2023 Vol. 44, No. 2

Separating and Extracting of Vanadium and Titanium
Research progress on the enhancement and activation of extracting vanadium by direct acid leaching from shale vanadium ore
Zhang Yun, Ye Guohua, Liang Xueyin, Xiang Xinyue, Rong Yiyang, Song Changxu
2023, 44(2): 1-8. doi: 10.7513/j.issn.1004-7638.2023.02.001
Abstract(1808) HTML (216) PDF(54)
Abstract:
The research progress in the field of the enhancement and activation of extracting vanadium by direct acid leaching from shale vanadium ore in China in recent years was reviewed. The results show that aid-leaching agents can enhance the destruction of the lattice structure of vanadium shale ore. Among them, fluorine-containing leaching agent has been widely used in industry due to its good leaching effect and low cost. But the large use of fluoride increase the difficulty of wastewater treatment, and the oxidant oxidizes insoluble low-valent vanadium to soluble high-valence vanadium, which is generally used with fluorine-containing leaching agent. Mixed acid leaching uses a certain proportion of fluoric-containing acid and sulfuric acid to achieve the purpose of enhancement and activation, and provides a new idea for leaching vanadium from shale vanadium ore. Pressure leaching can enhance the leaching effect of vanadium, but it has strict requirements for equipment and is still in the experimental research stage. As new leaching technologies, microwave-assisted leaching, ultrasound-assisted leaching and microbial leaching have certain limitations in the development level of technology and equipment. In the future, the research and development of green and efficient aid-leaching agents will still be the main direction, and at the same time, the basic theories of new enhancement and activation leaching technologies should be deepened, so as to provide theoretical support for the innovation of subsequent technology and equipment and future industrial application.
Research status of preparation of vanadium pentoxide from vanadium containing solution
Wu Zhenxiu
2023, 44(2): 9-19. doi: 10.7513/j.issn.1004-7638.2023.02.002
Abstract(965) HTML (261) PDF(133)
Abstract:
The vanadium containing solution is mainly used to obtain vanadium compound and then calcined to prepare vanadium pentoxide, by means of ammonium salt precipitation, hydrolytic precipitation, melamine precipitation, reduction precipitation and other methods. In this paper, the research status, advantages and disadvantages of vanadium precipitation methods were summarized, including weak acidic ammonium salt precipitation, acidic ammonium salt precipitation, hydrolysis, melamine sink and reduction technology. Meanwhile, the pH range, ammonium salt consumption, V2O5 purity and research hotspot in the precipitation process were comprehensively discussed. In the future, the industrialization of vanadium precipitation process will inevitably develop towards diversification and integration, according to the characteristics of raw materials, the requirements of terminal products, economic cost and environmental protection. The future research topic of the vanadium pentoxide preparation from vanadium solution in the laboratory may mainly focus on the impurities removal, the precipitation mechanism using high concentrated vanadium solution, and the development of new technology.
Numerical simulation of the temperature field in titanium sponge reactor during magnesium thermal production process
Li Jifan, Sheng Zhuo, Li Kaihua, Sun Haoshan, Zhang Xiaohui, Li Dongqin, Li Liang, Zhou Jie, Chen Xiumin
2023, 44(2): 20-27. doi: 10.7513/j.issn.1004-7638.2023.02.003
Abstract(500) HTML (122) PDF(38)
Abstract:
Based on the size of 7.5 t “I” type furnace, the physical model of titanium sponge reactor was established to simulate the temperature field. Under the center feeding condition of TiCl4, it is found that the temperature gradient is formed both horizontally and vertically from the inside-out of the reactor. The temperature gradually decreases from the center to the wall, and the temperature of upper Ar zone is obviously lower than the melt temperature in the reaction zone. With the increasing feed rate and time of TiCl4, the maximum and average temperature of the reaction zone increase. As to 7.5 t “I” type furnace, when the feed rate is lower than 280 kg/h, heat generation is lower than heat dissipation in the air-cooling zone, hence reactor need be heated by electric furnace. When the feed rate goes from 200 kg/h to 400 kg/h, the maximum temperature in reaction zone increases from 986.5 ℃ to 1167.4 ℃ in 3 hours. When the reactor wall temperature decreases from 820 ℃ to 750 ℃, the temperature of reaction center decreases about 18 ℃, which means that enlarging the temperature gradient between the wall and the reaction center is conducive to promoting the heat dissipation of the melt in the furnace. By establishing reasonable wall temperature control, feeding and discharging system, hard core can be avoided and product quality can be improved.
Study on preparation of Ti3AlC2 powder using sponge titanium as raw material
Pu Xin, Zhu Xuejun, Deng Jun, Zhang Yi, Yang Tao, Wang Jun
2023, 44(2): 28-33. doi: 10.7513/j.issn.1004-7638.2023.02.004
Abstract(451) HTML (142) PDF(18)
Abstract:
Ti3AlC2 powder was synthesized by the pressureless sintering method with a mixture of the low-value titanium sponge, aluminum and carbon at a mixing ratio of 3∶1.2∶1.8. The sintered products at the holding temperature of 1000 ℃ and 1100 ℃ and the influence of different holding times on the experimental results were discussed. At the same time, the molten salt method was used to explore the influence of doping of NaCl or KCl on the purity of Ti3AlC2 prepared by pressureless sintering method. The experimental results show that the products sintered under the condition with argon gas protection show the best purity at 1100 ℃. In the molten salt process, the products sintered under the condition with salt doped still have the best purity at 1100 ℃, and the purity of the products doped with "NaCl" is higher than that of "KCl". Meanwhile, insufficient holding time would lead to excessive impurities of Ti2AlC phase and TiC phase, while too long holding time would also lead to product decomposition. The final experiment determined that the purity of the product with sponge titanium: aluminum∶carbon∶salt in the molar ratio of 3∶1.2∶1.8∶2.5 was the highest when it was heated to 1100 ℃ and kept for 0.5 h in a tubular furnace with argon protection, which could reaching 90%.
Comparative study on the evolution law of zinc salt and aluminum salt treated titanium dioxide particles during calcination
Liu Chan, Lu Ruifang, Wu Jianchun, Shi Ruicheng
2023, 44(2): 34-39. doi: 10.7513/j.issn.1004-7638.2023.02.005
Abstract(555) HTML (156) PDF(21)
Abstract:
In this paper, the titanium dioxide filter cakes after zinc or aluminum salt treatment from a titanium dioxide factory in Panzhihua were selected as test materials to study the properties of titanium dioxide particles during the calcination process from room temperature to 990 ℃ under the condition of constant heating rate. Firstly, the moisture changes of the samples at different temperatures during calcination were analyzed by moisture analyzer. The results showed that there was basically no structural dehydration above 800 ℃. The morphology and particle size of the particles were further investigated by ZS90 and SEM, which showed that the aggregates with clear boundaries were formed first in the process of dehydration. After complete dehydration, the aggregates gradually disintegrated, and the primary particles gradually grew and the boundaries became clear. When the rutile content reaches more than 98%, the SEM average particle size of TiO2 particles increases with the increase of temperature, and the standard deviation of particle size also increases. The effect of desulfurization on the zeta potential on the surface of TiO2 particles is more obvious than that of dehydration, and the change of rutile content has a significant effect on the change of the zeta potential on the surface of the particles.
Study on desulfurization using ammonium bicarbonate and vanadium extraction by acid leaching from calcified vanadium tailings
Wang Jun, Sun Qiwu, Wang Andong, Wu Yongchuan, Chen Haitao, Zhu Xuejun, Chen Dandan, Mao Xuehua, Zhang Yi, Deng Jun
2023, 44(2): 40-47. doi: 10.7513/j.issn.1004-7638.2023.02.006
Abstract(526) HTML (155) PDF(23)
Abstract:
In view of the current situation that it is difficult to achieve effective utilization of vanadium from calcified vanadium extraction tailings, a process of desulfurization using ammonium bicarbonate followed by acid leaching was proposed. The effects of reaction temperature, adding amount of ammonium bicarbonate and liquid-solid ratio on desulfurization were studied. In the subsequent process of acid leaching, the effects of leaching temperature, pH value and liquid-solid ratio on the vanadium extraction were also studied. The surface response method was used to optimize the conditions and the best reaction parameters was obtained. The results show that the desulfurization rate reaches 94.58% when the reaction temperature is 30 ℃, the ratio of ammonium bicarbonate to the theoretical value of desulfurization is 1.4∶1 and the ratio of liquid to solid (L∶S) is 5∶1. Under the conditions of acid leaching temperature of 30 ℃, liquid-solid ratio (L∶S) of 6∶1 and pH value of 1.0, the vanadium leaching rate of tailing slag is 56.79%. According to the surface response test results, the optimal process parameters were obtained containing leaching pH value of 0.977, leaching temperature of 39.36 ℃ and liquid-solid ratio of 4.455∶1. Under these conditions, the predicted value of vanadium leaching rate is 56.80%, and the confirmatory experiment shows that the leaching rate is 56.77%, which is only 0.03% lower than the former. This process has the advantages of simple operation, high desulfurization rate and good vanadium extraction effect, which is conducive to the effective utilization of calcified vanadium extraction tailings and has a good development prospect.
Application of Vanadium and Titanium
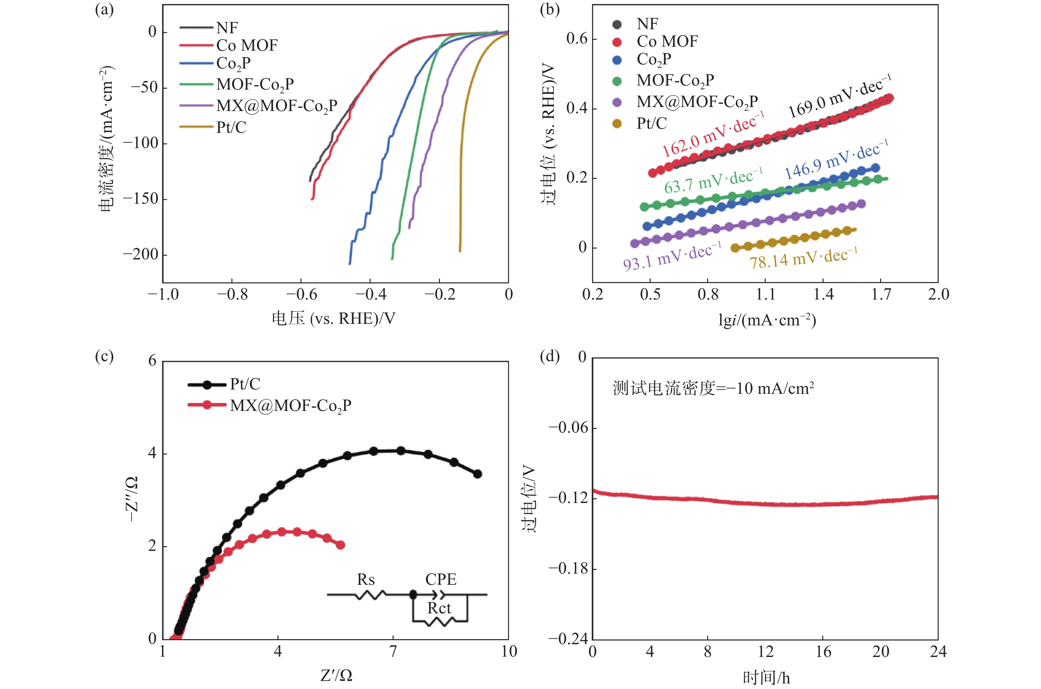
Electrocatalytic hydrogen production performance of MXene/cobalt phosphide composites
Li Jinzhou, Chen Chao, Dang Jie
2023, 44(2): 48-54. doi: 10.7513/j.issn.1004-7638.2023.02.007
Abstract(801) HTML (319) PDF(37)
Abstract:
To address the issues of low electrical conductivity and easy clogging of active sites in conventional electrocatalyst materials, a highly conductive and hydrophilic two-dimensional (2D) titanium vanadium carbide (MXene) is used as the catalyst loading substrate via combining metal organic framework derived cobalt phosphides with high specific surface areas to prepare cathode materials for electrolytic water splitting. The crystal structure, surface morphological characteristics, electronic structure of active sites, and electrochemical properties of the electrode materials are investigated by utilizing the X-ray diffractometer (XRD), X-ray photoelectron spectroscopy (XPS), scanning electron microscopy (SEM), transmission electron microscopy (TEM), density functional theory calculations (DFT), and electrochemical measurements. The results demonstrate that the carbon and nitrogen components of the organic ligands can effectively tune the electronic structure of the active sites and enhance the adsorption-desorption kinetics; the 2D MXene can further reduce the charge transfer resistance of the electrode materials, the as-obtained catalyst only requires 114 mV overpotential to achieve 10 mA/cm2 current density and exhibits outstanding stability. The research provides a reference for the preparation of high performance non-precious metal catalysts for hydrogen evolution reaction.
Preparation of Zr-doped BaTiO3 dielectric ceramics by solution combustion synthesis and its energy storage performance
Yan Meiling, Zuo Chengyang, Li Jiangyan, Cao Zhiqin, Yu Zihan, Zhu Danyu, Pan Xiaoli
2023, 44(2): 55-60. doi: 10.7513/j.issn.1004-7638.2023.02.008
Abstract(447) HTML (188) PDF(22)
Abstract:
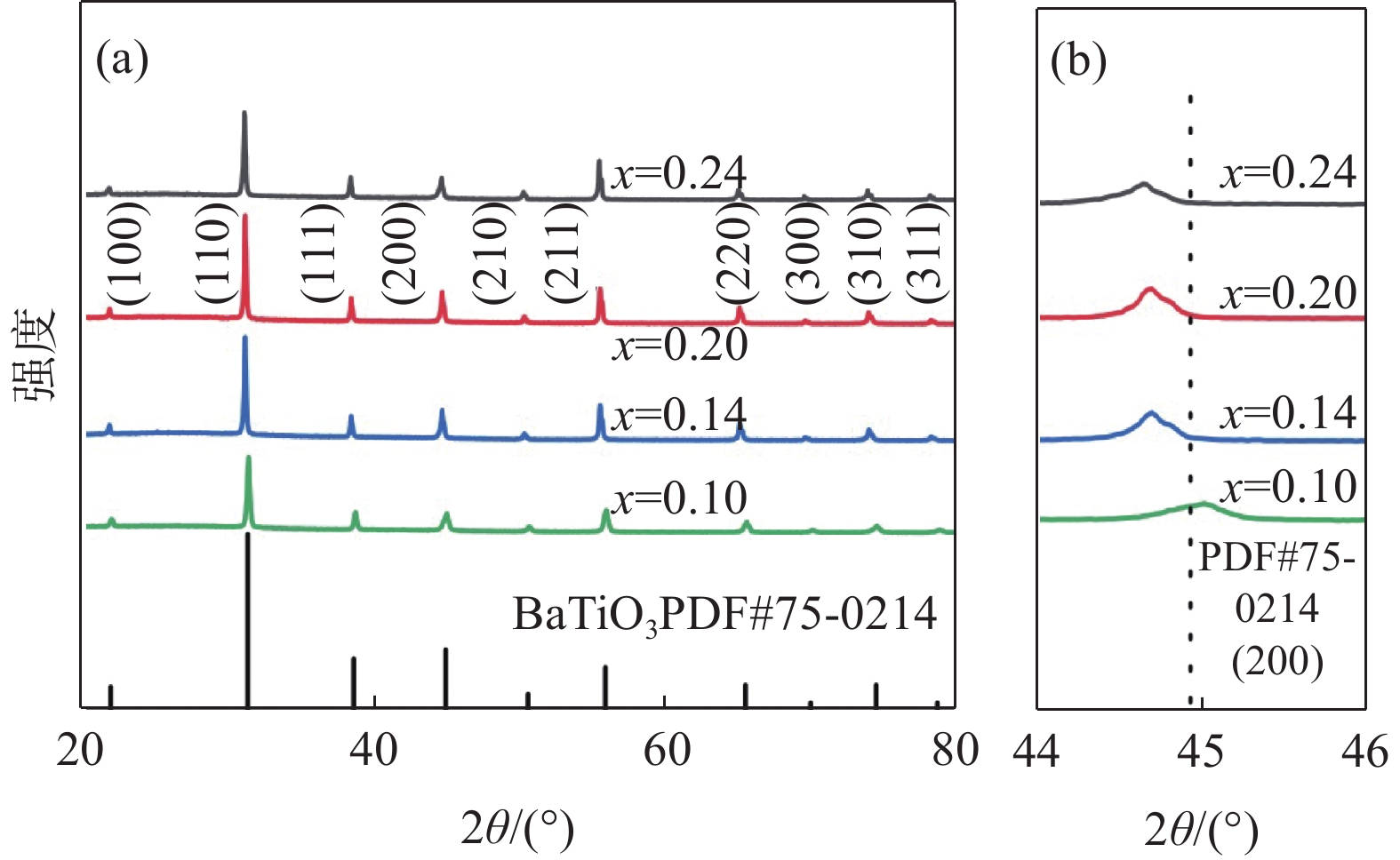
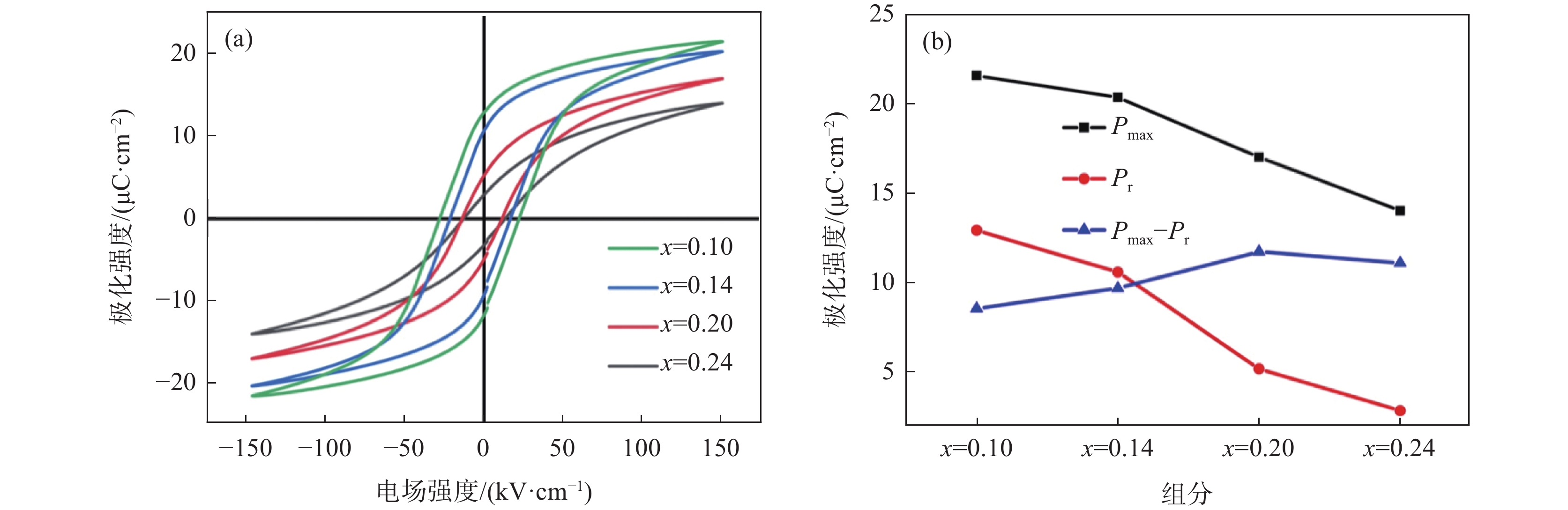
Dielectric ceramic capacitors have important application prospects in energy recovery systems and pulse power fields due to their ultrahigh power density and ultrafast charging- discharging speed. In this paper, Zr-doped BaTi(1-x)ZrxO3 (BTZx) dielectric ceramics were prepared by solution combustion synthesis with barium nitrate, butyl titanate, zirconium nitrate, glycine and nitric acid as raw materials, citric acid as complexing agent and manganese nitrate as sintering aid. The crystalline structure and microscopic morphologies of BTZx dielectric ceramic samples were analyzed by X-ray diffractometer and scanning electron microscope, respectively. The dielectric and energy storage properties of the BTZx dielectric ceramic samples were investigated using a precision impedance analyzer and a ferroelectric analyzer. The results show that the introduction of Zr4+ refines the ceramic grains, improves the breakdown strength, increases the ionic disorder, and effectively reduces the remanent polarization. When x=0.20, excellent energy storage performance is obtained: at 350 kV/cm, the recoverable energy density and energy storage efficiency reach 1.60 J/cm3 and 88.5%, respectively.
Effects of solution and aging temperature on microstructure and properties of as-cast TC18 alloy
Mu Pengwei, Lv Shufeng, Du Zhaoxin
2023, 44(2): 61-66. doi: 10.7513/j.issn.1004-7638.2023.02.009
Abstract(772) HTML (232) PDF(30)
Abstract:
Titanium alloys have phase transformation complexity and phase transformation sensitivity, and the influence factors of solution aging process corresponding to microstructure and mechanical properties of high-strength titanium alloys after heat treatment need to be further studied. The TC18 titanium alloy with nominal composition of Ti-5Al-5Mo-5V-1Cr-1Fe was subjected to solution-aging treatment, and the effects of different solution temperatures and aging temperatures on microstructure and mechanical properties were comparatively studied. The research results show that the solution-aging heat treatment method has a significant effect on improving the properties of the alloy. The solution treatment leads to coarsening primary α phase remaining in the alloy matrix, and supersaturated solid solution in other areas. During the subsequent aging process, needle-like secondary alpha phase precipitates in the β matrix s. Combination of the primary and secondary α phases significantly contributes to the improved overall strength of the alloy.
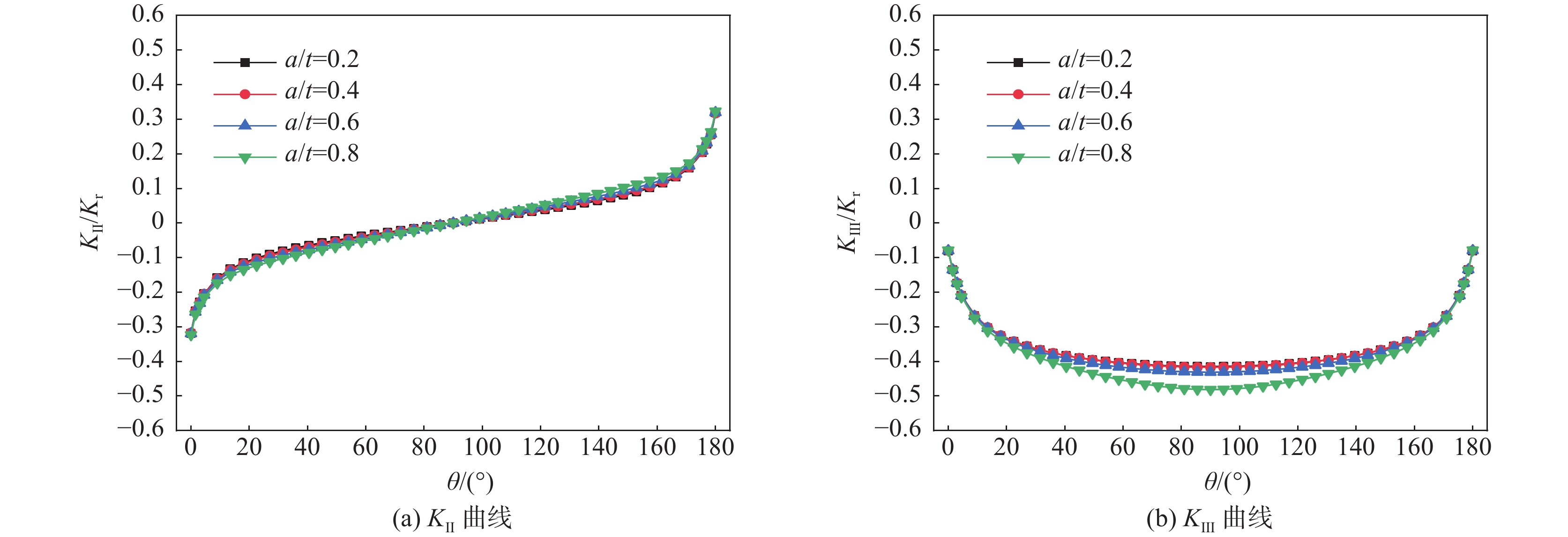
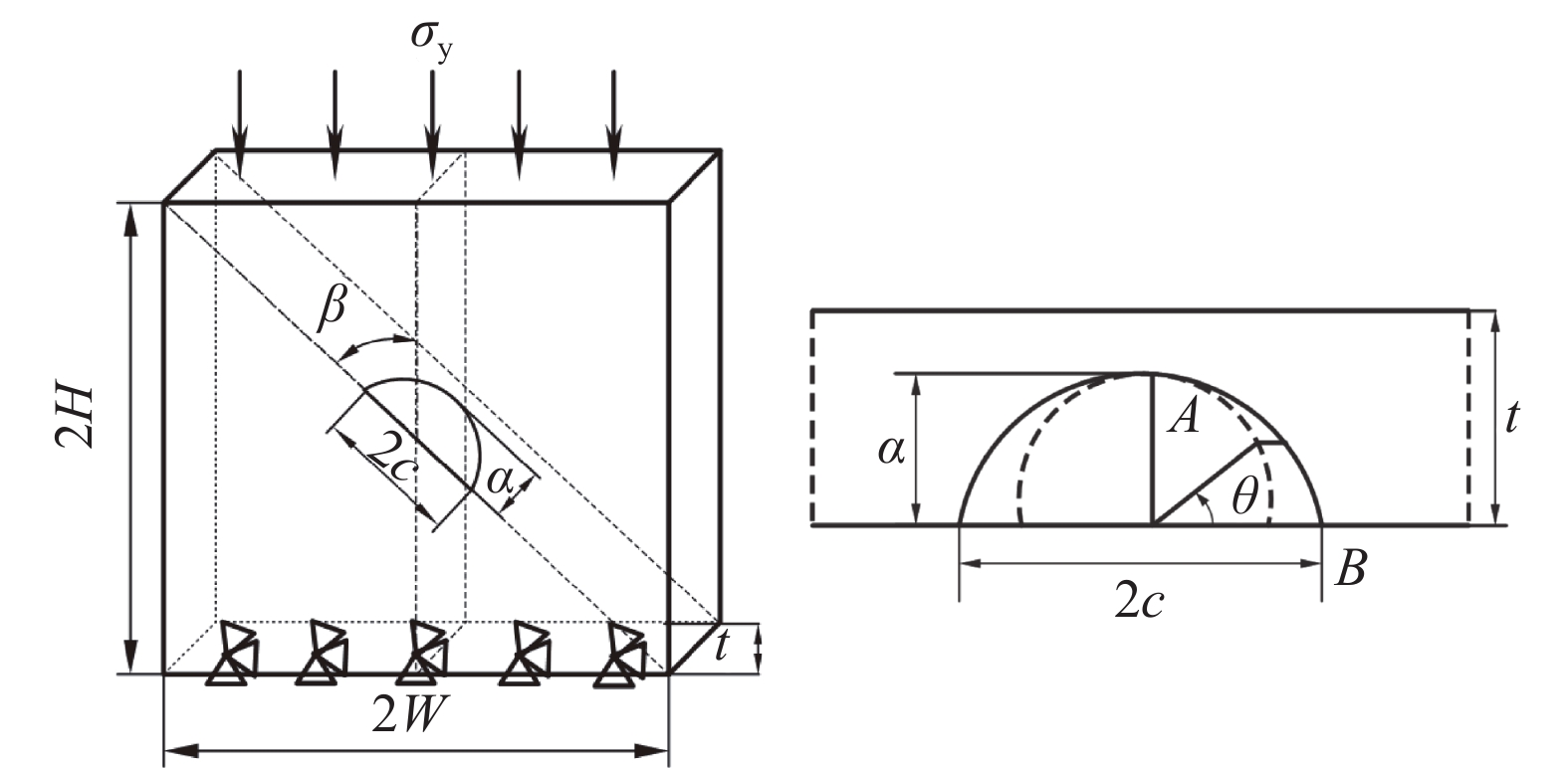
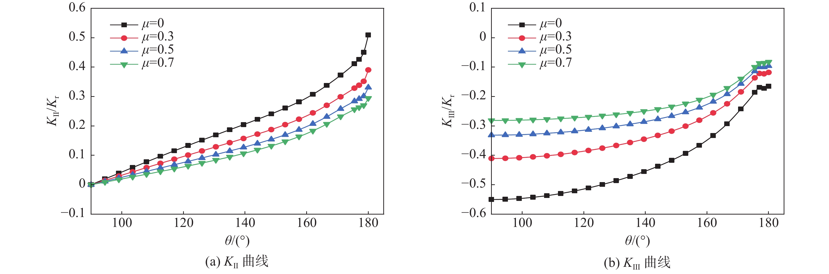
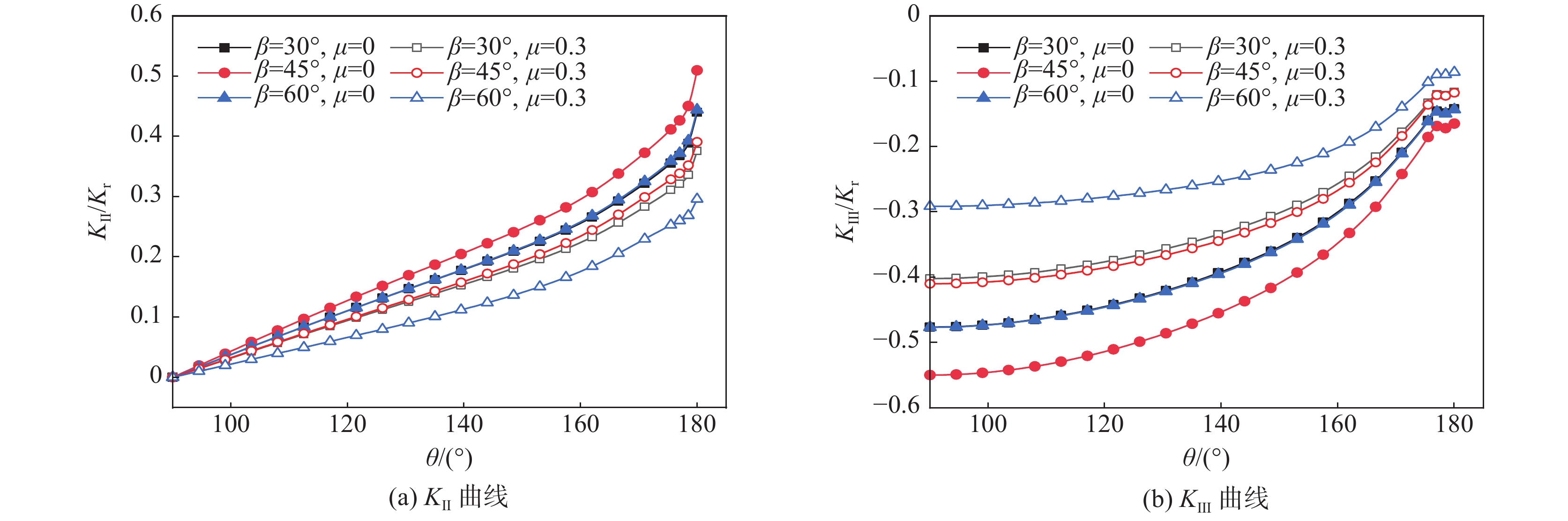
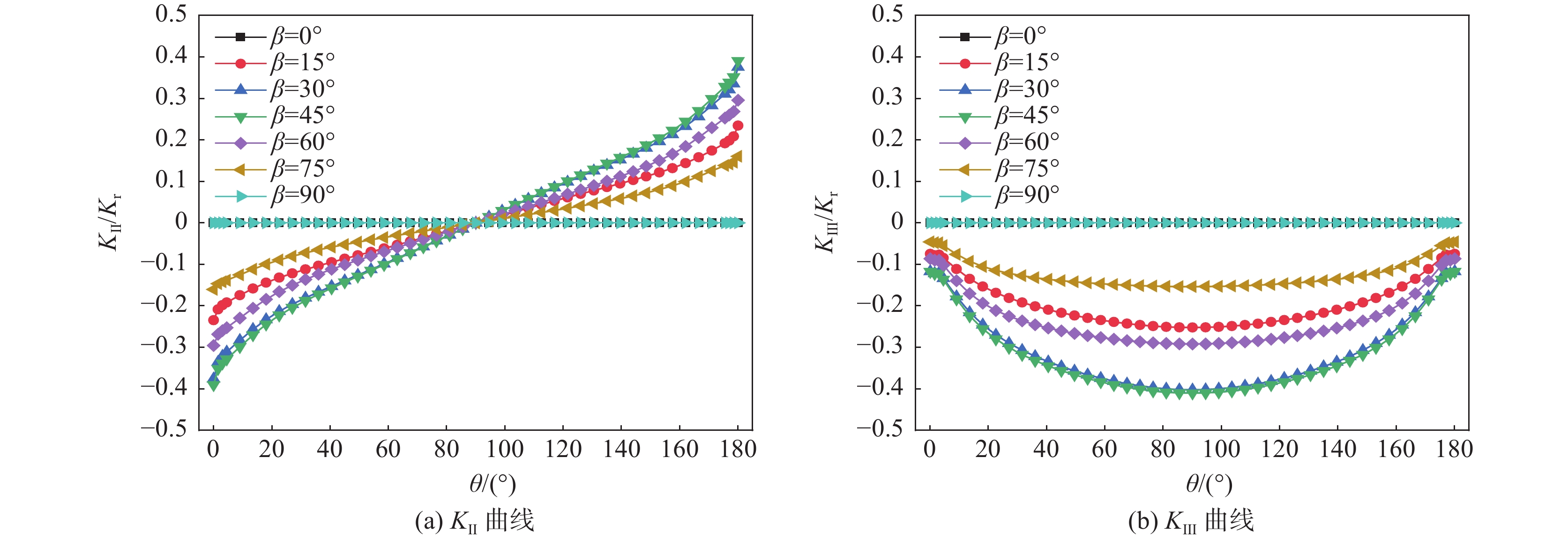
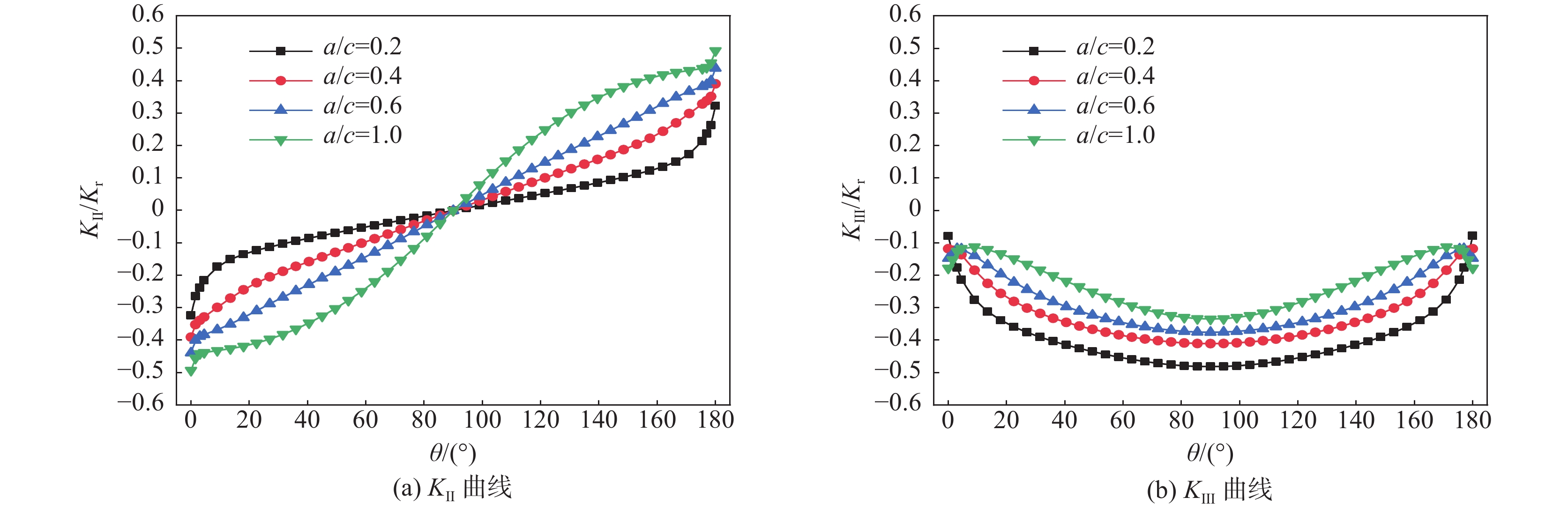
Stress intensity factors with the surface cracked plate of commercial pure titanium TA2 under compression
Zhang Yuchen, Yao Ximing, Pei Qi, Zhou Changyu, He Xiaohua
2023, 44(2): 67-76. doi: 10.7513/j.issn.1004-7638.2023.02.010
Abstract(726) HTML (204) PDF(12)
Abstract:
The surface cracked plate of commercial pure titanium TA2 under compressive load was studied. The plate model with mixed mode semi-elliptical surface crack was established by finite element method, and the stress intensity factor was calculated. At the same time, the effects of stress intensity factor were investigated with different inclined angles (β), relative crack depths (a/t), aspect ratios (a/c), friction coefficients of crack surface (μ), lateral pressure coefficients (λ). The results show that the inclined angles and aspect ratios have significant effects on the stress intensity factor, while the crack relative depth has insignificant effects on the stress intensity factor. With the increase of friction coefficients and lateral pressure coefficients can significantly reduce the stress intensity factor and inhibit shear damage. Based on the finite element solutions of stress intensity factor, the equations of stress intensity factors K and K fit for plates with semi-elliptical surface crack under uniaxial compression were obtained by nonlinear regression. The results are of important reference for the safety assessment of structure with semi-elliptical surface crack of commercial pure titanium TA2 under compressive load.
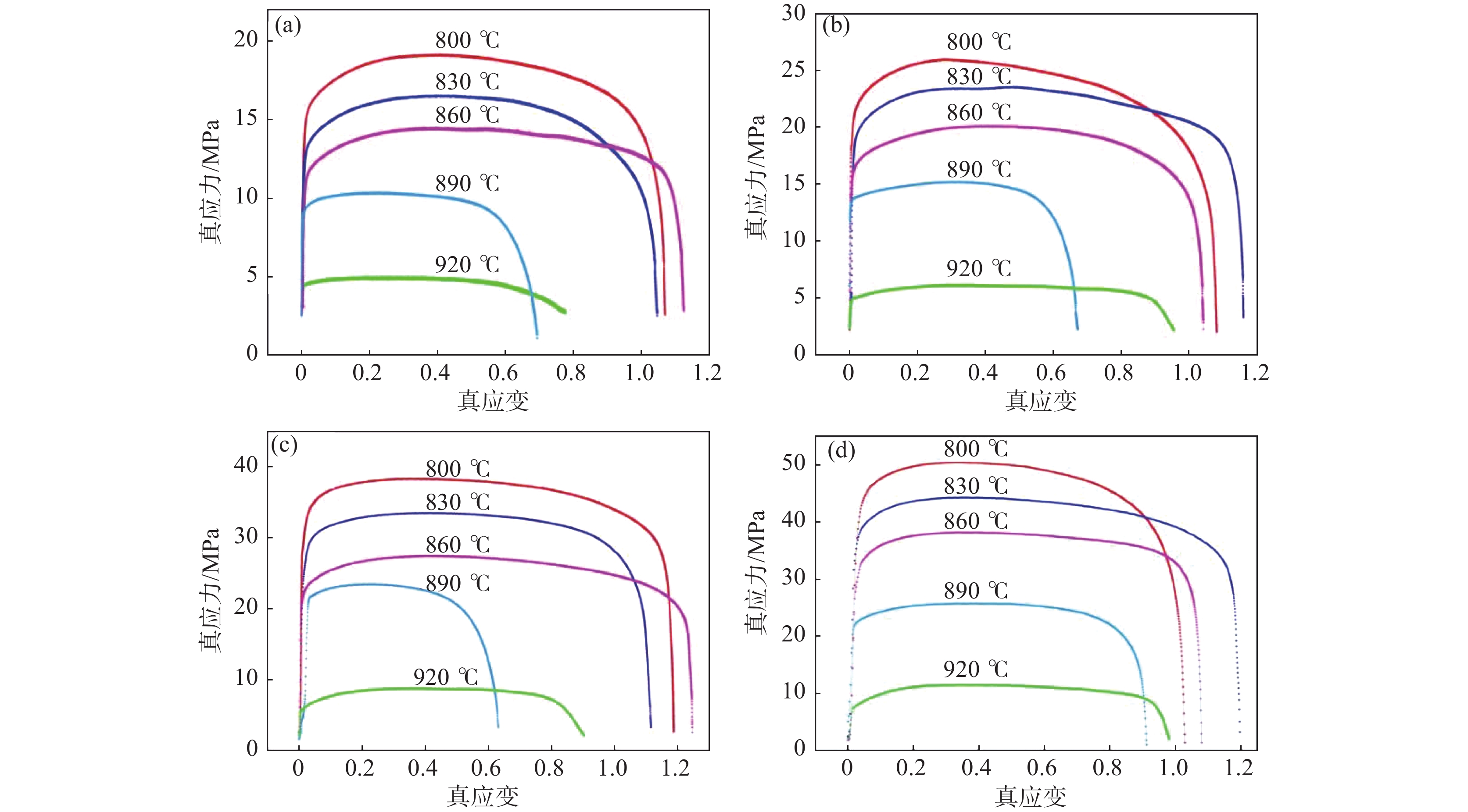
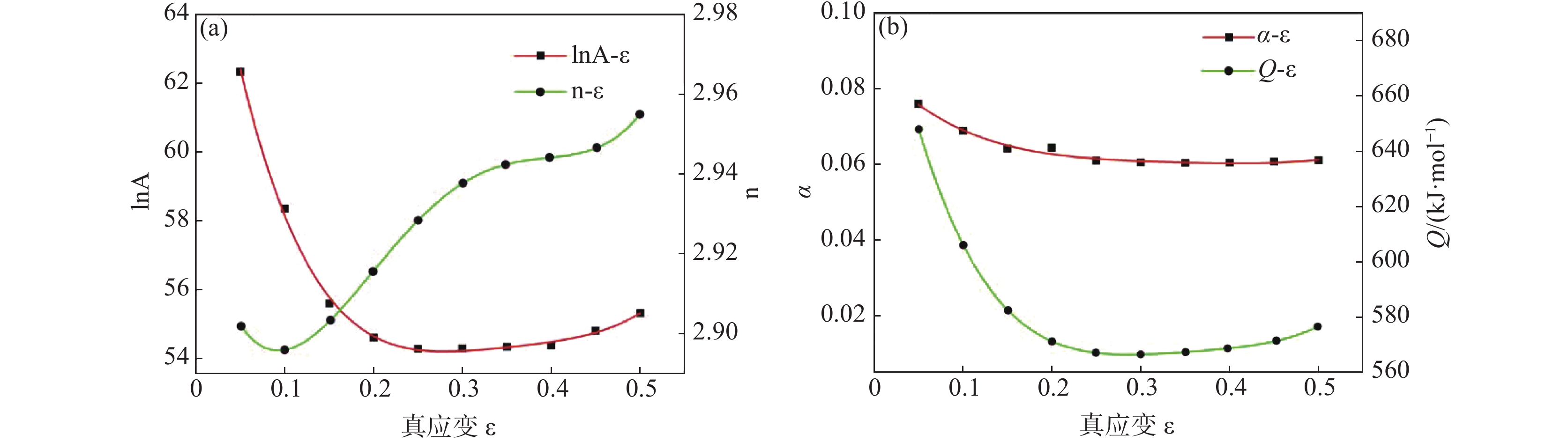
Study on high-temperature tensile deformation behavior of TA9 titanium alloy
Dong Xiaofeng, Wang Guanjun, Zhang Mingyu, Yang Zaijiang, Yang Xuexin, Ye Hongchuan, Gao Tian
2023, 44(2): 77-83. doi: 10.7513/j.issn.1004-7638.2023.02.011
Abstract(447) HTML (292) PDF(21)
Abstract:
The true stress-true strain curves of TA9 titanium alloy in the temperature range of 800-920 ℃ and the strain rate range of 0.001-0.125 s−1 were obtained by high-temperature tensile test. The relationship among deformation temperature, strain rate, and flow stress under tensile stress is analyzed. The constitutive analysis based on the hyperbolic-sine Arrhenius equation was constructed, and the strain correction was carried out. The hot processing maps of 20% and 50% deformation were drawn, and the microstructure evolution of the alloy under different deformation conditions was studied. The results show that the flow stress decreases with the deformation temperature increase and the strain rate decrease. The constitutive equation calculates the deformation activation energy in the two-phase region to be 569.453 kJ/mol. There are four central regions of instability in the hot processing map. The instability region in the hot processing map mainly has four regions, which are at 800-845 ℃ and 870-920 ℃, and the strain rate is more significant than 0.07 s−1 and 0.002-0.03 s−1, respectively. In addition, the α phase in the microstructure of the fracture position is elongated along the direction of the alloy deformation, and the α grain boundary becomes serrated, which is related to the fragmentation, segmentation, and grain boundary protrusion of α along the subgrain boundary during the dynamic recovery process. The equiaxed α grain size decreases with the increase in strain rate when the deformation temperature is constant. The equiaxed α grain size increases with the increase in temperature when the strain rate is constant.
Study on tensile behavior of SiCf/TC11 composites
Hao Peng, Meng Fanling, Yang Lina, Wang Yumin
2023, 44(2): 84-91. doi: 10.7513/j.issn.1004-7638.2023.02.012
Abstract(418) HTML (143) PDF(24)
Abstract:
In this paper, SiCf/TC11 composites were prepared by magnetron sputtering precursor wire method and hot isostatic pressing. Tensile properties and fracture mechanism of SiCf/TC11 composites at room temperature and 500 ℃ were studied. The experimental results show that the tensile strength of SiCf/TC11 composite at room temperature and 500 ℃ are 1 530 MPa and 1 553 MPa, respectively, which are significantly higher than that of the matrix TC11 titanium alloy. Compared with TC11 titanium alloy, the tensile strength increases by ~57% and ~133%, respectively, and the fiber reinforcement effect is remarkable. By observing the fracture characteristics and longitudinal section of SiCf/TC11 composites, it is proposed that the tensile fracture mechanism at room temperature and 500 ℃ mainly includes reaction layer multiple fracture, fiber single fracture, fiber multiple fracture, fiber-matrix interface debonding, fiber pulling out, W core -SiC interface debonding, matrix fracture, sheath fracture, etc. In this paper, the multi-component fracture process of SiCf/TC11 composites under tensile loading at room temperature and 500 ℃ is revealed.
Two pass laser welding of TC4 titanium alloy and 316L stainless steel with vanadium interlayer
Yu Tengyi, Chen Shuhai, Liu Ke, Jia Xu, Chen Rong
2023, 44(2): 92-97. doi: 10.7513/j.issn.1004-7638.2023.02.013
Abstract(548) HTML (151) PDF(25)
Abstract:
A two-pass laser welding test was carried out using TC4 titanium alloy and 316L stainless steel as the base material and pure vanadium as the interlayer material. The influence of welding speed and beam offset on weld formation, microstructure, and mechanical properties were studied and analyzed. The results show that the vanadium interlayer on the side of titanium alloy can be melted to a certain extent. Still, all near the interface are the solid solution, and the mechanical properties of the joint are less affected. On the side of stainless steel, the vanadium interlayer is brazed with the stainless steel. Vanadium dissolves and diffuses to some extent, forming a diffusion layer. With the increase of beam offset on the steel side, the thickness of the V/Fe interface diffusion layer decreases. At an offset of 0.3 mm, the thickness of the interfacial diffusion layer reaches 35.8 μm, and the maximum tensile strength reaches 406.9 MPa at this time. The fracture location is at the vanadium/stainless steel interface, and the fracture is characterized by ductile fracture.
Study on properties of Ti films prepared by magnetron sputtering and electron beam evaporation
Li Zhaoying
2023, 44(2): 98-102. doi: 10.7513/j.issn.1004-7638.2023.02.014
Abstract(450) HTML (1024) PDF(127)
Abstract:
Aiming at studying the effects of different preparation methods on the properties, Ti films with a growth rate of 1.0 nm/s and a thickness of 100 nm were prepared on Si(100) wafers with 500 nm thick SiO2 films by magnetron sputtering and electron beam evaporation methods respectively. The thickness, surface morphology, resistance, reflectance and stress of Ti films were measured. Compared with electron beam evaporation, Ti films prepared by magnetron sputtering have a more uniform and denser surface with fewer defects and smaller roughness, lower resistance, stress and higher reflectance. The results show that the electrical performance of Ti films prepared by magnetron sputtering are superior to that of electron beam evaporation. The stress of Ti films prepared by electron beam evaporation has a large range of variation, which can be used for the stress matching debugging between multilayer films. The performance of the films can be improved by reducing the surface structural defects and surface roughness.
Resources Environment and Energy Saving
Preparation of electrically conductive carbon fiber-cement mortars with carbonized titanium-bearing blast furnace slag as an aggregate
Fang Zheyu, Deng Kexing, Huang Gen, Tang Chenjun, Xuan Ming, Wang Dong, Ran Songlin
2023, 44(2): 103-110. doi: 10.7513/j.issn.1004-7638.2023.02.015
Abstract(678) HTML (292) PDF(33)
Abstract:
Electrically conductive cement mortars were prepared by using carbon fiber as a conductive phase and carbonized titanium-bearing blast furnace slag (CTBFS) as an aggregate. The content of carbon fiber on the rupture strength, compressive strength, and electrical resistivity of the as-prepared cement mortar was investigated and compared with those with standard sand as an aggregate. The results show that the replacement of standard sand with CTBFS as the aggregate not only significantly improved the rupture and compressive strength of carbon fiber cement mortar, making it meet the requirements of building cement mortar, but also reduced the threshold of conductive cement mortar from 0.5% to 0.2%. With a carbon fiber content of 2.0%, the as-prepared cement mortar with CTBFS as the aggregate showed excellent performance with 28 d compression and rupture strength of 39.9 MPa and 10.2 MPa, respectively, as well as electrical resistance of 10.7 Ω·m in wet state and 10.9 Ω·m in dry state, respectively. The investigation provides a new way for the reuse of titanium-bearing blast furnace slag and the preparation of conductive cement-based composites.
Sustainable synthesis of ZSM-5 zeolite from iron ore tailings
Liu Runqi, Zhu Yanyu, Chen Xingyue, Zhang Peng
2023, 44(2): 111-117. doi: 10.7513/j.issn.1004-7638.2023.02.016
Abstract(465) HTML (155) PDF(15)
Abstract:
In view of the high silicon and aluminum content of iron ore tailings (IOT) in Chengde, Hebei province, ZSM-5 zeolite was prepared with IOT as the raw materials. At present, the synthesis of zeolite from solid waste usually uses hydrothermal method, which is a complex synthesis process with low utilization rate of single reactor and produces wastewater. Our approach focused on reutilization of IOT by converting it to ZSM-5 via solvent-free method. It shows that the optimal synthesis parameters of ZSM-5 zeolite are HDA/SiO2=0.1, Na2CO3·10H2O/SiO2=0.4, and crystallization at 150 ℃ for 6 days. The obtained ZSM-5 zeolite has bimodal meso- and micro-porous structure, with a surface area of micropores of 213.25 m2∙g−1 and an external surface area of 95.53 m2∙g−1. In addition, the elemental utilization rate of the solvent-free method is higher than that of the conventional hydrothermal method, and the elemental utilization rates of Si and Al for the solvent-free method are 94.83% and 95.89%, respectively, while those for the hydrothermal method were only 80%.
Experimental study on special strength curve of rebound method for concrete evaluation of high-titanium slag concrete
Wang Jie, Liang Yuehua, Cai Run, Li Ji
2023, 44(2): 118-123. doi: 10.7513/j.issn.1004-7638.2023.02.017
Abstract(669) HTML (294) PDF(12)
Abstract:
Under the background of “achieving peak carbon dioxide emission and carbon neutrality,” high-titanium furnace slag is widely used as coarse and fine aggregate to prepare concrete in Panzhihua city of China. The purpose of this paper is to improve the accuracy of strength detection of high titanium slag concrete by springback method. Coarse and fine aggregates of high-titanium blast furnace slag are used to make high-titanium blast furnace slag concrete cubic blocks with strength grade of C20, C25, C30, C35, C40, C45, C50, C55, C60, C65, C70 and side length of 150 mm. Saturated with water for 7 days and then naturally cured for 21 days, then these test blocks were put into the indoor accelerated carbonization box to accelerate carbonization for 0 days, 3 days, 7 days, 14 days and 28 days, respectively, and the rebound-compression-carbonization depth tests are carried out. According to “Technical Specification for Inspecting of Concrete Compressive Strength by Rebound Method” (JGJ/T23-2011), this paper compares the presumed concrete strength value and the actual compressive strength to analyze the relationship between the rebound value, carbonation depth and the actual compressive strength value, the rebound strength of concrete measured by direct use of the “Rules” is generally lower than the actual compressive strength, the difference is large, the result is too conservative. On the basis of the values measured in the above-mentioned “Specification,” 10 MPa is added for the rapid determination of the springback strength of high-titanium furnace slag concrete with a precision higher than that of the “Specification.” In this paper, based on the relationship between rebound value, actual strength and carbonization degree correction, we established the regional strength curve of high-titanium blast furnace slag concrete compressive strength of Panxi area with higher accuracy by using the least square method fitting $f_{cu,i}^c = {\text{0}}{\text{.380 3}}R_{\text{m}}^{{\text{1}}{\text{.362 7}}} \cdot {\text{1}}{{\text{0}}^{-{\text{( 0}}{\text{.008 3}}{{{d}}_{\text{m}}}{\text{)}}}}$.
Study on preparation of super sulfate cement by titanium slag and phosphogypsum
Dong Liqing, Jiang Yong, Wang Guomin, Wang Zongyi
2023, 44(2): 124-131. doi: 10.7513/j.issn.1004-7638.2023.02.018
Abstract(602) HTML (235) PDF(27)
Abstract:
Ten groups of super sulfate cement (SSC) were prepared by phosphogypsum, titanium slag, clinker and sodium silicate. The compressive strength, hydration heat release and hydration products of the matrix were studied, and the flexural strength, tensile strength and impact strength after fiber reinforcement were tested. The results show that both clinker and titanium slag can effectively improve the compressive strength of SSC, and promote hydration exothermic and secondary hydration reaction. The optimal cement ratio is phosphogypsum 25%, titanium slag 60%, clinker 13%, sodium silicate 2%, and the compressive strength reaches 42.1 MPa. Basalt fiber can significantly improve the flexural strength and impact strength of SSC. Specifically, with an addition of 0.3% 6-mm fiber, the flexural strength of the specimen increases by 27.0%. The impact strength increases by 120.3% when 0.6% 12-mm fiber is added. The tensile test results show that basalt fiber is disadvantageous to the improvement of the ultimate tensile strength of cement, but can enhance the tensile strain capacity of cement.
Ferrous Metallurgy and Materials
Solidification process simulation and process optimization of high strength steel slab
Zhang Pan, Shi Pengzhao, Xie Shizheng, Liang Liang, Xu Lijun, Wang Minglin
2023, 44(2): 132-140. doi: 10.7513/j.issn.1004-7638.2023.02.019
Abstract(503) HTML (205) PDF(28)
Abstract:
Using solidification parameters and surface temperature measurements as boundary conditions, ProCAST software was applied to simulate the heat transfer and solidification process of 960QT steel slab during continuous casting. The effects of casting speed and superheat on the temperature fields of slab and liquid core length at the outlet of the copper mold were analyzed. It is concluded that under the conditions of the casting speed of 0.9 m/min and superheat of 23 ℃, the solidification end point is 18.43 m away from the meniscus. When the casting temperature is 1535 ℃, the position of solidification end moves forward about 2.7 m when the casting speed increases by 0.1 m/min. When the pulling speed is 0.9 m/min, the position of the solidification end moves back about 0.4 m with every 10 ℃ increase of superheat. In addition, the reduction position and amount of the soft reduction system were optimized, from 3 segments to 2 segments, and the reduction of sections 6 and 7 was changed to 2.0 and 2.5 mm respectively. After the process optimization, the central segregation and central porosity of slab were significantly improved, and the carbon segregation index at the slab center decreased from 1.85 to 1.09.
Investigation on thermal shrinkage deformation of the continuously cast slab
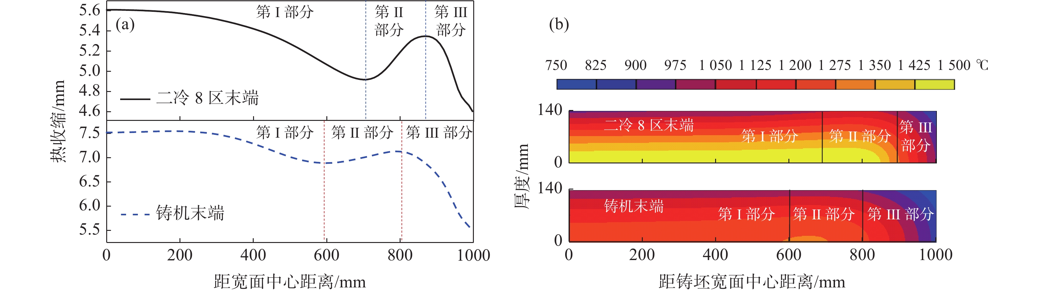
Wu Chenhui, Wu Guorong, Zhang Min, Xie Xin, Li Yang, Zeng Jianhua
2023, 44(2): 141-146. doi: 10.7513/j.issn.1004-7638.2023.02.020
Abstract(438) HTML (145) PDF(20)
Abstract:
In the continuous casting process, thermal shrinkage deformation of the solidified shell occurs due to the temperature decrease during the cooling process, and this thermal shrinkage deformation is the important basis for designing basic shrinkage gap of the continuous casting machine. In the present work, a 3D thermal-mechanical coupling model was developed, and the thermal shrinkage deformation of the continuous casting slab was investigated. The results indicate that the thermal shrinkage deformation continuously increased during the continuous casting process and a rapidly increasing trend was observed at the solidification end of the strand. The total shrinkage of the wide surface center was ~8 mm at the exit of the continuous casting machine. The difference of the thermal shrinkage deformation along the slab width direction was obvious, and the shrinkage deformation showed a decreasing trend first and then an increasing trend from the slab surface center to its corner. The thermal shrinkage at the same strand position decreased with increasing the casting speed, and the total thermal shrinkage of the wide surface center and 1/8 width decreased ~1.2 mm with increasing the casting speed by 0.1 m/min. The present work provided data support for optimizing the basic shrinkage gap of the continuous casting machine and thus alleviating the internal quality of the continuous casting steel.
Influence of phosphorus on the properties of Fe-Mn damping alloy
Li Jiangwen, Li Dahang, Li Lin, Hou Huaxing, Zhao Gang
2023, 44(2): 147-152. doi: 10.7513/j.issn.1004-7638.2023.02.021
Abstract(460) HTML (136) PDF(11)
Abstract:
Fe-Mn damping alloy is a new type of metal damping material discovered in recent years. This paper takes Fe-Mn damping alloy as the research object. The mechanical properties, corrosion resistance and damping properties of the alloy were tested, and the microstructure was characterized by EBSD. The addition of phosphorus increases the yield strength of the damping alloy, which is beneficial to improve the corrosion resistance, but greatly deteriorates the low-temperature toughness and reduces the damping. With the increase of solid solution treatment temperature, the strength and damping of Fe-Mn-P damping alloy decrease; the damping of Fe-Mn-P alloy is the best at 800 ℃. ε/ε and ε/γ interface density is an important factor affecting the damping of Fe-Mn-P alloy.
Study on microstructure transformation behavior of Ti-Nb microalloyed high-speed guardrail steel under continuous cooling
Li Yanqi, Gan Xiaolong, Liu Yajun, Wang Cheng, Zhang Zhuoyu
2023, 44(2): 153-159. doi: 10.7513/j.issn.1004-7638.2023.02.022
Abstract(434) HTML (132) PDF(14)
Abstract:
The thermal simulation testing machine, OM, TEM and other experimental equipment were used to study the continuous cooling transformation behavior of Ti-Nb microalloyed high-speed guardrail steel in the experiment. The results show that when the cooling rate is 0.5 ℃/s, the austenite of the test steel emerges ferrite-pearlite phase transformation. When the cooling rate is greater than 1 ℃/s, the bainite phase transformation begins to occur. At the cooling rate of 10~20 ℃/s, both ferrite-bainite phase transformation and martensite phase transformation come out. While the bainite-martensite phase transformation appears when the cooling rate rises to 30 ℃/s. As the cooling rate increases, the hardness of the test steel also improves. There exists (Ti, Nb) dispersed precipitates in the steel at different cooling rates. In the condition of low cooling rate, the volume fraction of the precipitates in the steel is larger, and the size is smaller, which has a certain precipitation strengthening effect.
Effect of coiling temperature on the microstructure and mechanical properties of a Ti-Nb microalloyed steel
Guan Jianhui, Qu Jinbo, Ding Meiliang
2023, 44(2): 160-166. doi: 10.7513/j.issn.1004-7638.2023.02.023
Abstract(543) HTML (153) PDF(22)
Abstract:
The effect of coiling temperature on the microstructure and mechanical property of a Ti-Nb microalloyed steel was studied by simulated hot rolling and coiling tests conducted on a pilot hot rolling mill and heat treatment furnace. The results show that the phase transformation process of steel gradually changes from diffusion-type phase transformation to shear-type phase transformation, and the microstructure changes from equiaxed ferritic grain to polygonal ferrite, granular bainite, and lath bainite with the coiling temperature decreases. In addition, the strength first decreases and then increases, while the elongation decreases due to precipitation strengthening and phase transformation strengthening. The strength of the steel at the coiling state is higher than that of the steel after air-cooled due to the precipitation and strengthening of micro-alloy carbonitride during the coiling. With the decrease in coiling temperature, the strength increment of steel at the coiling state gradually decreases compared with the steel after air-cooled. The yield strength is 744~754 MPa, and the elongation is 19%~20.9%, which can obtain good comprehensive properties when the coiling temperature of Ti-Nb microalloyed steel is set at 560~630 ℃.
Effect of heat treatment process on the microstructure and properties of a 2.0 GPa cold-rolled hot-formed steel
Xue Renjie, Cao Xiao’en, Zhao Linlin, Liu Peng, Gao Yunzhe
2023, 44(2): 167-172. doi: 10.7513/j.issn.1004-7638.2023.02.024
Abstract(480) HTML (132) PDF(30)
Abstract:
Optical microscope (OM), scanning electron microscope (SEM) and electron probe (EPMA) were used to characterize and analyze the microstructure and mechanical properties of a 2.0 GPa hot-formed steel heat-treated by different heat treatment temperature. The results show that the yield strength and tensile strength increased with the increase in austenitizing temperature, while the elongation after fracture increased to a maximum and then decreased. After holding at 890 ℃ for 370 s, and quenching to room temperature at a cooling rate of 100 ℃/s, a steel with the tensile strength of 2025 MPa, the 10.2% elongation after fracture and the 20.66 GPa% strength-plastic product can be obtained. As the austenitization temperature increases, the segregation degree of C and Mn elements can be reduced, and the martensite band structure can be improved. In the meanwhile, the uncoordinated deformation caused by the martensite band structure can be avoided, and thus the occurrence of crack sources can be delayed, as well as the plasticity can be improved.
Effect of welding process on welding deformation of automobile control arm
Wang Dafeng, Zhang Guanghe, Hu Quanda, Ren Zheng, Jiang Tong
2023, 44(2): 173-178. doi: 10.7513/j.issn.1004-7638.2023.02.025
Abstract(484) HTML (154) PDF(16)
Abstract:
Taking the control arm welding component of automobile parts factory as the research object, a SYSWELD software is used to optimize the welding heat input and welding sequence of control arm components. The results show that when the welding heat input is too low (2015~2266 J/cm), incomplete penetration will occur at the root of the fillet weld between the upper and lower pieces of the control arm. When the welding heat input is moderate (2527~2701 J/cm), the fillet weld can obtain better weld penetration width and penetration depth. In addition, by comparing and analyzing residual stress and deformation atcontrol arm under different welding sequences, it is found out that the welding sequence from the middle to the two sides (①④③⑤⑥②⑦⑧) is conducive to reducing peak residual stress of control arm as a whole. When other welding sequences are used, the peak residual stress and residual deformation of control arm are high. The comparison between the experimental and simulation results indicates that the accuracy of the simulation results is high. The finite element simulation can be used to optimize the welding process of the automobile control arm and improve the welding quality of the control arm products.
Effect of low frequency power supply frequency on liquidus carbides in GCr15 electroslag ingot
Su Yunlong, Zhu Chunli, Zhang Longfei, Wang Mengjun, Xiang Miaomiao, Shi Xiaofang, Chang Lizhong
2023, 44(2): 179-186. doi: 10.7513/j.issn.1004-7638.2023.02.026
Abstract(535) HTML (143) PDF(14)
Abstract:
In order to further improve the solidification quality of electroslag ingot, a low frequency electroslag remelting furnace was designed to study the effect of different frequencies on liquid carbides in electroslag ingot. The morphology and composition of liquidated carbides were observed by scanning electron microscopy, and the size change of liquidated carbides was observed and analyzed under an optical microscope. The results show that the number of carbides can be effectively reduced at low frequency compared with that at power frequency, especially at the edge and at the edge of 2/3R where the number of carbides decreases significantly at 0.4 Hz, the maximum decrease amplitude is 71.05% and 48.00%. Whether it is in edge, heart, or 2/3R, low frequency can reduce the maximum size of liquid carbides. Especially for the edge and 2/3R carbides, the maximum size of the edge decreases from 11.64 μm at power frequency to 7.39 μm at 0.4 Hz, which is reduced by 36.51%. The maximum size at 2/3R is reduced by 38.73% from 20.58 μm at power frequency to 12.61 μm at 0.4 Hz.
Constitutive equation and dynamic recrystallization behavior of ultra high strength steel A100
Lin Faju, Li Xiong, Wu Chengchuan
2023, 44(2): 187-193. doi: 10.7513/j.issn.1004-7638.2023.02.027
Abstract(451) HTML (131) PDF(15)
Abstract:
The flow stress behavior of A100 ultra-high strength steel under the conditions of strain rate of 0.01~10 s−1, deformation of 63.3% and deformation temperature of 850~1 200 ℃ was studied by compression test with a Gleeble-3500 thermal simulation test machine, and the dynamic recrystallization behavior under different deformation conditions was analyzed combined with microstructure observation. The results show that the flow stress of A100 steel decreases with the increase of temperature and increases with the increase of strain rate. Dynamic recovery mainly occurs at 850 ℃, and dynamic recrystallization occurs at deformation temperature of 900~1 200 ℃ and strain rate of 0.01~10 s−1. Based on Arrhenius hyperbolic sine model, the constitutive equation of high strength steel A100 is established by using linear regression method, which provides a theoretical basis for the numerical simulation of A100 steel and the formulation of hot working process.
Innovative design of automatic casting process for continuous casting ladle based on TRIZ theory
Cao Lei, Zhang Shanshan, Han Tiwen, Cao Zhen, Zhang Shenyi, Liu Xin'ai
2023, 44(2): 194-199. doi: 10.7513/j.issn.1004-7638.2023.02.028
Abstract(414) HTML (154) PDF(10)
Abstract:
Based on TRIZ theory, the function model of ladle pouring system had been established, and the key causes of the problem had been determined by causal chain analysis. By fully applying the tools of technical conflict, physical conflict, material-field model and effect, the start-up process of continuous casting ladle was improved, eight kinds of innovative solutions were produced, and the optimal scheme was determined by scheme comparison. The scheme adopts vacuum composite flow control skateboard and achieves good process effect. The automatic casting rate of the ladle can reach more than 97%. Although it is basically the same as the self-opening rate of the traditional drainage sand casting process, the new scheme can reduce the amount of large particle inclusions in the steel and effectively solve the drainage sand pollution caused by the traditional drainage sand casting process.
Industrial practice of tellurium modified sulfides in the non-quenched and tempered 38MnVS6 steels
Liu Zengping, Li Jie, Shen Wei, Fu Jianxun
2023, 44(2): 200-204. doi: 10.7513/j.issn.1004-7638.2023.02.029
Abstract(484) HTML (130) PDF(17)
Abstract:
The morphology and rating of sulfide in the unmodified and modified 38MnVS6 steels were analyzed by means of metallographic microscope, scanning electron microscope and electrolytic etching. The effect of tellurium on the two-dimensional and three-dimensional morphology of sulfides in the steels was studied. The effect of tellurium on the mechanical properties of the non-quenched and tempered 38MnVS6 steels was studied by testing and analyzing the mechanical properties of the finished bars. The results show that after tellurium modification, the sulfide rating in the steel decreases from fine system 3.0 and coarse system 2.0 to fine system 2.0 and coarse system 1.5. The standard rating is changed from F to C. The aspect ratio of about 90% sulfides in the tellurium modified steels is controlled within 6, and more than 50% is controlled between 1 and 3. Most sulfides in the unmodified steels have the appearance of long strips, which were mainly changed to intermittent and ellipsoid after modification. After modification, the yield strength, the tensile strength, the fracture elongation, the reduction of area and other mechanical properties of the non-quenched and tempered 38MnVS6 steels meet the technical requirements.