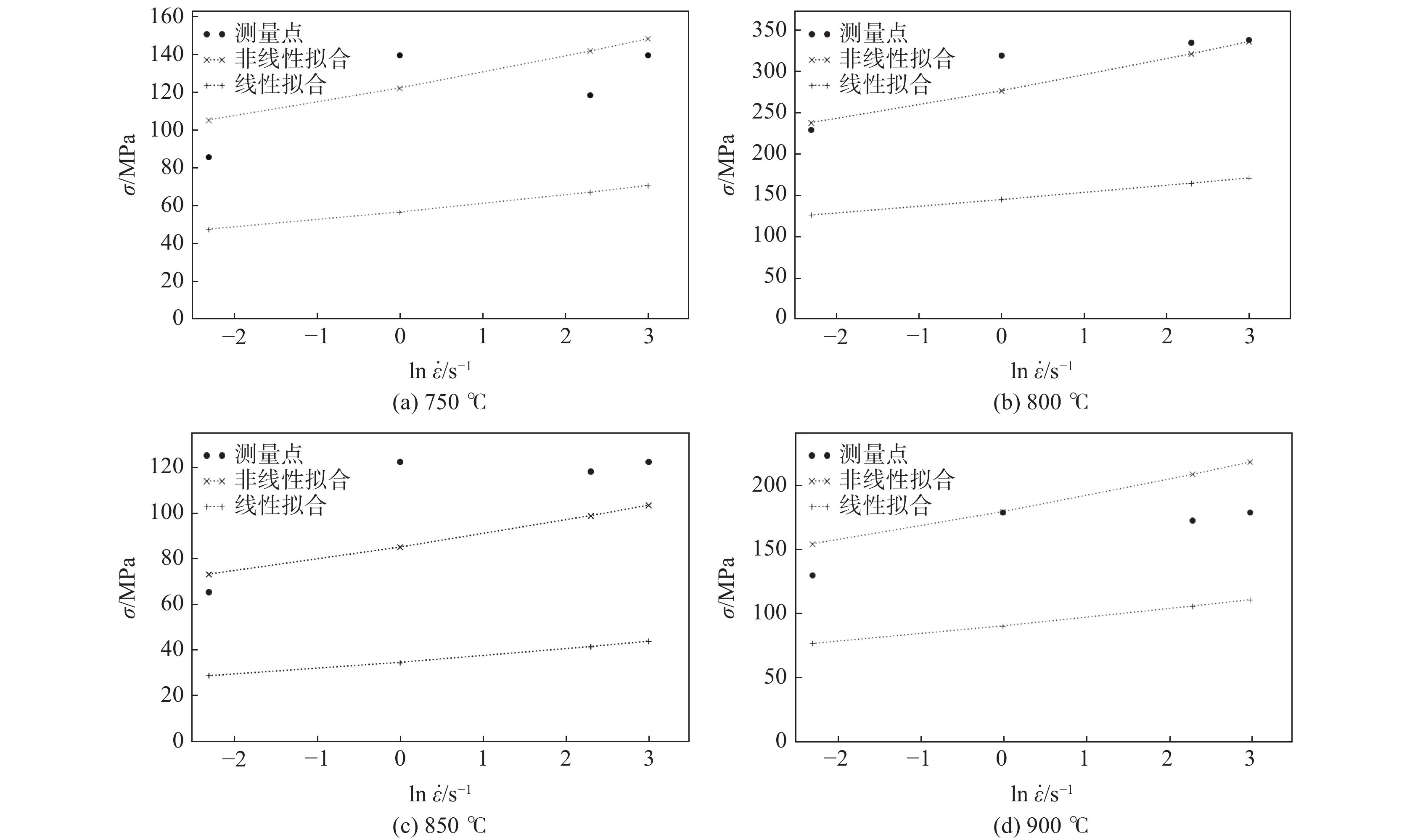
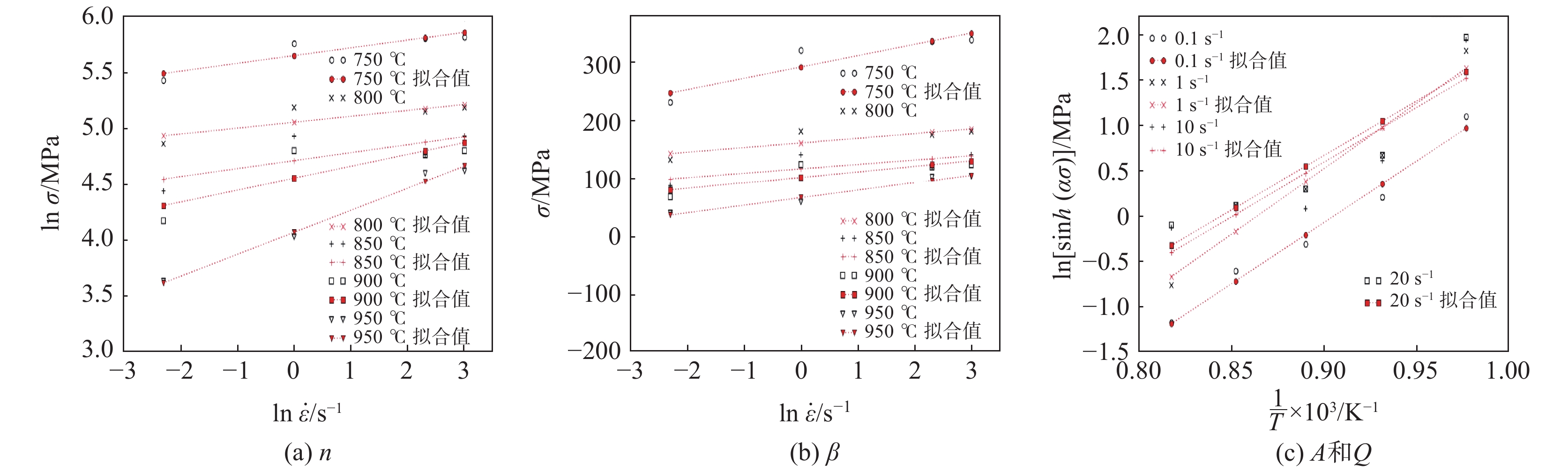
Constitutive model for elevated temperature flow stress of Ti–6Al–4V alloy considering the effect of work softening
Fang Qiang, Wang Yin, Yin Jingjing
2021, 42(4): 47-51, 72. doi: 10.7513/j.issn.1004-7638.2021.04.008
Abstract(1541) HTML (369) PDF(82)
Abstract:
A method for establishing the constitutive model considering the flow softening was proposed. Isothermal uniaxial compression tests were performed on cylindrical specimens of Ti-6Al-4V at 750 ℃ to 950 ℃ and the strain rate of 0.1 s−1to 20 s−1. And the flow softening that the flow stress decreases with the plastic deformation was observed. The steady flow stresses under the severe plastic deformation were obtained by fitting the experimental data via double Voce function. The constitutive equation of the alloy considering the flow softening was acquired using Levenberg-Marquardt non-linear fitting. The parameters of the constitutive equation by Levenberg-Marquardt non-linear fitting have less error than those by the linear least square fitting. The proposed method for obtaining flow stress at high temperatures is able to avoid the influence of stress fluctuation in the early stage of hot deformation, and the high-temperature steady flow stress constitutive model according to the exponential function can be obtained, which will be useful in hot working process development for new metallic materials.
Synthesis of defective titanium dioxide nanomaterial in nitric acid system and its application in photocatalysis
Liu Jin, Wang Li, Zhou Hua, Zhao Hui
2021, 42(4): 52-56. doi: 10.7513/j.issn.1004-7638.2021.04.009
Abstract(1081) HTML (193) PDF(52)
Abstract:
TiO2 nanomaterial was prepared by sol-gel method using nitric acid as the control agent. The obtained TiO2 nanomaterial is anatase and has defect structure, with the particle size below 5 nm. During the preparation of the material, the crystal growth complies the oriented attachment (OA) mechanism. The anatase TiO2 material was applied to the photocatalytic degradation of methylene blue, and 95% of the catalytic degradation efficiency can be achieved, showing good photocatalytic performance. It provides a simple technical path for preparation of TiO2 nano photocatalytic materials.
Effect of Na3PO4·12H2O on foam glass-ceramics prepared from high titanium blast furnace slag
Wang Haibo, Sun Qingzhu, Zhang Xuefeng, Wang Benju
2021, 42(4): 57-61. doi: 10.7513/j.issn.1004-7638.2021.04.010
Abstract(559) HTML (135) PDF(38)
Abstract:
Foam glass-ceramics was prepared by one step sintering method at 900 ℃, using high titanium blast furnace slag and waste glass powder as the main raw materials, with calcium carbonate and borax as the foaming agent and fluxing agent, respectively. The effects of Na3PO4·12H2O on the foam glass-ceramics were investigated by DSC, XRD and SEM. The results show that the main phase compositions of the glass-ceramics, which include diopside Ca(Mg, Al)(Si, Al)2O6, iron-rich common pyroxene Ca(Mg, Fe)(Si, Fe)2O6 and common pyroxene CaMgSi2O6, change scarcely with the variation of Na3PO4·12H2O addition (0% to 10%, mass fraction). As the content of Na3PO4·12H2O increases, the compressive strength and thermal conductivity of the foam glass-ceramics decrease, while the bulk density and water absorption decrease first and then increase. At the Na3PO4·12H2O content of 6%, the foam glass-ceramics has the best comprehensive performances.
Effect of annealing temperature on microstructure and properties of Ti-0.3Mo-0.8Ni titanium alloy sheet
Chen Rong
2021, 42(4): 62-67. doi: 10.7513/j.issn.1004-7638.2021.04.011
Abstract(1073) HTML (165) PDF(43)
Abstract:
The effect of annealing temperature on microstructure and properties of 6 mm Ti-0.3Mo-0.8Ni titanium sheet was studied. The results show that at 600~700 ℃, the recrystallization of α phase occurs and chain-like Ti2Ni particles are formed along the grain boundary, accompanying a decrease in the yield strength and tensile strength, with the elongation increasing first and then decreasing. A maximum 22.5% of the elongation can be obtained at 650 ℃, and the mechanical properties decrease significantly with the increase in amount of the particles. At 750~850 ℃, α phase transforms from partial recrystallization structure to complete recrystallization structure, and the β phase changes from long strip to block structure, with the yield strength, tensile strength and elongation after fracture decreased gradually. And the worst mechanical properties far below the standard are obtained at 850 ℃. The annealing temperature suitable for 6 mm Ti-0.3Mo-0.8Ni titanium sheet was determined at 600~650 ℃.
Effect of vanadium microalloying on properties of steel for automobile parts
Ma Lige, Li Xiansheng
2021, 42(4): 68-72. doi: 10.7513/j.issn.1004-7638.2021.04.012
Abstract(768) HTML (264) PDF(46)
Abstract:
Vanadium microalloyed steel 42CrMoVx (x=0, 0.1, 0.3, 0.5, 0.7, 0.9) for automobile parts was prepared. The effects of vanadium microalloying on tensile strength, wear resistance and corrosion resistance of the steel were analyzed. The results show that the tensile strength, wear resistance and corrosion resistance of 42CrMo steel for automobile parts are improved obviously by vanadium microalloying. With the increase of vanadium content, the tensile strength, wear resistance and corrosion resistance of the steel increase first and then decrease. Compared with 42CrMo without vanadium, the tensile strength, yield strength and elongation after fracture of 42CrMoV0.5 steel increase by 66 MPa, 67 MPa and 3.5% respectively, while the wear volume and corrosion current of 42CrMoV0.5 steel separately decrease by 18×10−3 mm3 and 0.771 mA/cm2, with the corrosion potential positively shifted by 88 mV. The vanadium content in 42CrMoV steel used for auto parts is preferred to be 0.5%.
Resources Environment and Energy Saving
Effect of SO2 on adsorption of NO from sintering flue gas by modified activated carbon
Cai Jianyu, Peng Zhaofeng, Song Liyun, Hou Huanyu, Li Jian
2021, 42(4): 73-78. doi: 10.7513/j.issn.1004-7638.2021.04.013
Abstract(794) HTML (385) PDF(51)
Abstract:
In order to reduce NOx emission and alleviate the environmental pollution from steel industry, a modified activated carbon adsorbent was prepared by impregnation with potassium carbonate (K2CO3). The effect of SO2 concentration on the adsorption of NO in sintering flue gas by the modified activated carbon and the cyclic adsorption and desorption performance of the modified activated carbon were investigated. The results show that SO2 can improve the initial adsorption rate of NO but significantly reduce the saturated adsorption capacity of the modified activated carbon. SO2 occupies the active sites of the carbon by chemical adsorption, and the sulfites and sulfates formed are difficult to be desorbed by heating, resulting in difficulty of recovering the initial adsorption capacity of the modified activated carbon. Under the influence of SO2, the attenuation rate of the adsorption capacity of the modified activated carbon is about 1.414 17 mg/g. According to the attenuation rate and the moving bed adsorption device, appropriate input parameters of the fresh activated carbon can be adopted to guide the application of the modified activated carbon for removal of NO in the sintering flue gas, which can effectively reduce the environmental pollution and realize effficient utilization of resources.
High-titanium heavy slag concrete with electric furnace steel slag powder as admixture
Wang Wei, Wang Jie, Liang Yuehua
2021, 42(4): 79-84. doi: 10.7513/j.issn.1004-7638.2021.04.014
Abstract(828) HTML (236) PDF(36)
Abstract:
The feasibility and economic benefits for Panzhihua electric furnace steel slag powder which partially or wholly replaces the fly ash as the admixture of concrete were analyzed and studied. The high-titanium heavy slag concrete having the strength grade of C30 and C40 was prepared with electric furnace steel slag powder which has 50%, 75%, and 100% of replacement rate for the fly ash, respectively. The working properties, 28 d and 192 d compressive strength of the concrete with electric furnace steel slag powder were tested and compared with those of the concrete with fly ash as the only admixture. The results show that the steel slag powder meets the relevant index requirements for concrete admixtures and can be used as the admixture of high-titanium heavy slag concrete with good economic benefits. The high-titanium heavy slag concrete with C30 strength, designed with different ratios of the electric furnace steel slag powder, has well working properties and strength surplus values, with the best properties at 50% of substitution rate. When the cement strength grade is decreased under the original mix ratio, the 28 d actual measured strength of the high-titanium heavy slag concrete with different substitution rates and design strengths is slightly lower than the design value, but the latter strength increases significantly. The 192 d strength of the high-titanium heavy slag concrete, with a design strength of C30 at a replacement rate of 50%, exceeds 39 MPa with good working performance, which can be used in non-structural parts or structures that do not require high previous strength.
Recirculating process of pellet exhaust gas from grate-kiln and numerical simulation
He Luyao, Wang Xin, Hu Bing, Gan Min, Zhu Liang, Wei Jinchao, Dai Youxun
2021, 42(4): 85-91. doi: 10.7513/j.issn.1004-7638.2021.04.015
Abstract(833) HTML (290) PDF(66)
Abstract:
Aiming at the problems of large exhaust gas discharge and low waste heat utilization rate of the grate-kiln ring cooler, a waste gas cycle technology that recycles the hot waste gas from the transitional preheating section to the second section of the circular cooling machine, was proposed. Then the pellet cooling process after using the waste gas cycle was simulated and studied. Based on the theory of computational fluid dynamics and combined with the local non-thermodynamic equilibrium theory and the magnetite oxidation reaction model, a numerical simulation model was established by CFD software to reveal the influence of exhaust gas cycle on pellet cooling. The results show that the exhaust gas temperature of the second cooling stage increases from 511 ℃ to 523 ℃ after adapting the flue gas circulation system, improving the heat utilization efficiency. The exhaust gas emission can be reduced by 11.5%, and the energy occupying 3.45% of the total heat expenditure for pellet production can be recovered. This study provides a new direction for further energy saving and emission reduction in pellet production, which is of great significance for pellet cleaner production.
Preparation of geopolymer for building by mechanical activation process
Zheng Weifang, Mu Yongpan
2021, 42(4): 92-96, 110. doi: 10.7513/j.issn.1004-7638.2021.04.016
Abstract(531) HTML (171) PDF(14)
Abstract:
Using vanadium-titanium magnetite tailings for preparation of geopolymer can not only reduce pollution of the tailings, but also realize the efficient utilization of the tailings. The geopolymer was prepared from vanadium-titanium magnetite tailings in Chengde by mechanical activation process. The effect of activation time on the particle size and microstructure of the tailings and the compressive strength of the geopolymer products were investigated. The results show that prolonging the activation time can reduce the particle size and destroy the crystal structure of the tailings, which can increase the leaching concentration of active silicon and aluminum in the tailings and improve the compressive strength of the geopolymer. At the activation time of 3 h, mass ratio of tailings to kaolin of 6∶4, Ca(OH)2 and Na2SiO3 addition respectively of 10%, ratio of mortar to sand of 1∶1.5 and liquid-solid ratio of 0.20, the geopolymer with the 28-day compressive strength up to 50 MPa can be obtained. The leaching concentration of heavy metal ions in the sample meets the national standard. The amorphous aluminosilicate gel phase is tightly bonded with a small amount of zeolites, endowing the products with a high compressive strength.
Ferrous Metallurgy and Materials
Simulation on particle movement and pulverized coal jet combustion of titano-magnetite pellets during the reduction with coal in rotary kiln
Liu Peng, Yu Wenchao, Gong Siyu, Liu Bingguo, Zhang Libo, Peng Jinhui
2021, 42(4): 97-104. doi: 10.7513/j.issn.1004-7638.2021.04.017
Abstract(766) HTML (298) PDF(41)
Abstract:
In this paper, the numerical simulation of on particle movement and pulverized coal injection combustion duringin the coal coal-based reduction of titano-magnetite pellets in rotary kiln was carried out. The results show that there were delamination phenomenon and discrete pile phenomenon in the movement process of three kinds of particles in rotary kiln. The discrete particle piles led to the axial periodic fluctuation distribution of particle number. Combined with the change of reaction enthalpy, the average fluctuation energy in a single period was deduced as $\tilde {{E}}$ = 25.58 MJ; in the process of pulverized coal injection combustion, the fuel jet would form a rebound effect under the action of gravity, and the length of the action zone was about 2 m. The mass and heat transfer process in this zone was strengthened, and the local overheating phenomenon was readily to occur. The energy fluctuation and local overheating could be reduced by the way of attaching carbon with coal powder on the surface of ore pellets and mixing carbon with external coal pellets. The amount of carbon distribution by adhering to ore particles is about 18.9 g/kg.
Research on microwave enhanced direct reduction of vanadium titano-magnetite
Zhao Tao, Yu Shaowu, Wen Jing, Zou Zhixue, Li Lin, Jiang Tao
2021, 42(4): 105-110. doi: 10.7513/j.issn.1004-7638.2021.04.018
Abstract(981) HTML (277) PDF(90)
Abstract:
In this paper, the vanadium titano-magnetite concentrate was used as the raw material, and the influence of different heating methods on the reduction process was systematically compared based on the direct reduction process. The results show that compared with traditional heating, microwave heating can accelerate the reduction reaction of vanadium titano-magnetite, and the effect is more significant with the increase of temperature. At 1 350 ℃, the metallization rate of iron can reach 91.91%, increased by 5.32%. Microwave heating does not change the phase composition of the reduction product, but make the reduction product structure compact, less pores, coarse grains and uniform distribution. In addition, microwave heating can obviously remove the P element in the reduction product, but the removal effect of the S element is not significant. When heating temperature is 1350℃, P and S contents in resulted product for tranditional process are 0.077% and 0.29%, respectively, while for microwave process those values are 0.038% and 0.28%, respectively.
Influence of calcium ferrite characteristics on metallurgical properties of high basicity sinter
Hao Ruicong, Liu Lei, Han Xiuli, Wang Yifei, Zhang Ce, Wang Lihao
2021, 42(4): 111-116. doi: 10.7513/j.issn.1004-7638.2021.04.019
Abstract(695) HTML (199) PDF(30)
Abstract:
The content, morphology and grain size of calcium ferrite, and the main binding mineral as well in sinter, play a key role in the quality of sinter. The mineral phase structure and calcium ferrite characteristics of high basicity sinter with different quality situation were studied systematically and quantitatively by using polarized light microscope. The results show that hematite and magnetite are the main metal phases of No.1 and No.2 sinter. The bonding phases are calcium ferrite, dicalcium silicate and vitreous. The difference is that the No.1sinter is mainly composed of interlacing corrosion structure formed by acicular calcium ferrite and magnetite. The No.2 sinter is dominated by granular structure formed by the mutual combination of allochthonous magnetite and binding mineral. The volume percentage of calcium ferrite in No.1 sinter is about 50%, and its shape is mostly needle shaped. The size range of diameter is 0.05~0.10mm. The corresponding sinter reducibility (75%), low temperature reduction degradation rate (76.5%) and drum strength (81.6%) show high values. The volume fraction of calcium ferrite in the No.2 sinter is about 45%, and its shape is mostly plate and column. The size range of its diameter is 0.05~0.10mm. The corresponding sinter reducibility (59.35%) is weak, the low temperature reduction degradation rate (25.21%) is low, and the drum strength (63.37%) is small.
Study on numerical simulation for flow field optimization in argon blowing VD ladle
Liu Chonglin, Song Sicheng, Sun Yanhui, An Hanghang, Zhou Lvmin, Liang Longqing, Long Lian
2021, 42(4): 117-123. doi: 10.7513/j.issn.1004-7638.2021.04.020
Abstract(726) HTML (258) PDF(51)
Abstract:
Taking a steel plant VD ladle furnace as research object and using commercial software ANSYS-Fluent, a 150 t ladle bottom-blown argon gas model was established to simulate different molten steel volumes and two argon-blowing ports with different argon-blowing volume. The flow field and velocity were changed, and the flow of molten steel in ladle furnace after standing for 10 minutes was also considered. All tests monitored the speed of same position at lower part of ladle, and selected the optimal production plan through the orthogonal design method. The results show that variation of molten steel volume and bottom-blown argon flow in ladle within a small range have little effect on flow field and flow velocity of molten steel in ladle. And the influence of steel and argon blowing volume on the internal flow field after standing for 10 minutes is negligible. Excessive argon blowing will result in a larger slag hole opening, which will cause slag entrapment and gas suction. If the blowing amount is too small, lower flow rate of molten steel will result in a longer time for the formation of a stable circulating flow field. Finally, through comparative analysis, it is concluded that when the height of molten steel is 3 590 mm and the flow rate of No. 1 and No. 2 argon ports are both 0.9 m3/h, the comprehensive flow effect in ladle furnace is better, which reduces contamination degree of molten steel and improves production efficiency.
Effect of fluxing agent on the properties of CaO-Al2O3 based mold flux
Li Chen, Qi Jie, Liu Chengjun, Jiang Maofa
2021, 42(4): 124-130. doi: 10.7513/j.issn.1004-7638.2021.04.021
Abstract(559) HTML (167) PDF(24)
Abstract:
In order to address the problems of serious slag strips and breakout alarms in the process of high-aluminum steel continuous casting using calcium-aluminum-based mold flux, the comprehensive effect of B2O3 and CaF2 on the melting temperature, viscosity and crystalline properties were investigated. The results showed that as the mass fraction of CaF2 replaced by B2O3 increased, the melting temperature and breaking temperature of the mold flux decreased, and the viscosity showed an increasing trend. Moreover, the mold flux had stronger crystallization ability with high content of CaF2, leading to the precipitation of Ca12Al14O32F2 at a high temperature. As the mass fraction of CaF2 replaced by B2O3 increases, the crystallization ability had been obviously inhibited, and the crystalline phases changes as follows: Ca12Al14O32F2 → 2CaO·Al2O3·SiO2 → a single liquid phase.When B2O3 replaces CaF2 with a mass fraction of 10%, the crystallization performance of the mold flux was effectively suppressed, which could effectively reduce the sticking breakout alarm and meet the casting requirements of high-aluminum steel.
Study on as-cast microstructure and homogenization of wrought superalloy GH4065A
Shui Lang
2021, 42(4): 131-137. doi: 10.7513/j.issn.1004-7638.2021.04.022
Abstract(783) HTML (322) PDF(46)
Abstract:
The as-cast microstructure of the samples from multiple locations of an ESR ingot of superalloy GH4065A had been characterised by SEM and DSC, and then evolution of microstructure and residual segregation index of the samples treated under a variety of designed homogenization schemes had been investigated. The results show that γ-γ’ eutectic phase, borides and TiN are the major precipitated phases in the as-cast microstructure of GH4065A. Ti, Nb, Mo and W are the major segregated elements. After homogenization at 1 160 ℃ for 10 h, the precipitated phases mostly dissolves and residual segregation index of Ti, Nb, Mo reduces down to about 0.2, and index of W down to 0.4, which demonstrates homogenization at 1 160 ℃ for 10 h is reasonable treatment condition. Due to the large scale of ingots in industrial production, it is acceptable to immerse the ingot in the furnace of 1 160 ℃ for 20 h to achieve homogenization.
Effect of Cr on the properties of 460 MPa anti-seismic and fire-resistant construction steel
Du Ping, Wu Fengjuan, Qu Jinbo, Cong Jinghua, Wang Xuemin
2021, 42(4): 138-143. doi: 10.7513/j.issn.1004-7638.2021.04.023
Abstract(917) HTML (193) PDF(23)
Abstract:
The anti-seismic and fire-resistant 460 MPa construction steels with different Cr content were designed to analyze the microstructure, performance at room temperature and elevated temperature. Both 0.4%Cr and 0.8%Cr steels meet the standards of anti-seismic and fire-resistant steel, that is, yield ratio is less than 0.83 and yield strength is more than 307 MPa after 3 hours soaking at 600 ℃. The precipitations were simulated and analyzed by simulation software and using OM and TEM. It is concluded that increasing Cr content has an effect on improving of yield stress at room temperature and the reduction of yield strength ratio. With the increase of Cr content, high elevated temperature instability precipitations and the content of Mo in the precipitations can be decreased and Mo in the matrix can be raised. It has a positive effect on enhanced high elevated temperature solution strengthening and fire-resistance of construction steel because of Mo solid solutions.
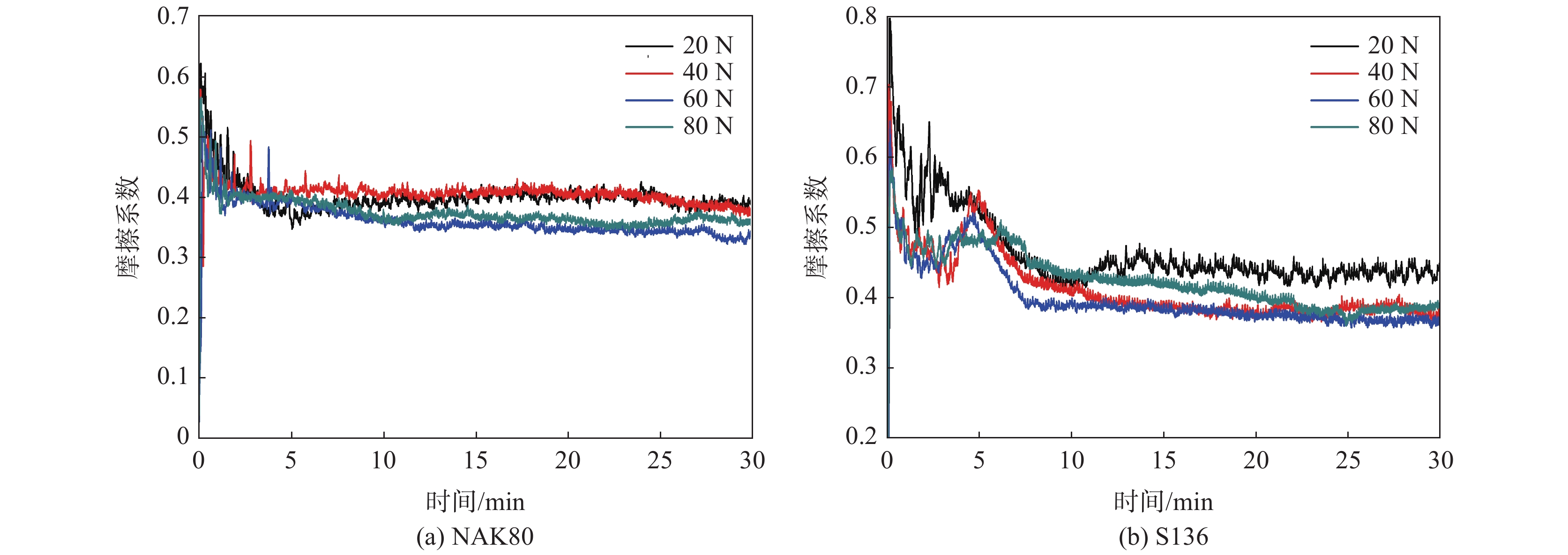
Comparative study on wear resistance of plastic die steels NAK80 and S136
Xie Yi, Xian Yong
2021, 42(4): 144-148. doi: 10.7513/j.issn.1004-7638.2021.04.024
Abstract(1334) HTML (301) PDF(58)
Abstract:
The microhardness, microstructure, friction and wear behavior of pre-hardened plastic die steels NAK80 and S136 were studied. The results show that the microstructure of NAK80 steel consists of lath martensite and granular bainite, while that of S136 steel are ferrite matrix and fine carbides, and the microhardness is 405.01 ± 63 HV and 354.21 HV ± 6.14 HV respectively. The friction coefficients of NAK80 and S136 steel decrease with the increase of load. At 60N, the friction coefficients of NAK80 and S136 steel reach their lowest values (0.34 and 0.37). However, when the load increases to 80 N, the friction coefficient increases. Overall, the friction coefficient of S136 is higher than that of NAK80. The wear behavior of NAK80 has high load sensitivity under different load conditions while S136 has more stable wear resistance. At low load, abrasive wear and delamination wear are dominant, and the wear resistance of NAK80 is better than that of S136. At high load, adhesive wear and abrasive wear are dominant, and the wear resistance of S136 steel is better than that of NAK80.
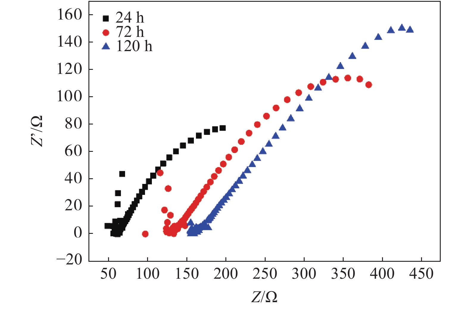
Corrosion behavior of high strength weathering steel for concrete pole
Huang Yao, Zhu Binrong, Li Feng, Li Xingeng, Yan Fengjie
2021, 42(4): 149-155. doi: 10.7513/j.issn.1004-7638.2021.04.025
Abstract(580) HTML (203) PDF(25)
Abstract:
The corrosion behavior of two weathering steels, AYNH 420 and SQNH 420, was studied by using indoor accelerated corrosion tests, XRD analysis, and electrochemical methods. Weightlessness test was used to determine the corrosion rate of the two steels, and the corrosion kinetics of tow steels was studied. The micromorphology and structure of the corrosion products were characterized. Moreover, the corrosion mechanism of tested steels was studied by potentiodynamic polarization and AC impedance spectroscopy. The results indicate that under the same conditions, the corrosion rate of SQNH 420 is lower than that of AYNH 420. The compositions of corrosion products were Fe3O4, α-FeOOH, β-FeOOH and γ-FeOOH, etc. There are two layers in corrosion products, and the inner layer with good adhesion and compact structure plays a protective role. In addition, as the corrosion time increases, the corrosion products increase, and the corrosion tendency of two steels decreases, and the electrode reaction changes from electrode control to diffusion control.
Effect of Ti on microstructure and magnetic properties of non-oriented electrical steel
Li Jingcai, Xin Yan
2021, 42(4): 156-161. doi: 10.7513/j.issn.1004-7638.2021.04.026
Abstract(616) HTML (165) PDF(38)
Abstract:
In this paper, the effect of titanium content on the microstructure and properties of non oriented electrical steel with different titanium content was studied by means of annealing furnace, transmission electron microscope, metallographic observation and magnetic property test. The results showed that the grain size of electrical steel decreased with the increase of titanium content. When the content of titanium was less than 0.015%, the grain was equiaxed with a higher uniformity. The titanium precipitated in the form of carbonitride and was pinned at the grain boundary of the structure. With the increase of Ti content to more than 0.015%, the grains in the microstructure were obviously deformed, and Ti precipitated out of the grain boundary and in the grain boundary by Fe-Ti phosphide. The magnetic induction and iron loss of electrical steel could be slightly improved by adding a small amount of titanium ( ≤ 0.015%). The iron loss W15 / 50 was about 4.6~5.2 W/kg, and the magnetic induction B50 was about 1.74~1.76 T. However, excessive addition of titanium should be strictly avoided.
Effect of warm rolling process on iron loss of Fe-6.5%Si electrical steel composite
Ji Shuai, Liu Zhongjun
2021, 42(4): 162-168. doi: 10.7513/j.issn.1004-7638.2021.04.027
Abstract(731) HTML (224) PDF(21)
Abstract:
Trilaminar composite of Fe-6.5%Si alloy with 1.2 mm thickness and produced by coated casting combined with thermomechanical process had been rolled in temperature of 450~650℃. Microstructure of the composite plate after warm rolling had been observed, in the same time, its iron loss had been tested. And then, the composite plate had been carried out on diffusion annealing process where it was reheated up to 1150℃ and hold for 30 min. Iron loss of the composite after diffusion annealing had been investigated. Results showed that the 6.5% high silicon electrical steel cladding plate could be rolled down to 0.37 mm by warm rolling deformation when it was heated at 450~650℃. Warm rolling process has a great influence on the iron loss of the composite plate, and the influence is more obvious in strong magnetic field environment. Diffusion annealing process of 1150℃ for 30 min can significantly reduce iron loss of the warm rolled composite plate, and the maximum reduction is 98.9%. This research is helpful to improve the magnetic properties of three-layer 6.5% high silicon electrical steel composite plates.
Study on high temperature oxidation behavior of weathering steel Q235NH
Gong Li, Bao Siqian, Zhao Gang, Mei Peng, Cao Shuwei, Deng Hangzhou, Chen Quan
2021, 42(4): 169-174. doi: 10.7513/j.issn.1004-7638.2021.04.028
Abstract(632) HTML (157) PDF(30)
Abstract:
To clarify the high temperature oxidation behavior of weathering steel Q235NH containing Si and Cr, the oxidation experiment of weathering steel Q235NH was carried out at 700 ~ 1 200 ℃. The composition of iron oxide scale was analyzed by optical microscope (OM),scanning electron microscope (SEM), energy dispersive spectrometer (EDS) and X-ray diffraction (XRD). The evolution process of oxidation structure was analyzed by investigating oxidation kinetics curve. The results show that the iron oxide scale formation of Q235NH steel complies with the parabolic law, and its activation energy is 146 kJ/mol. The iron oxide scale structure consists of thin Fe2O3 and Fe3O4 layers in the outermost layer and thick FeO and massive proeutectoid Fe3O4 layers in the middle layer. In addition, when the heating temperature is lower than 1 100 ℃, a thin continuous silicon chromium rich layer will be formed between the scale and the substrate, which will hinder the outward diffusion of iron ions, making the oxidation more difficult. However, when the heating temperature is greater than 1100 ℃, the silicon chromium layer will be destroyed, which will promote the oxidation.
Effect of ESR on oxygen content and inclusions in GCr15 bearing steel
Chang Kaihua, Xu Tao, Zhu Chunli, Zhang Longfei, Su Yunlong, Shi Xiaofang, Chang Lizhong
2021, 42(4): 175-181. doi: 10.7513/j.issn.1004-7638.2021.04.029
Abstract(988) HTML (267) PDF(119)
Abstract:
Electroslag remelting has a positive effect on improving the purity of steel, but it will increase oxygen for low oxygen content steel. In this paper, GCr15 bearing steel was used as consumable electrode to study the variation of oxygen content and inclusions in bearing steel with different slag systems under atmospheric environment and Ar protection. It is found out that the oxygen content in ESR ingot decreases with the decrease of the alumina content in the slag system when the CaF2-Al2O3-CaO ternary slag system is used for ESR of GCr15 bearing steel under the protection of argon, while the oxygen content in ESR ingot remelted with the slag system without Al2O3 is the lowest. The diameter of inclusions in ESR ingot remelted under the protection of argon is smaller than that of steel remelted with the same slag system in air. The increase of oxygen content is mainly due to the high temperature of slag pool during ESR, which leads to the poor stability of Al2O3 in slag.
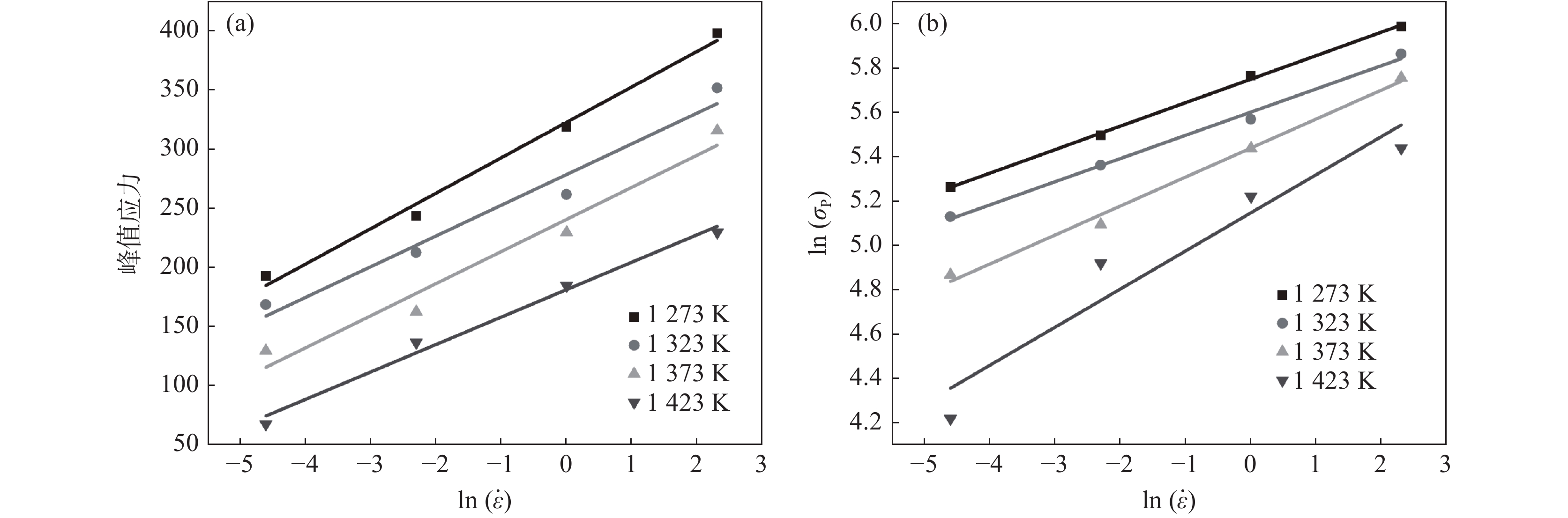
Study on the hot deformation characteristics of M35 high speed steel by electron beam smelting
Wu Minghui, Wang Yinong, Wang Yilin, Tan Yi
2021, 42(4): 182-190. doi: 10.7513/j.issn.1004-7638.2021.04.030
Abstract(926) HTML (284) PDF(46)
Abstract:
A Gleeble-3500 thermal simulation testing machine was used to conduct thermal compression experiments on electron beam melting M35 high speed steel. The hot deformation behavior under the conditions of deformation temperature of 1 273~1 423 K and strain rate of 0.01~10 s−1 was established. The evolution law of its carbide structure was studied, the thermal deformation constitutive equation of electron beam melting M35 high-speed steel, and the use of dynamic material model (DMM) to establish the electron beam melting M35 high speed steel hot processing map. At the same time, it is compared and analyzed with the hot deformation behavior of normal melting M35 high speed steel, The results show that the true stress-strain curve of electron beam melting M35 high speed steel conforms to the characteristics of dynamic recrystallization curve, the curve appears jagged at high strain rates, and the stress increases with the increase of strain rate and decrease of temperature. The deformation behavior in the hot deformation process can be characterized by a hyperbolic sine function, and its average activation energy is 504.642 kJ/mol. Through the hot processing map, the hot deformation instability area of M35 high-speed steel is intuitively displayed, and the best deformation conditions for hot working are obtained as follows: the deformation temperature is 1 400~1 423 K, and the strain rate is 0.01~1 s−1 .