2024 Vol. 45, No. 3

Separating and Extracting of Vanadium and Titanium
2023 China titanium industry development report
An Zhongsheng, Chen Yan, Zhao Wei, Huai Jin
2024, 45(3): 1-8. doi: 10.7513/j.issn.1004-7638.2024.03.001
Abstract(4161) HTML (841) PDF(883)
Abstract:
Based on the data of production capacity, output, application and import and export of titanium products such as titanium concentrate, titanium sponge, titanium ingot and titanium material in China in 2023, the overall situation of China’s titanium industry was analyzed, and the corresponding suggestions to help resolve problems existing in the current titanium industry were put forward.
Recovery and regeneration of waste electrolyte from all-vanadium redox flow battery
Peng Haiquan, Xu Jiabin, You Runchen, Zhao Lina, Hu Xianlong
2024, 45(3): 9-15. doi: 10.7513/j.issn.1004-7638.2024.03.002
Abstract(803) HTML (300) PDF(72)
Abstract:
Vanadium flow battery is an electrochemical energy storage device. As energy is stored in the electrolyte, power and capacity are independent of each other, which has outstanding advantages in the field of large-scale energy storage. However, the recovery and treatment of the used electrolyte of the battery is a challenge. Electrochemical tests and electrolyte composition analysis showed that the activity of the waste electrolyte did not decrease significantly, and the focus of recovery should be the comprehensive adjustment of the electrolyte valence state. This paper proposes four electrolyte recovery methods, the optimal proportion recovery method, direct electrolysis method, sulfuric acid electrolysis method and asymmetric electrode method, which can restore the electrolyte capacity to 75%, 92%, 93%, 92% of the initial state, respectively, and the coulombic efficiency of the battery is maintained at 95%~98%, showing good charge and discharge performance. This study is conducive to promoting the comprehensive utilization of vanadium resources and has important guiding significance for the application and operation maintenance of vanadium flow batteries.
Study on leaching behavior of vanadium in acid leaching process of calcium and manganese vanadate system
Li Feifei, Wen Jing, Jiang Tao, Li Changqing, Xiao Hao
2024, 45(3): 16-24. doi: 10.7513/j.issn.1004-7638.2024.03.003
Abstract(572) HTML (282) PDF(31)
Abstract:
Calcium vanadate and manganese vanadate are important roasting products in the calcification roasting process of vanadium slag, and their dissolution and leaching behavior in sulfuric acid has an important effect on the vanadium yield in the vanadium extraction process. In this paper, the effects of leaching pH, time and temperature on the leaching behavior of vanadium components in the synthesis of calcium vanadate (or manganese vanadate), vanadium slag calcification (or reaction with manganese) and calcium-manganese composite roasting clinker were studied by single factor test step-by-step method. The results showed that the maximum leaching rate of vanadium was 43.62%, 98.79%, 97.98% and 98.06% when the synthetic CaV2O6, Ca2V2O7, Ca3V2O8 and Mn2V2O7 were leached at 60℃ for 60 min at pH 3.0, 3.0, 5.0 and 2.2, respectively. When the pH value is 1.0~2.0, the leaching rate of the four vanadates shows a low peak, which is caused by the hydrolysis of vanadium. Ca2V2O7 and Mn2V2O7 vanadate were mainly formed during the conventional calcification and manganese roasting of vanadium slag, and the leaching rates of vanadium were 85.24% and 87.07%, respectively, when the leaching pH value was 2.5. The leaching rate of vanadium after clinker leaching in sulfuric acid solution with pH value of 2.5 was 90.09%, which was about four percentage points higher than that of vanadium in conventional calcification and manganese systems, indicating that the synergistic extraction of vanadium from calcium and manganese had a certain strengthening effect on vanadium extraction with a single additive.
Optimization of VAR melting process of TB9 titanium alloy based on numerical simulation
Luo Kun, Geng Naitao, You Yanjun, Peng Li, Wang Ying, Dong Entao
2024, 45(3): 25-32. doi: 10.7513/j.issn.1004-7638.2024.03.004
Abstract(549) HTML (178) PDF(43)
Abstract:
Metallurgical defects such as segregation and inclusion will occur when vacuum arc remelting (VAR) is used to melt TB9 titanium alloy. MeltFlow-VAR simulation software was used to simulate the primary melting process of TB9 titanium alloy VAR, and the influence of melting current and arc stabilization type on the melting process was investigated. By analyzing the element distribution, molten pool depth and impurity throwing path of ingot under different technological conditions, the optimal primary melting process was obtained. Using the original process and optimized process parameters, the whole process of tertiary VAR melting process of TB9 titanium alloy was simulated, and the element distribution of tertiary ingots was obtained. The results show that there is a “genetic” phenomenon in the process of multiple melting. After optimizing the original process of primary melting in this factory, the composition uniformity of tertiary finished ingots can be significantly improved.
Analysis of factors affecting the gloss of titanium dioxide in coatings
Zou Yong, Li Gang, Li Li, Ke Lianghui, Chen Xinhong
2024, 45(3): 33-38. doi: 10.7513/j.issn.1004-7638.2024.03.005
Abstract(495) HTML (189) PDF(18)
Abstract:
Aiming at the differences in the application performance of titanium dioxide at home and abroad, the morphology of different titanium dioxide products including GT1, GT2 and MT were analyzed by SEM, TEM, EDS, XPS and FTIR. The influencing factors of the glossiness of titanium dioxide in coatings were studied. The results show that the MT particle size is centrally distributed in the range of 0.1-0.5 μm, with a mean particle size of 0.249 μm. The MT surface envelope has a high degree of integrity, with the thickness of the envelope layer ranging from 1.2 to 4.5 nm. The MT surface has a high hydroxyl content, with low oil absorption and specific surface area, and good dispersion in the coating. This is because the surface structure of foreign titanium dioxide MT is better than that of GT1 and GT2, so that the gloss of MT in coatings is higher than that of domestic titanium dioxide products GT1 and GT2.
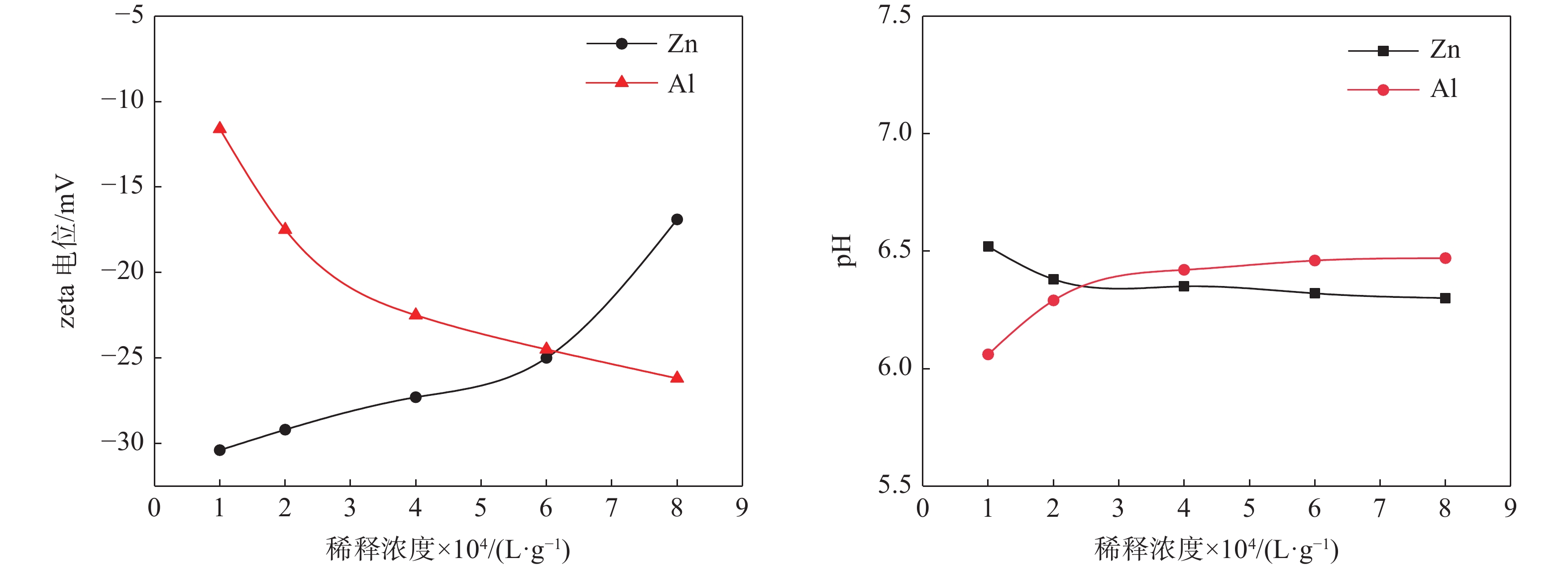
Comparative study of dispersion performance of the zinc and aluminum salt treated rutile titanium dioxides
Liu Chan, Yin Hongyao, Yang Fang, Lu Ruifang
2024, 45(3): 39-45. doi: 10.7513/j.issn.1004-7638.2024.03.006
Abstract(473) HTML (180) PDF(14)
Abstract:
In this paper, the effects of TiO2 concentration, pH of the dispersion system and surface adsorbed chemical ingredients on the zeta potential of the zinc and aluminum salt treated rutile titanium dioxides produced by the manufacturer were systematically studied. The differences of the dispersion stability of the zinc and aluminum salt treated rutile titanium dioxides were compared and analyzed. The results show that with the increase of dilution concentration, the dispersion of aluminum series becomes more and more stable, while that of zinc series becomes unstable. The pH of the dispersion solution increased from 4.0 to 10.0, and the zeta potential of the aluminum series primary product was more significant than that of the zinc series primary product, that is, the aluminum primary product was more easily dispersed and stable. After surface desulphurization and dehydroxylation of primary products, the variation of zeta potential of aluminum and zinc series primary products with pH did not change, which proved that the surface adsorbed chemical ingredients were not the fundamental influencing factors of differences of dispersion of the two series primary products. It was further proved that Zn2+ or Al3+ doping was the root cause of the difference of dispersion stability of the two series primary products through the single salt treatment and calcination test in the laboratory. Moreover, the calcination temperature had a significant effect on the surface charge of the primary products, and the effect on the aluminum series primary product was more significant.
Application of Vanadium and Titanium
Optimization of the investment casting process and defect control for variable cross−section components of TC4 alloy
He Tongzheng, Chen Yuyong, Wu Jingxi, Luo Guojun, Shen Xuanjin, Tang Liying
2024, 45(3): 46-54. doi: 10.7513/j.issn.1004-7638.2024.03.007
Abstract(547) HTML (251) PDF(29)
Abstract:
In this study, the centrifugal investment casting process was optimized using ProCAST software based on an orthogonal experiment for TC4 alloy variable cross−section components. Simultaneously, the mold filling and solidification behaviors of the castings were investigated in detail, and the quality and mechanical properties of the castings were characterized. The results show that a small amount of shrinkage porosity is discretely distributed in the middle and bottom of the casting, while a large concentration is discretely distributed at the top. The formation of isolated liquid phase zones is the main reason for the shrinkage porosity, and the termination of melt metal flow exhibits the characteristics of a narrow crystallization temperature range. At the same time, the stress concentration mainly occurs at the connection between the inner sprue and the casting, and the major cause of it is the large structural change. The internal quality and dimensions of the casting were characterized, and it was discovered that there is no shrinkage porosity, the casting dimensions better satisfy the design requirements, and there is no visible deformation. The room-temperature tensile strength (UTS) of the hot isostatic pressing (HIPed) castings is 953.5 MPa, the yield strength (YS) is 835.0 MPa, and the elongation (EL) is 10.0%, which can better meet the actual service demands.
Effect of post heat treatment on the microstructure and properties of as-annealed TC4 ELI alloy
Yin Yanchao, Sun Zhijie, Xue Da, Suo Yongyong, Liu Haibin
2024, 45(3): 55-64. doi: 10.7513/j.issn.1004-7638.2024.03.008
Abstract(688) HTML (203) PDF(23)
Abstract:
The effects of post heat treatment on the microstructure and mechanical properties of annealed TC4 ELI alloy investigated by optical microscopy (OM), transmission electron microscopy (TEM), scanning electron microscopy (SEM), tensile and Charpy impact test at room temperature. The results show that the "bimodal → equiaxed" reverse transformation occurs in the annealed TC4 ELI alloy after aging at 520-720 ℃, and the strength increases first and then decreases. The impact toughness of the annealed TC4 ELI alloy decreases to the lowest value at 560 ℃, then increases slightly with the increase of temperature. The appearance of aging α phase is the main reason for the deterioration of impact toughness, while the precipitation of α2 phase has little effect. The strength of TC4 ELI alloy aged at 620 ℃ increases slightly after high temperature treatment. When the temperature rises to the β phase region, the coarsening of the microstructure causes a sudden drop in yield strength, and the appearance of the α phase at the grain boundary causes a sudden drop in plasticity. After high temperature treatment, the aging α phase disappears, and the impact toughness is recovered to a greater extent.
Effect of SDBS addition on properties of bismuth vanadate yellow pigment powder
Yin Xianglu, Zeng Zehua, Zhang Dongbin, Dai Yu, Yuan Xinran, Liu Tianhao, Yang Yadong, Yong Lingling
2024, 45(3): 65-70, 85. doi: 10.7513/j.issn.1004-7638.2024.03.009
Abstract(419) HTML (155) PDF(15)
Abstract:
In this paper, sodium dodecylbenzene sulfonate (SDBS) was used as structure directing agent to prepare bismuth vanadate pigment nanopowder by liquid phase method.The influence of SDBS on the morphology, phase, and chromaticity value of bismuth vanadate was investigated.The results show that SDBS can promote the growth of bismuth vanadate 121 crystal plane during the preparation of bismuth vanadate. At the same time, it effectively reduces the particle size of bismuth vanadate, improves the dispersion stability of bismuth vanadate particles and achieves the regulation of the color tone of bismuth vanadate. When the amount of SDBS added is 1.0, the prepared bismuth vanadate has a monoclinic scheelite structure. The particles show no obvious agglomeration, with an average size of 115.21 nm and a concentrated distribution, with 89% of the particles ranging in the size from 50 to 150 nm. The transformation of bismuth vanadate from red to yellow to green was achieved, while the brightness L* of bismuth vanadate was improved, with a chromaticity value of L*=89.10, a*= −2.54 and b*=71.82.
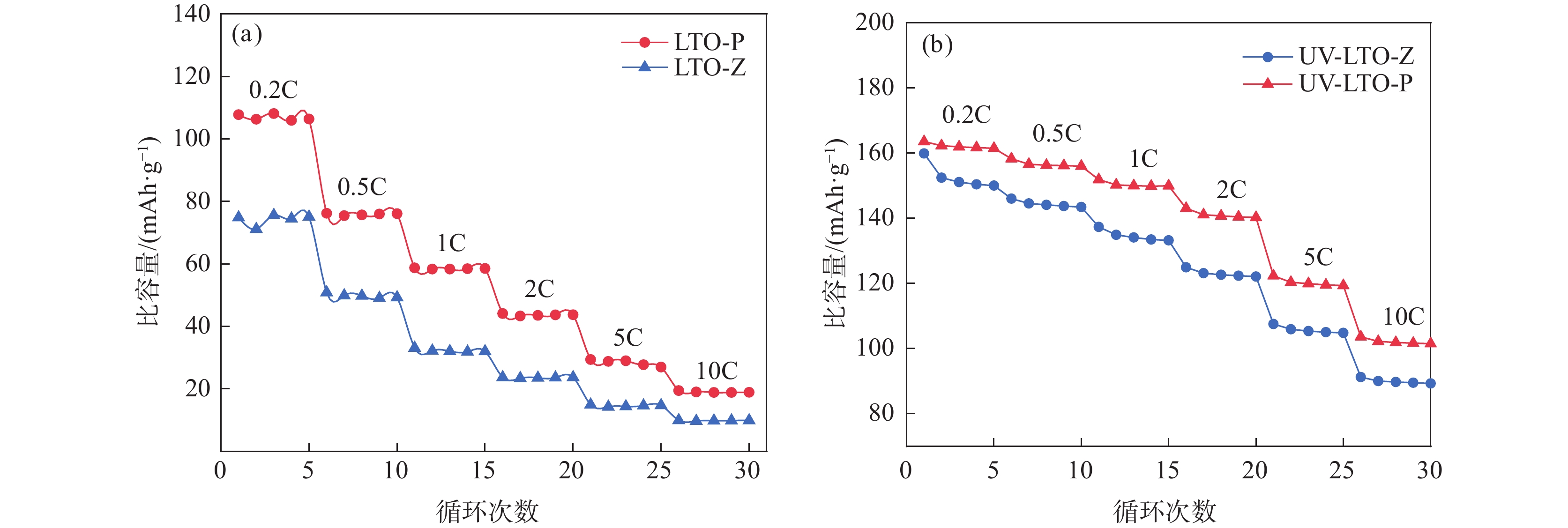
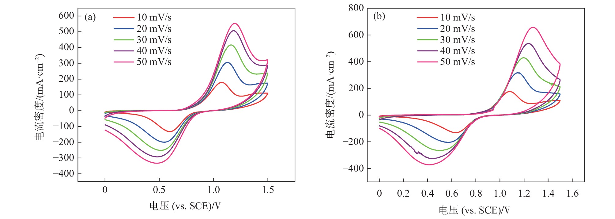
Carbon coating, UV irradiation modification of lithium titanate and their electrochemical properties
Li Yunfeng, Wu Chuanbao, Wang Yunwei, Ran Siyu, Zheng Yuqian
2024, 45(3): 71-78. doi: 10.7513/j.issn.1004-7638.2024.03.010
Abstract(413) HTML (171) PDF(14)
Abstract:
Lithium titanate (Li4Ti5O12, abbreviated as LTO) has become an important anode material for lithium-ion batteries due to its structural "zero-strain" property. However, the low electronic conductivity of lithium titanate limits its high-rate performance. In this paper, a light-assisted sol-gel method was proposed to prepare LTO/C anode materials, the effects of different carbon source ratios and light irradiation on the microstructure and electrochemical properties of LTO/C were investigated. Compared with the results of sucrose as the carbon source, the rate performance of the LTO/C with glucose as the carbon source is better due to the higher degree of graphitized carbon coated on the surface of LTO. Under the UV irradiation condition, the reduction of LTO/C particle size makes the discharge specific capacity of UV-irradiated LTO/C higher than that of LTO/C without UV irradiation at different rates. The discharge specific capacity of the LTO/C sample prepared with 20% glucose as carbon source assisted with UV irradiation process reaches 101.5 mAh·g−1 at 10 C.
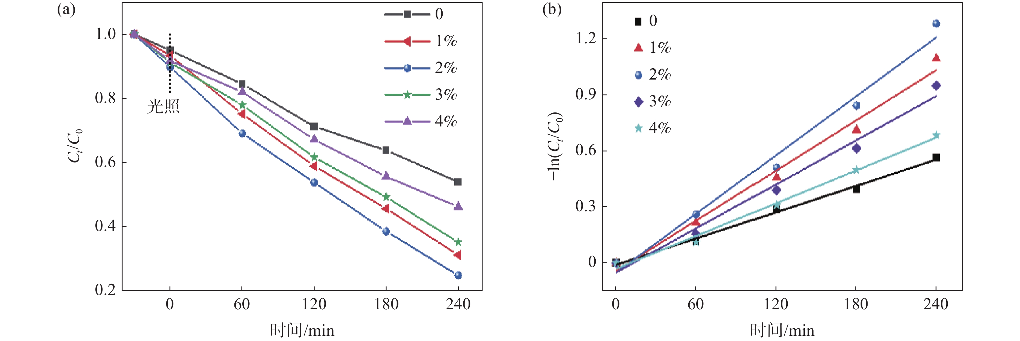
Study on preparation and photocatalytic performance of mint carbon dots/TiO2 composite photocatalyst
Zhang Ying, Ren Wang, Zheng Xingwen, Zhou Huimian, Qu Xiang, Li Minjiao
2024, 45(3): 79-85. doi: 10.7513/j.issn.1004-7638.2024.03.011
Abstract(613) HTML (298) PDF(16)
Abstract:
In this study, mint powder was employed as biological carbon source to prepare mint carbon dots (mint-CDs)/TiO2 composite photocatalyst by a one-step hydrothermal method. The structure, morphology, specific surface area and photogenerated charges separation characteristics were carefully investigated by X-ray diffraction (XRD), scanning electron microscopy (SEM), Fourier transform infrared spectroscopy (FT-IR), Brunauer-Emmett-Teller (BET) method, and surface photovoltage spectroscopy (SPS). Rhodamine B (RhB) was employed as model pollutant to study the photocatalytic activities of mint-CDs/TiO2 photocatalysts. The results show that mint-CD improve the photocatalytic activity of TiO2, and superoxide free radical •O2 is the main active free radical in the photocatalytic degradation reaction. When the mass ratio of mint-CDs/TiO2 is 2%, the composite photocatalyst demonstrates the maximum photogenerated charges separation efficiency and degradation activity for RhB, and the photocatalytic activity was increased by 2.24 times compared with reference TiO2.
Study on microstructure and wear properties of TiAl alloy deposited by laser melting
Wang Haijiang, Liu Zhanqi, Liang Jianhui, Yin Guili, Zhu Xiaoou
2024, 45(3): 86-91. doi: 10.7513/j.issn.1004-7638.2024.03.012
Abstract(376) HTML (154) PDF(9)
Abstract:
One-layer, three-layer and five-layer Ti-48Al-2Cr-2Nb alloy samples were prepared on TC4 substrate by coaxial laser powder-feeding deposition manufacturing process. The microstructure, crack morphology, wear surface morphology and phase composition of the deposited layer were analyzed by optical microscope (OM), scanning electron microscope (SEM), energy dispersive spectrometer (EDS) and X-ray diffraction (XRD). The test results show that the number of cracks on the surface of the sample deposited with one layer is less, and the samples deposited with three and five layers have more surface cracks and the number of cracks is not much different. As the number of sedimentary layers increases, the microstructure in the sedimentary layer transits from a basket structure to a lamellar structure, and the phase change in the structure is from a single phase α2 to α2+γ dual phase transition. As the α2 phase content decreases, the wear resistance decreases, and the average friction coefficient increases from 0.34 to 0.55.
Resources Environment and Energy Saving
Safety risk and prospect analysis of titanium gypsum on soil utilization
Yun Yi, Wang Gang, Su Haifeng
2024, 45(3): 92-100. doi: 10.7513/j.issn.1004-7638.2024.03.013
Abstract(695) HTML (310) PDF(26)
Abstract:
Up to now, the resource utilization rate of titanium gypsum is less than 10%, and there is no application field that can be consumed on a large scale, and soilization may be an important direction. In this paper, titanium gypsum was proposed as a soil resource, and the safety problems faced by it as a soil resource utilization were analyzed, and the basic properties and safety risks of it as soil were explored. The safety risk of titanium gypsum was evaluated by leaching toxicity, its physicochemical properties and feasibility in soil utilization were also analyzed, and its soil risk and nutritivity were investigated by Nemero index (P). The results show that the physical and chemical properties of titanium gypsum are suitable for further resource utilization as soil parent material, and there is no serious environmental risk within the limit range of 8 heavy metals stipulated in the national agricultural soil and green soil standards. However, the content of heavy metals such as vanadium exceeds the standard of organic substrates used in greening and may become new pollutants. In view of the above results, it can be considered as a soil resource utilization after the nutritional improvement and the elimination of heavy metal pollution risk. This study provides a reference for the utilization of titanium gypsum as soil resources and the direction of large-scale consumption.
Distribution behavior of chromium and sulfur elements during co-treatment of vanadium extraction tailings and red mud
Wang Chunhui, Yu Jian, Feng Xiaoming, Zhang Yanling, Zhang Shuai
2024, 45(3): 101-106. doi: 10.7513/j.issn.1004-7638.2024.03.014
Abstract(354) HTML (171) PDF(14)
Abstract:
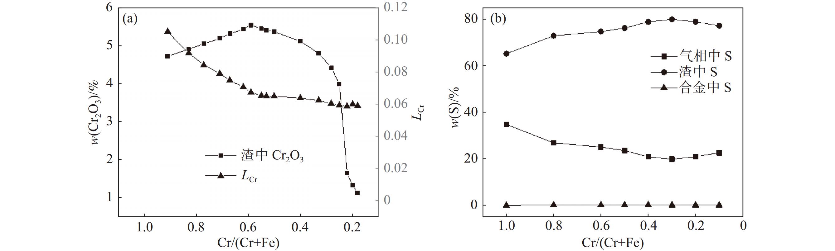
The process of blast furnace iron-oxygen top blowing converter blowing vanadium extraction-vanadium slag followed by sodium roasting-water leaching and vanadium extraction will form vanadium tailings containing 30%~40% Cr2O3, forming an annual accumulation of millions of tons of solid waste. In this study, the vanadium tailings were extracted by synergistic reduction of high-iron red mud, and the Fe2O3 in the red mud was reduced by carbon at a temperature lower than the initial reduction temperature of chromium oxide, which promoted the rapid progress of chromium reduction and improved the recovery efficiency of Cr. The whole reaction system was simulated by FactSage thermodynamic software, and the effects of the chromium iron ratio, slag alkalinity and C/Si content on the partition behavior of chromium and sulfur were calculated. The suitable Cr/Fe ratio of the raw materials was 0.18, the alkalinity of the slag was 1.8, the amount of carbon was nC/O = 1.1, and the amount of Si was nSi/O = 0.2. This study provides a new feasible scheme for the resource treatment and value-added application of Cr-containing vanadium tailings and high-iron red mud.
Optimization of reduction leaching conditions for pyrite cinder using titanium dioxide waste acid by response surface methodology
Wang Qinghong, Tian Congxue, Wu Xiukun
2024, 45(3): 107-113. doi: 10.7513/j.issn.1004-7638.2024.03.015
Abstract(315) HTML (159) PDF(11)
Abstract:
The reduction leaching conditions for pyrite cinder leaching by titanium dioxide waste acid were investigated and optimized, using the response surface methodology designed by Box-Behnken method, and the iron powder dosage, reduction time, and leaching temperature were selected as the three variables. The established predictive model for leaching conditions was with good fitting results to predict leaching yields or optimize leaching variable values. The regression equation model was significantly reliable, with a correlation coefficient R2 of 0.9961. The leaching conditions had important effects on the leaching reaction equilibrium, solubility of leached materials, and properties of reaction systems, among which the synergistic interaction between iron powder dosage and leaching temperature had the greatest impact. The verification experiments confirmed that the leaching yield values could be achieved over 83.63% under the optimal conditions, with the iron powder dosage of 10.347 g, reduction time of 2 h and leaching temperature of 88 ℃.
Enhanced dispersion-magnetic separation tests for micro-fine titanomagnetite in Panxi area
Liu Caipeng, Wang Weiqing, Sun Jinrui, Xiong Huiming, Liu Liu
2024, 45(3): 114-120. doi: 10.7513/j.issn.1004-7638.2024.03.016
Abstract(337) HTML (153) PDF(17)
Abstract:
Due to the heterogeneous coagulation of fine-grained gangue minerals and titanomagnetite in the mixed rough concentrate of a fine-grained titanomagnetite in Panxi area, the iron extraction and impurity reduction index of conventional low-intensity magnetic separation is poor. The enhanced dispersion-magnetic separation can effectively improve the separation effect and improve the separation index. In order to strengthen the separation of fine-grained iron minerals in the ore samples, the experimental study on the process conditions of enhanced dispersion-magnetic separation was carried out to investigate the effects of dispersant type, dispersant dosage, slurry pH, magnetic field strength and other factors on the separation effect. The test results show that under the conditions of 20% slurry concentration, mechanical stirring speed of 1 992 r/min, stirring time of 3 min, dosage of SHMP of 1 000 g/t, slurry pH of 10 and magnetic field strength of 300 kA/m, a good index of 57.69% iron grade in concentrate and 98.10% iron recovery was obtained. Compared with the results of direct magnetic separation, the iron grade increased by 1.26%. DLVO theoretical analysis shows that sodium hexametaphosphate increases the electrostatic repulsion between titanomagnetite and titanaugite by reducing the surface potential of titanomagnetite and titanaugite, thus weakening the heterogeneous coagulation of fine gangue minerals and titanomagnetite.
Ferrous Metallurgy and Materials
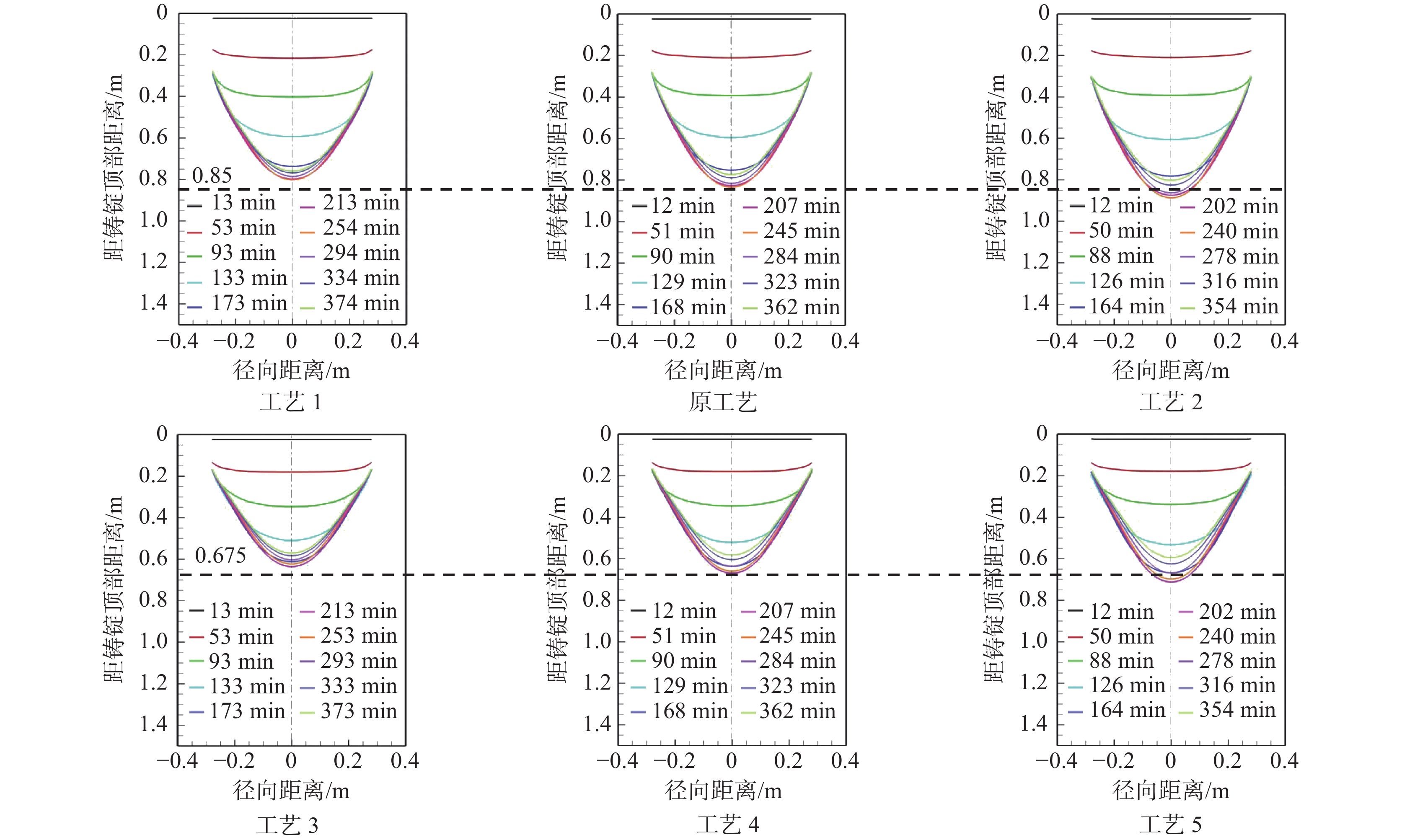
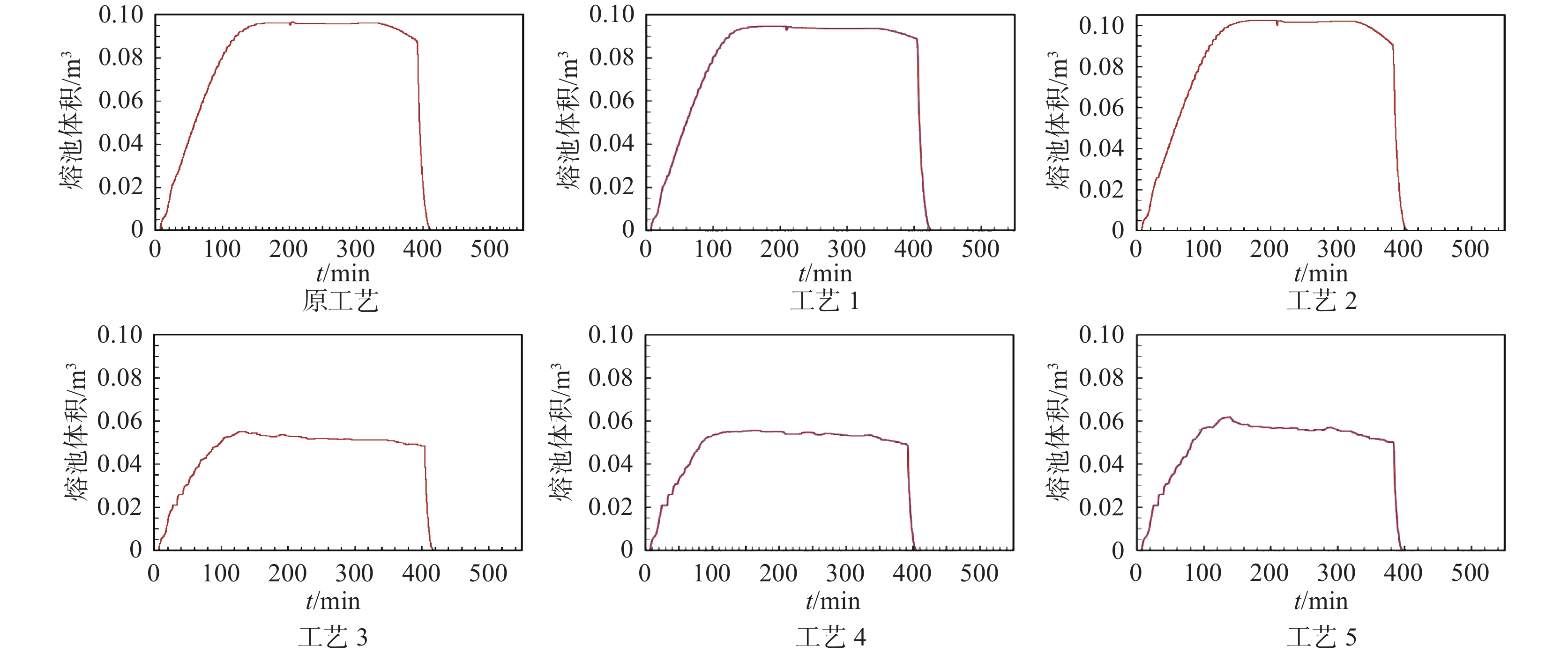
Simulation of operation inner profile of blast furnace with smelting vanadium-titanium magnetite
Dong Xiaosen, Rao Jiating, Zheng Kui
2024, 45(3): 121-130, 154. doi: 10.7513/j.issn.1004-7638.2024.03.017
Abstract(511) HTML (212) PDF(22)
Abstract:
Based on the design parameters and production conditions of a vanadium-titanium magnetite smelting blast furnace, a numerical model of the vanadium-titanium blast furnace operation inner model was established through a MATLAB calculation software in order to study the slag adhering situation of the furnace wall within high temperature zone of the blast furnace operation. The predicated results show that the heat load of the furnace wall within high temperature zone is mostly below than 12 kW/(m2·s) due to the weaker airflow control at the edge of the blast furnace. The temperature on cooling staves is close to that on shell. Besides, It is higher than 100 mm, and the slag skull thickness at the hot surface on staves is generally higher than 100 mm while unevenly distributed, even reaching up to more than 200 mm at specific directions. Compared with ordinary blast furnaces, vanadium-titanium magnetite smelting blast furnaces show stronger slag adhering capacity within high-temperature zones given the same thermal load. Considering safety and slag skull stability, the heat load of vanadium-titanium blast furnace cooling staves should be controlled within 10.50~34.50 kW/ (m2·s).
Research progress and development direction of steel grade transition
Song Sicheng, Sun Yanhui, Wu Huajie, An Hanghang
2024, 45(3): 131-140. doi: 10.7513/j.issn.1004-7638.2024.03.018
Abstract(411) HTML (250) PDF(17)
Abstract:
The demand for high value-added steel grades is relatively low, and more than one steel grade needs to be produced per casting sequence. Industrial tests of the steel grade transition carried out by domestic enterprises is sorted out in this paper. The application of water model experiment and numerical simulation in the steel grade transition is described. And the influence of tundish level, non-isothermal casting, tundish furniture, mold fluid domain structure, casting speed and electromagnetic braking on the length of transition billets is mainly summarized. After evaluating the four main mathematical models for judging the steel grade transition, the idea of formulating the specification for the steel grade transition and studying the new model for the steel grade transition is finally put forward. It can be concluded that the steel grade transition realizes the efficient production of new steel grades, reduces the production cost of enterprises. combining the disciplines of artificial intelligence and metallurgy practice can provide a new development direction for metallurgical engineering.
High-temperature heat capacity and metallurgical performance of Ca3TiFe2O8
Zeng Junjie, Li Gang, Chen Lian, Xue Yuxiao, Lü Xuewei
2024, 45(3): 141-146. doi: 10.7513/j.issn.1004-7638.2024.03.019
Abstract(359) HTML (163) PDF(9)
Abstract:
The quality of the sintered iron ores is dominated by their bonding phases properties. The calcium ferrite system containing TiO2 was investigated to promote the efficient utilization of vanadium and titanium magnetite resources in the field of sintering. In this paper, Ca3TiFe2O8 (CFT) was found in titanium-bearing sintering ores, and CTF was successfully prepared by solid-state reaction. The high-temperature heat capacity of CTF was determined by the Drop method, and the corresponding fitting function was obtained. In addition, the metallurgical properties (including melting properties and reduction behavior) of CTF were determined. The results showed that the softening, melting and flowing temperatures of CTF were 1418 ℃, 1461 ℃ and 1480 ℃, respectively. The non-isothermal reduction results showed that CTF was reduced to Fe, CaO and CaO·TiO2 in one step, and the reduction process of CTF was completed when the temperature reached 1150 ℃.
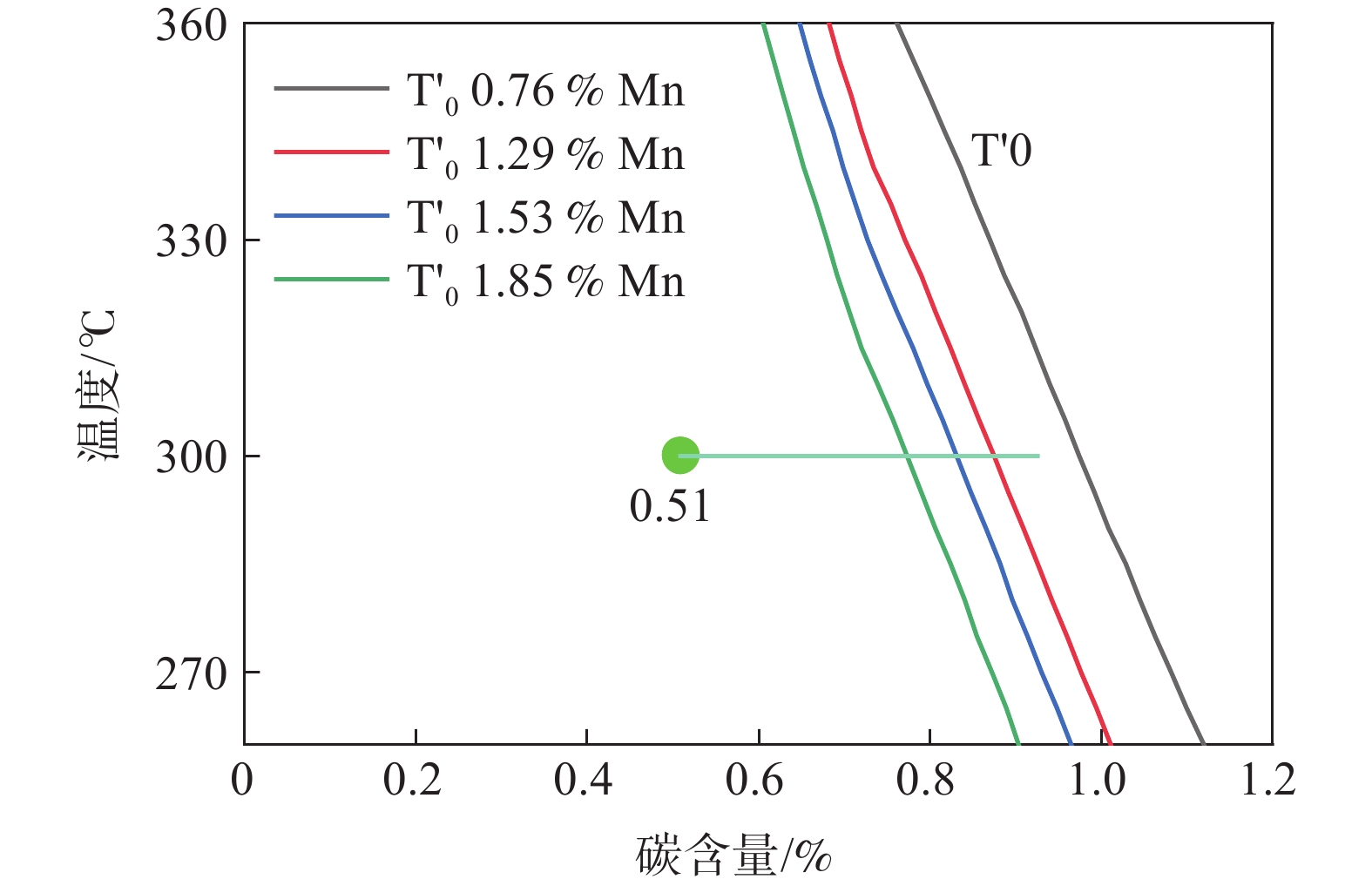
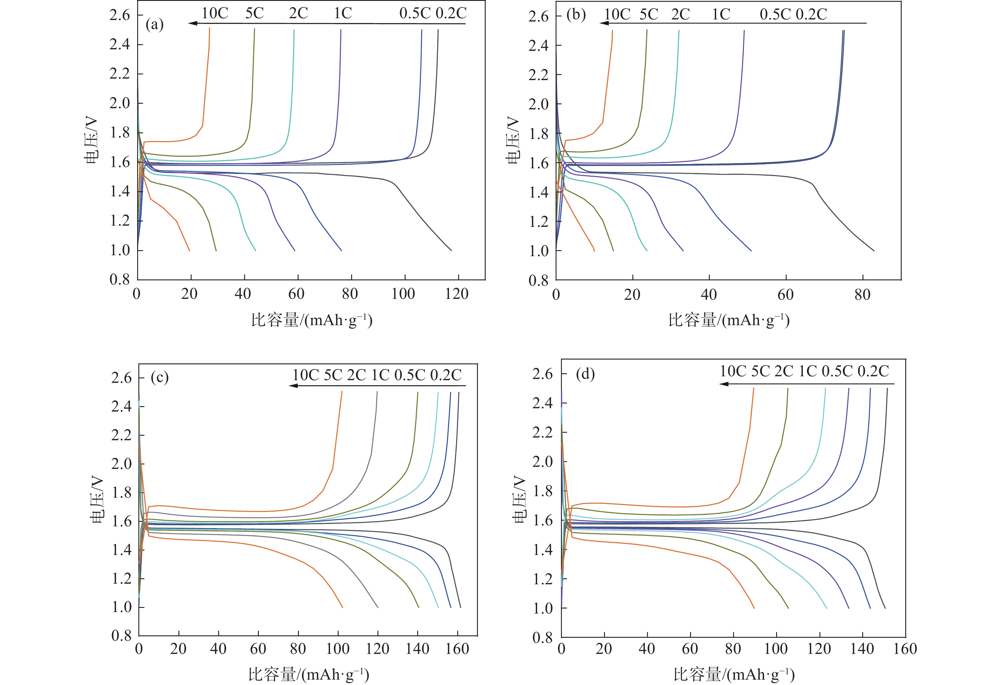
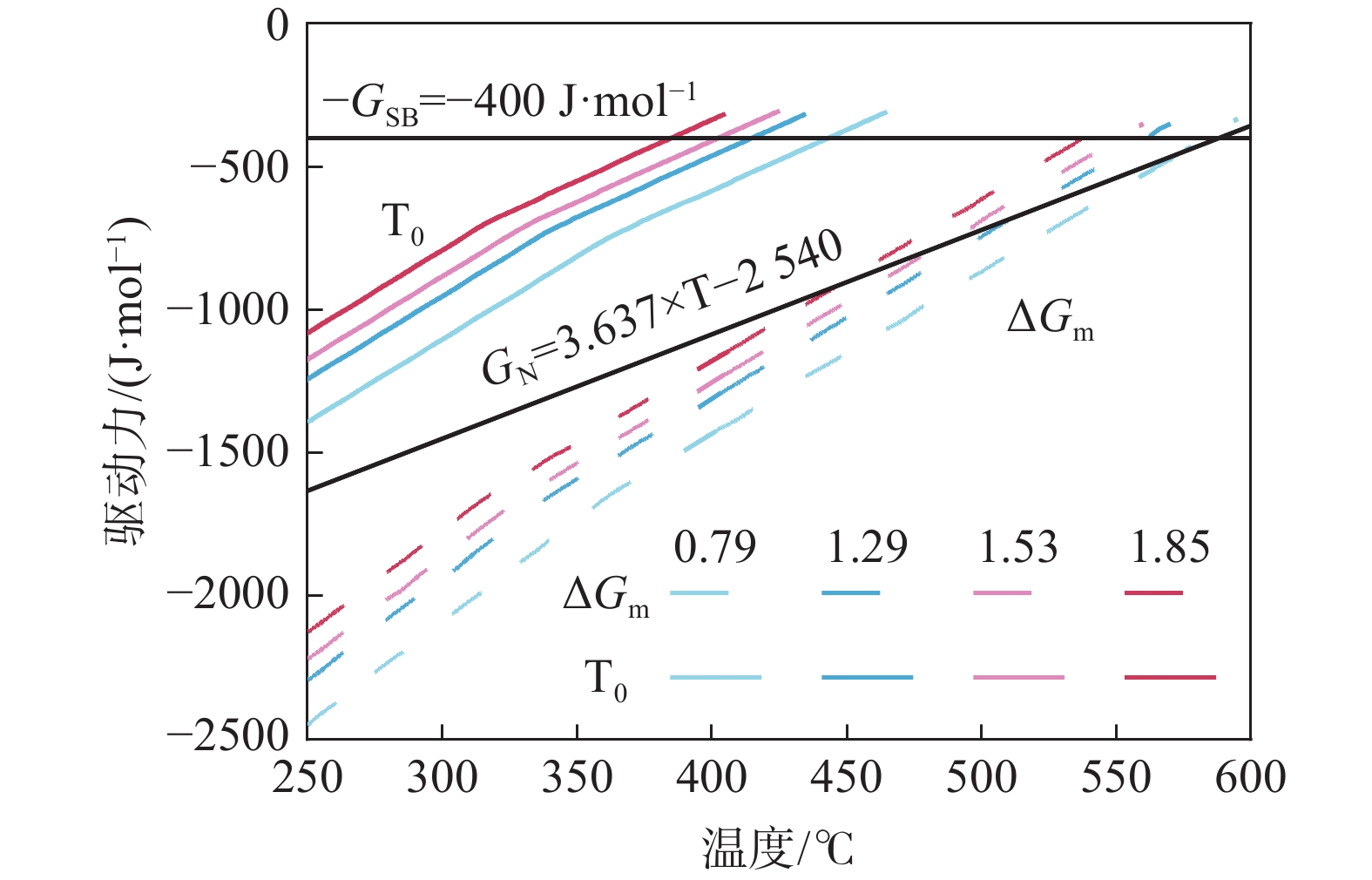
Effect of Mn content on microstructure and mechanical properties of medium carbon low Si bainitic steel
Yu Jinrui, Yu Xinhong, Zhang Yu, Feng Yisheng, Zhao Ertuan
2024, 45(3): 147-154. doi: 10.7513/j.issn.1004-7638.2024.03.020
Abstract(472) HTML (218) PDF(24)
Abstract:
Four medium-carbon low-Si bainitic steels with different Mn contents(0.76%, 1.29%, 1.53%, 1.85%) were designed and smelted. The effect of manganese content on the microstructure and mechanical properties of the test steel was studied by OM, SEM, XRD and tensile and impact tests. The results show that the phase transformation between ferrite and pearlite is inhibited by manganese. Manganese addition decreases the nucleation driving force of bainite, causing the declining maximum transformation amount of bainite, and increases the size and content of the remaining supercooled austenite after bainite transformation stagnation. Most of the remaining austenite decomposes into coarse carbide and ferrite mixed structure in the subsequent isothermal process, and forms local coarse structure around the bainite lath. A small amount of the austenite stabilize to room temperature and then form retained austenite. With the increase of manganese content, the yield strength and impact toughness of the test steel gradually decrease, and the tensile strength firstly increase and then decrease due to the competition between alloying and microstructure coarsening. Considering the complexity of heat treatment and balanced mechanical properties of bainitic steel, 1.29% manganese content is proposed for spring steel.
Formation and evolution of non-metallic inclusions in 20CrMnTiH gear steel during LF-RH-CC process
Wang Zhangyin, Chen Liang, Chen Xiong, Li Pingfan
2024, 45(3): 155-161. doi: 10.7513/j.issn.1004-7638.2024.03.021
Abstract(336) HTML (130) PDF(9)
Abstract:
The formation and evolution of non-metallic inclusions in 20CrMnTiH gear steel during LF-RH-CC process were analyzed by industrial trials, and the transformation trend of non-metallic inclusions during reoxidation and cooling solidification in 20CrMnTiH gear steel was analyzed by thermodynamic calculations. During LF refining, inclusions experience evolutions from Al2O3 to MgO-Al2O3 and CaO-MgO-Al2O3. After calcium treatment, inclusions are modified into CaO-MgO-Al2O3 and CaO-Al2O3-CaS. After calcium treatment at the end of RH vacuum refining, inclusions are modified into CaO-Al2O3-CaS with high CaS contents and CaO-MgO-Al2O3. During continuous casting, the content of CaS in inclusions increase with the reoxidation of steel. Thermodynamic calculations reveal that when 0.000 3% to 0.000 5% [Ca] is added to the steel, MgO-Al2O3 would be formed in the steel. When 0.000 5% to 0.000 7% [Ca] is added to the steel, liquid calcium aluminates would be largely formed. When the content of [Ca] exceeds 0.000 7%, CaS would be formed. Moreover, liquid inclusions would be gradually transformed into solid inclusions with the reoxidation of steel. With the decrease of temperature, the contents of CaO and CaS in inclusions decrease and the contents of MgO and Al2O3 in inclusions increase, leading to the formation of CaS-CaO-MgO-Al2O3 with high CaS contents eventually.
Research on the influence of various process parameters on the properties of 304 stainless steel prototypes by electron beam free form fabrication
Huang Xingguang, Sun Baofu
2024, 45(3): 162-168. doi: 10.7513/j.issn.1004-7638.2024.03.022
Abstract(403) HTML (153) PDF(10)
Abstract:
304 stainless steel wire with a diameter of 1 mm was used as the material to prepare 304 stainless steel samples using electron beam fusion deposition technology (EBF3) for mechanical properties and microstructure analysis. Nine sets of experimental were designed for single factor experiments, where the beam intensity, wire feeding speed, and substrate feeding speed were changed for printing. The results showed that the tensile strength and yield strength of 9 groups of specimens were excellent, but their elongations were average. Among them, when the beam current was 26 mA, the wire feeding speed was 1400 mm/min, and the feed speed was 400 mm/min, the characteristics of the specimens were the best, with a maximum tensile strength of 1328.92 MPa, a maximum yield strength of 711.60 MPa, and a fracture elongation of 34.45%. Through the comprehensive analysis, it can be concluded that changing the wire feeding speed has the greatest impact on the plasticity of 304 stainless steel tensile parts, and changing the moving speed has the greatest impact on the strength of 304 stainless steel specimens. In addition, the microstructure of 304 stainless steel specimens with varying beam and feeding rates was composed of austenite. While, the microstructure of specimens with varying wire feeding rates was mostly composed of austenitic transformation phases precipitates; The changes in beam flow and wire feeding speed were mainly due to changes in the composition of the microstructure, while the changes in feed speed were mainly due to changes in grain size, ultimately resulting in the properties variation of different tensile parts. During the fracture analysis by scanning electron microscopy, it was found that brittle fracture occurred in all specimens during the tensile tests.
Effect of vanadium microalloying on hydrogen embrittlement susceptibility of medium Mn based hot stamping steel
Liu Hao, Wang Zhen, Zhang Shiqi, Ge Rui, Jia Juan, Liu Jing
2024, 45(3): 169-175. doi: 10.7513/j.issn.1004-7638.2024.03.023
Abstract(387) HTML (162) PDF(19)
Abstract:
The effect of adding 0.12% vanadium on hydrogen embrittlement susceptibility of medium Mn based hot stamping steel was studied by using slow strain rate tensile, hydrogen permeability and hydrogen microprinting experiments, combined with SEM, TEM, and EBSD analysis. The results show that vanadium microalloying on hydrogen embrittlement susceptibility has double effects. On the one hand, vanadium not only significantly refines grains and precipitates a large number of nano-scale vanadium-containing carbides in steel, which greatly increases the hydrogen trap density and effectively inhibites hydrogen enrichment to the ferrite/martensite interface. Moreover, the addition of vanadium reducing the long strip-shaped ferrite and increasing the proportion of small angle grain boundaries can further restrain the continuous crack propagation and decrease the hydrogen embrittlement susceptibility. But on the other hand, vanadium increases the martensite content, which increases the risk of hydrogen embrittlement to a certain extent. Under conventional hot forming process, the beneficial effect of vanadium microalloying is more significant, which makes the test steel containing vanadium has better hydrogen embrittlement resistance.
Research on preparation of Fe-5%Si porous material and its permeability
Ji Shuai, Yuan Jiale, Liu Zhongjun
2024, 45(3): 176-181, 187. doi: 10.7513/j.issn.1004-7638.2024.03.024
Abstract(379) HTML (186) PDF(14)
Abstract:
Three groups of the same Fe-5%Si mixed powder were sintered at high temperature at 1050 , 1100 ℃ and 1150 ℃, respectively, and held for 2 h. Metallographic (OM) and scanning (SEM) microstructure observation and XRD phase analysis were performed for each sample, and the gas permeability was tested by self-assembled porous material performance detector. The results show that higher sintering temperature can generate smaller-pore porous material. The film layer will form on the cross section of the sample sintered at 1150 ℃. The cross section of Fe-5%Si porous material is composed of oxides of Fe and Si, and the higher the sintering temperature, the fewer types of oxides. There are SiO2, Fe2O3, FeO and Fe2O4 when sintered at 1050 ℃, Fe3O4, FeO and SiO2 at 1100 ℃, and FeO and SiO2 at 1150℃. The gas flow rate of the sample at 1050 ℃ increases significantly with the increase of ventilation pressure. When the ventilation pressure is 140 kPa, the gas flow rate is about 9200 mL/min. The gas flow rate of samples sintered at 1100 ℃ and 1150 ℃ has little change with the increase of ventilation pressure. When the ventilation pressure is 140 kPa, the gas flow rate of both samples is about 1000 mL/min.
Study on the microstructures and properties of high speed laser welded joints of CP800 high strength steel
Jiang Tong, Wang Dafeng, Zou Shengguang, Zeng Haolin, Ma Bing, Chen Donggao
2024, 45(3): 182-187. doi: 10.7513/j.issn.1004-7638.2024.03.025
Abstract(438) HTML (163) PDF(14)
Abstract:
In order to further improve the laser welding speed and solve the problem of weld depression in the process of high speed welding, carried out high speed laser welding of CP800 high strength steel was carried out at 12 m/min, and the influence of laser incidence angle on weld forming was studied. Under the optimal welding process parameters, the weld forming, weld quality, weld joint structure, hardness and mechanical properties were studied. The results show that when the laser incidence angle is +10°, there is basically no spatter on the surface of the weld, and the depression is minimal. In addition, under the optimal welding parameters of 12500 W laser power, 12 m/min welding speed and laser incidence angle of +10°, the surface and internal quality of the weld are better, the weld melt width is about 1.15 mm, and the width of the heat-affected zone is about 0.35 mm. Weld structure mainly consists of lathed martensitic, acicular ferrite and slight granular bainite. The measured hardness (HV) in weld ranges 402.5~408.5. The tensile strength and impact energy at room temperature of weld joint can achieve 96% and 87.5% of those of base metal respectively.
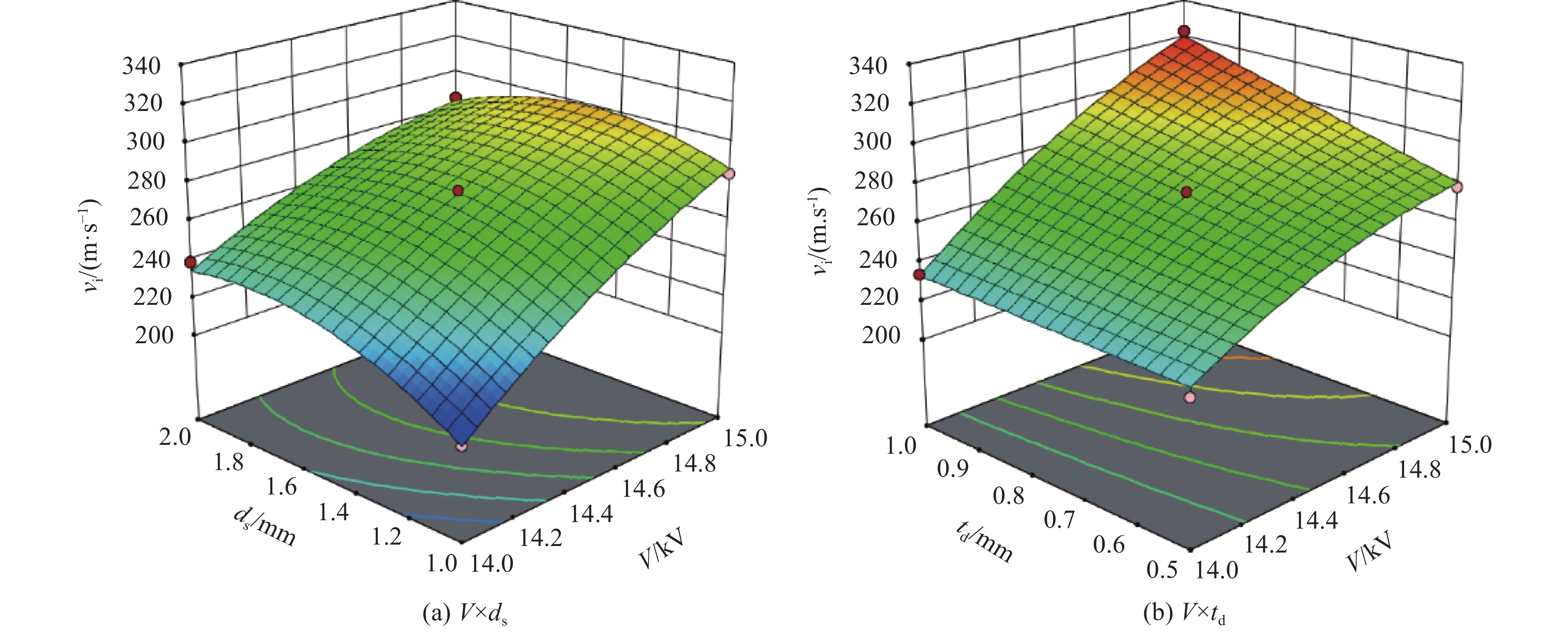
Finite element analysis of multi-physics coupling for electromagnetic welding of aluminum/steel dissimilar metals
Wang Yan, Xiong Zhilin, Ning Zhaoyang, Chen Jinlan
2024, 45(3): 188-194. doi: 10.7513/j.issn.1004-7638.2024.03.026
Abstract(399) HTML (195) PDF(15)
Abstract:
The reaction of aluminum/steel dissimilar metals welded joints to form Fe-Al intermetallic compounds deteriorates joint performance and makes welding forming difficult. In this paper, ABAQUS finite element software was used to simulate the electromagnetic-thermal-structure coupling process of dissimilar metal electromagnetic welding (EMW) to achieve high-quality aluminum/stainless steel welding with minimal energy. The experiment was designed based on the Box-Behnken response surface method, and important parameters were extracted from the process parameters such as voltage (V), separation distance (ds) and driving plate thickness (td). By drawing the Al/stainless steel welding process window, the possibility of weld formation was studied, and the validity of the EMW simulation results was verified by experiments. In order to evaluate the joint forming quality, the joint microstructure under the optimal process parameters was analyzed. The analysis of variance shows that the maximum impact velocity for high-quality welding can be obtained under V =15 kV, ds =1.5 mm and td =1 mm.
Effect of Mg on carbides in 21-4N valve steel
Ji Dengping, Zhu Haoran, Liu Beibei, Sun Han, Xu Xiangyu, Fu Jianxun
2024, 45(3): 195-199. doi: 10.7513/j.issn.1004-7638.2024.03.027
Abstract(360) HTML (177) PDF(13)
Abstract:
In order to explore the influence of different magnesium content on primary carbides in 21-4N valve steel, 21-4N valve steel with different magnesium content was smelted in a laboratory high temperature resistance furnace, and the research was carried out by use of Zeiss metallographic microscope, scanning electron microscope and electrolytic corrosion. The results show that with the increase of Mg content in 21-4N steel, both the average maximum size and area ratio of carbides firstly decrease and then increase. The addition of trace magnesium is helpful to improve the size and distribution of Cr-rich precipitated carbides in steel. When the mass fraction of magnesium is 1.6×10−5, the average maximum size of precipitated carbides is 60.55 μm and its area ratio is 10.43%, and most of them are granular in steel, and the continuity is destroyed. The reason is that the segregation of magnesium at the grain boundary can inhibit the diffusion of alloy elements such as C and Cr, and then block the continuous growth of carbide, thus achieving the effect of refining the carbide size.
Physical Testing and Chemical Analysis
Determination of rare earth elements in vanadium-titanium magnetite by ICP-MS
Liu Shujun, Lei Yong, Zhao Chaohui, Yi Jianchun, Wang Hongbin
2024, 45(3): 200-204. doi: 10.7513/j.issn.1004-7638.2024.03.028
Abstract(424) HTML (185) PDF(20)
Abstract:
Accurate and rapid determination of rare earth elements in vanadium titanium magnetite plays an important role in the efficient utilization of vanadium titanium magnetite. In view of the lack of analysis methods for rare earth elements in vanadium titanium magnetite at home and abroad, 5 representative vanadium titanium magnetite crystals from different mining areas were selected as test samples, and hydrofluoric acid, nitric acid and sulfuric acid mixed acid solution decomposition method were adopted. Combined with the characteristics of inductively coupled plasma mass spectrometer with low detection limit, high sensitivity and low interference, the instrument conditions, internal standard elements, isotope selection and mass spectrum interference during the determination of rare earth elements in vanadium titanium magnetite were studied. The results show that the signal intensity drift caused by matrix effect can be effectively reduced by using STD mode, selecting the isotopes with small interference and large abundance, and selecting the appropriate internal standard elements Rh and Re under the conditions of the optimal instrument parameters. In addition, it is found by the precision tests and standard recovery tests that the inductively coupled plasma mass spectrometry method can obtain good precision and accuracy for the determination of rare earth elements in vanadium titanium magnetite.