中文核心期刊

SCOPUS 数据库收录期刊

中国科技核心期刊

美国《化学文摘》来源期刊

中国优秀冶金期刊

美国EBSCO数据库收录期刊

RCCSE中国核心学术期刊

美国《剑桥科学文摘》来源期刊

中国应用核心期刊(CACJ)

美国《乌利希期刊指南》收录期刊

中国学术期刊综合评价统计源刊

俄罗斯《文摘杂志》来源期刊

优秀中文科技期刊(西牛计划)

日本《科学技术文献数据库》(JST)收录刊

留言板

尊敬的读者、作者、审稿人, 关于本刊的投稿、审稿、编辑和出版的任何问题, 您可以本页添加留言。我们将尽快给您答复。谢谢您的支持!

姓名
邮箱
手机号码
标题
留言内容
验证码

2023年  第44卷  第6期

钒钛分离与提取
2022年全球钒工业发展报告
吴优, 陈东辉, 刘武汉, 张邦绪, 何睿
2023, 44(6): 1-8. doi: 10.7513/j.issn.1004-7638.2023.06.001
摘要(1830) HTML (2796) PDF(446)
摘要:
从全球钒资源、产品、产能、产量、需求、进出口贸易和市场价格等方面阐述和分析了2022年钒产业的整体状况,并基于目前国内外产业运行态势对钒后市进行了展望,认为全球钒产业将进入转型发展新周期,我国需科学高效有序开发利用关键战略金属矿产资源中的钒;提前规划钒产业绿色低碳发展路径;未来几年中国依旧为全球最大的钒供需市场,全球钒市场价格在多因素调控机制下,在一定区间内呈盘整回归态势;钒电池储能将成为支撑新能源安全稳定应用的重要载体之一。
攀枝花钒钛产业发展思考及对策建议
罗金华
2023, 44(6): 9-16. doi: 10.7513/j.issn.1004-7638.2023.06.002
摘要(581) HTML (663) PDF(52)
摘要:
综合评述了攀枝花钒钛资源价值链、钒钛技术产业链以及产业聚集发展现状,对钒钛产业存在的问题及发展前景进行了分析,结合钒钛产业集群打造,提出了相关建议。认为目前攀枝花的钒渣、钛渣、钛白粉等传统低端产业产能过剩,而钒合金、高端钛及钛合金等新兴产业产能明显不足,生产规模较小。产业发展方式应从增量扩能转向调整存量、增效提质并举,加强技术创新,开发高端钒钛功能材料,提高钒钛产品附加值。钒钛产业集群化发展必须重视顶层设计,强链、延链、补链,完善配套,将资源优势彻底转变为产业优势。
钒酸盐形态分析研究
蒲宇文, 刘羲, 唐康, 徐宗源, 郑国灿, 陈燕, 刘作华, 杜军, 彭毅, 陶长元
2023, 44(6): 17-23. doi: 10.7513/j.issn.1004-7638.2023.06.003
摘要(694) HTML (196) PDF(33)
摘要:
在钒渣钙化焙烧-酸浸工艺中,产生的浸出液含有较多的杂质,其含钒相的变化情况会直接影响钒的总体回收率。在不同条件下,测定钒相在浸出过程中的迁徙和转变是一个巨大的挑战,因此研究了不同条件对钒形态的影响和转化规律。采用软件Visual MINTEQ 3.1模拟计算多钒酸结构的变化情况,为不同pH下沉钒提供了理论基础。使用基质辅助激光解吸飞行时间质谱仪(MALDI-TOF-MS)检测钒存在形态。测试结果表明,pH值较低时,V10O286−是主要物质,随着pH值的增加,VO3、V4O124−的含量增加,成为主要物质之一;浓度导致相对含量发生了变化,浓度越低,VO3含量越少,V10O286−含量越多;不同阴阳离子对钒形态影响不显著。此结果丰富了钒形态研究,为钒渣中钒元素的定向转化提供了理论基础,同时也为后续沉钒工艺提供了依据,提升转炉钒渣提钒效率。
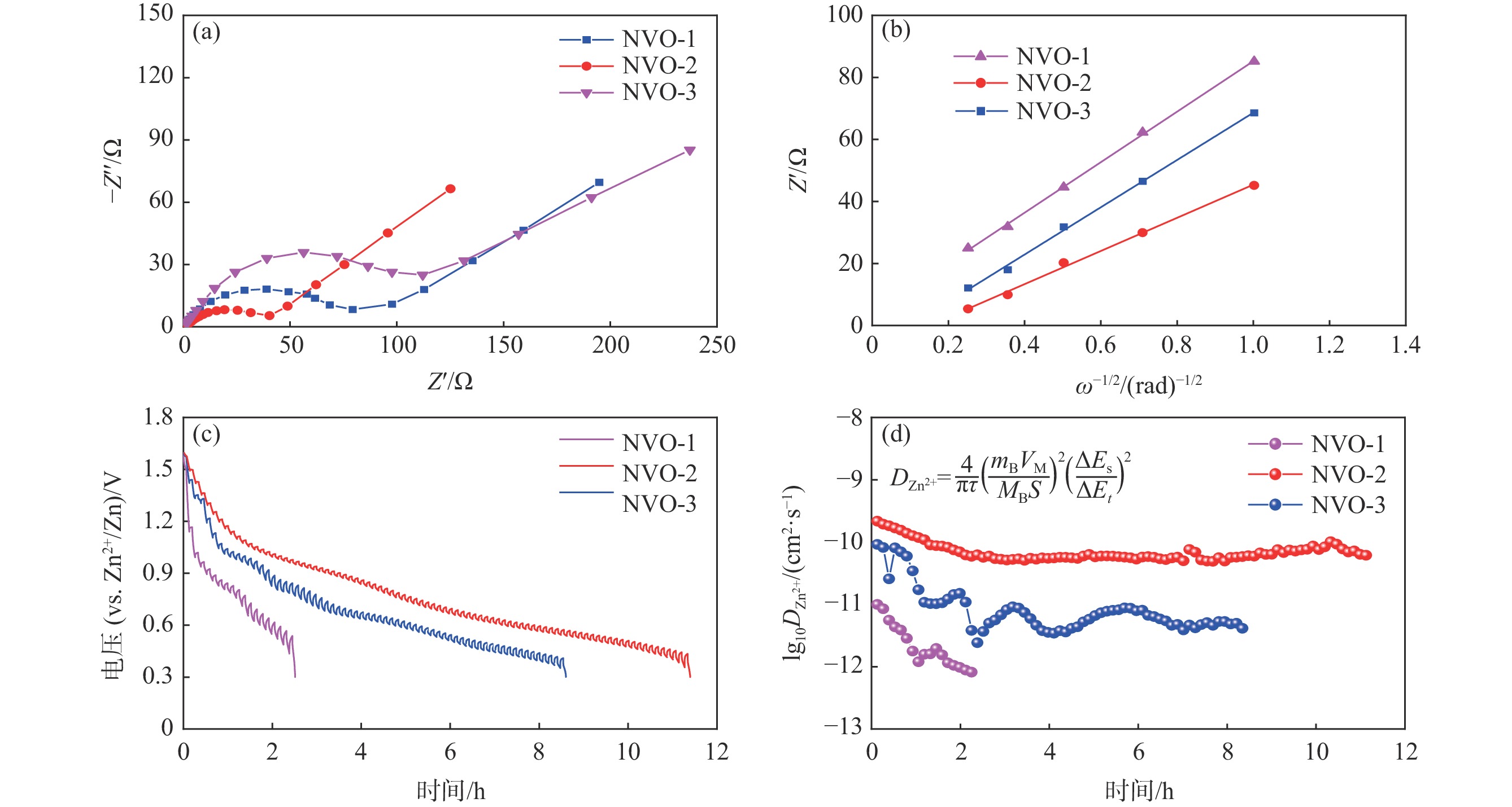
铵钒氧化物的可控水热合成及其储锌性能
杨智, 汤云淇, 卢超, 龚铭
2023, 44(6): 24-31. doi: 10.7513/j.issn.1004-7638.2023.06.004
摘要(527) HTML (170) PDF(19)
摘要:
铵钒氧化物作为水系锌离子电池正极材料具有轻质、高容量等特点,但其可控合成仍面临挑战。采用乙二醇(EG)辅助调控的一步水热法成功制备出一系列物相与形貌不同的铵钒氧化物。研究表明,当EG添加量由0 mL增加到1.6 mL,水热产物由带状(NH4)2V6O16转变为棒状NH4V4O10;当EG添加量为18 mL时,所得产物为片状(NH4)2V4O9。对比发现,棒状NH4V4O10表现出最佳的电化学性能,其在0.1 A/g电流密度下展现出415.8 mAh/g的高比容量,经过12000次循环(10 A/g电流密度下)后的容量保持率高达94.1%。NH4V4O10卓越的电化学性能得益于其单连接的氧原子与NH4+之间相互作用形成的稳定层状结构,有效增强了其循环稳定性,纳米棒状形貌以及明显的电容效应提升了其倍率性能和动力学特性。
超声强化钒铬滤饼湿法浸出行为研究
龚倩, 王星星, 金贵炫, 黄金磊, 唐丹, 黄辉胜, 李兵, 石文兵, 林银河, 彭浩
2023, 44(6): 32-37. doi: 10.7513/j.issn.1004-7638.2023.06.005
摘要(528) HTML (229) PDF(15)
摘要:
钒铬滤饼中钒主要以低价态的形式存在,在碱性条件下难以直接溶出,通过焙烧-浸出的方式进行回收会带来较大能耗。引入超声对钒铬滤饼的碱性湿法浸出过程进行强化,实现低价钒向高价钒的氧化转化,可提高钒的浸出率。试验研究了氢氧化钠用量、反应温度、反应时间、反应液固比和搅拌转速等参数对钒浸出率的影响,结果表明,引入超声技术可以有效强化钒铬滤饼的湿法浸出过程,提高钒的浸出率。与直接碱性浸出相比,超声强化浸出过程可以使钒的浸出率提高34个百分点。在最佳反应条件下(氢氧化钠用量为m(NaOH)/m(钒铬滤饼)=0.5 g/g,反应温度为90 ℃,搅拌转速为500 r/min,反应时间为60 min,液固比为5 mL/g,超声频率为40 kHz),钒的浸出率可达96.9%。
沉钒过程合格液成分与五氧化二钒成分的多元相关影响分析
伍金树, 饶玉忠, 伍珍秀, 蒋霖
2023, 44(6): 38-45. doi: 10.7513/j.issn.1004-7638.2023.06.006
摘要(478) HTML (175) PDF(19)
摘要:
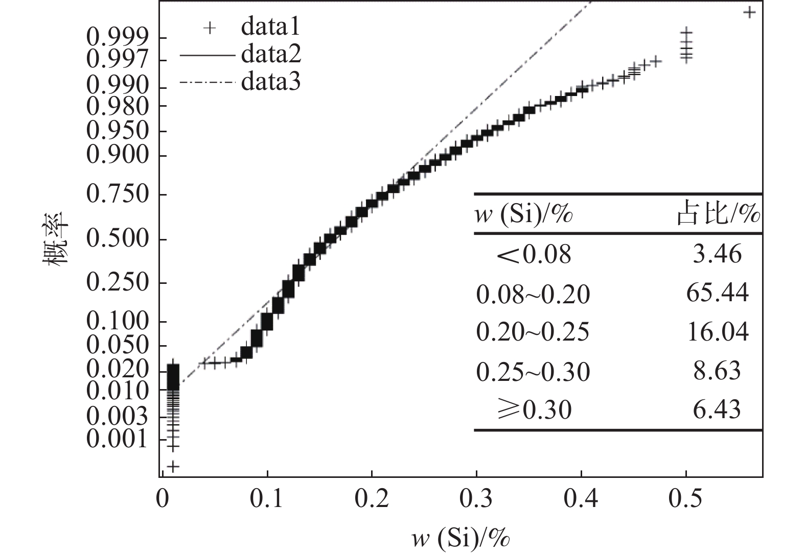
通过Pearson系数统计方法、概率密度分析方法和概率密度累积分布分析方法研究沉钒过程合格液中磷、铁、锰、硅、钒等元素对五氧化二钒成分的多元相关影响。结果表明,合格液中P、Mn含量与五氧化二钒中P含量的Pearson系数分别为0.68470.6663,线性相关程度最高;合格液中Mn与五氧化二钒中Mn的Pearson系数为0.3612,合格液中Fe与五氧化二钒中Si的Pearson系数为0.3564,具有一定的线性相关;合格液中P与五氧化二钒中Si的Pearson系数为−0.3291,合格液中V与五氧化二钒中P的Pearson系数为−0.2259,具有一定的负线性相关。合格液中其余元素含量与五氧化二钒中元素含量的Pearson系数的绝对值均小于0.16,说明相关性不强。五氧化二钒和合格液中P、Mn、Fe、Si、V含量均不服从正态分布,反映出统一样本过程不稳定,即生产过程不稳定,因此减少合格液成分异常波动,规避沉钒过程中对五氧化二钒质量产生较大影响的因素,可以提高五氧化二钒成分的稳定性。该研究为生产合格五氧化二钒提供了一定的理论技术支撑。
钒钛材料与应用
高强β钛合金的研究现状与展望
王安东, 相志磊, 周宗熠, 马小昭, 韩竟俞, 陈子勇
2023, 44(6): 46-57. doi: 10.7513/j.issn.1004-7638.2023.06.007
摘要(2510) HTML (815) PDF(251)
摘要:
对于钛合金来说,合金元素的种类以及含量对合金性能有很大的影响。而对于β钛合金,主要问题是如何选择β稳定元素以及控制β稳定元素的添加量。综述了不同合金元素对β钛合金的影响,并总结了国内外高强β钛合金的发展过程及现状。重点介绍了美国的Ti-1023、β21-S和俄罗斯的BT22、Ti-5553以及中国的Ti-5523合金。此外,从添加小尺寸间隙元素来控制合金相的大小、形态及种类的角度,对提升β钛合金强度进行了展望,以期使β钛合金的强度进一步提高。最后总结了β钛合金发展过程中遇到的困难及β钛合金可能的发展方向。
真空电磁定向凝固制备高纯TiSi2和共晶Si-Ti合金的研究
张亚坤, 雷云, 马文会
2023, 44(6): 58-63. doi: 10.7513/j.issn.1004-7638.2023.06.008
摘要(584) HTML (197) PDF(19)
摘要:
为了制备高纯TiSi2和共晶Si-Ti合金,研究新采用真空电磁定向凝固技术对Ti-Si合金进行了相分离与提纯。结果表明,真空电磁定向凝固技术可以有效地提纯Ti-Si合金;Fe、Mn和Al杂质通过其在固-液界面上的分凝效应去除(富集在顶部);Ca和Mg杂质由于蒸气压明显高于Si和Ti,因此可以通过真空挥发去除。Ti-56%Si合金(纯度96%)经真空电磁定向凝固后,在坩埚下部分离得到致密的TiSi2合金,而上部则分离得到物相均匀的共晶Si-Ti合金。由此制备的TiSi2纯度达到99.4%,共晶Si-Ti合金纯度达到99.1%(仅考虑主要杂质Fe、Mn、Ca、Mg和Al条件下)。
Ti-Al-Mo-V-Cr系新型高强耐磨β钛合金热变形与热处理研究
岳颗, 孙迎军, 彭力, 林崇智
2023, 44(6): 64-69. doi: 10.7513/j.issn.1004-7638.2023.06.009
摘要(539) HTML (163) PDF(19)
摘要:
以Ti-Al-Mo-V-Cr系高强耐磨新型β钛合金为试验对象,研究了该新型β钛合金在不同变形条件下的热变形行为,分析了热处理工艺对新型β钛合金板材力学性能和显微组织的影响。结果表明,热压缩试验中变形速率越低,变形温度越高,合金热变形抗力就越小;再结晶晶粒数量随变形速率的降低而明显增加,再结晶晶粒尺寸随变形温度的降低而明显减小。热处理试验中采用合适的热处理工艺有效改善了冷轧板材的组织和力学性能,低温时效与高温退火工艺可以使板材的抗拉强度分别达到1686 MPa与1569 MPa,洛氏硬度(HRC)均保持在50以上。
铸造烧结法制备TiC颗粒增强铁基复合材料的磨损性能
孙雪莉, 王帅, 刘晨宇, 付志强, 郑开宏, 王娟, 柯志敏
2023, 44(6): 70-75. doi: 10.7513/j.issn.1004-7638.2023.06.010
摘要(584) HTML (197) PDF(23)
摘要:
通过铸造烧结法制备TiC颗粒增强高铬铸铁基复合材料,采用EDS、SEM等检测手段研究增强颗粒对材料显微组织和磨损行为的影响规律。结果表明,与高铬铸铁相比,复合材料中由于TiC颗粒的存在使其洛氏硬度(HRC)从49提高到了60。在磨损过程中,高铬铸铁表面的M7C3型碳化物在磨粒的反复作用下出现了明显的裂纹,并逐渐向基体内扩展。破碎后的碳化物容易脱落,不能有效阻止磨粒在材料表面的犁削作用,加剧了材料的磨损。而在复合材料中,随着较软的基体相优先被磨料削除,会裸露出大量的TiC颗粒。这些表面凸起的TiC颗粒承担磨粒的主要破坏作用,从而有效保护基体材料。对比发现,在相同的磨损条件下,复合材料的耐磨性与高铬铸铁相比提高了1.95倍。
稀土对HA/Ti复合材料力学及生物活性影响的研究
范兴平, 杨成
2023, 44(6): 76-80. doi: 10.7513/j.issn.1004-7638.2023.06.011
摘要(497) HTML (182) PDF(8)
摘要:
为进一步改善HA/Ti复合材料的性能,以HA粉及商用Ti粉为原料,分别加入一定量的不同稀土化合物(CeO2、LaF3及SrO),利用粉末冶金方法制备了稀土增强型HA/Ti生物复合材料。借助X射线衍射仪(XRD)、扫描电镜(SEM)、金相显微镜及万能力学试验机,探究了三种稀土元素对HA/Ti复合材料组织结构、力学性能及生物活性的影响。结果表明,分别添加0.3%的CeO2、LaF3及SrO稀土化合物所得的三种复合材料的力学性能均得以改善,其抗压强度分别为47、91 MPa和40 MPa,而未添加稀土的HA/Ti复合材料的抗压强度仅为34 MPa;且LaF3还能进一步改善复合材料的生物活性,但添加CeO2和SrO未能改善其生物活性。
SPS烧结工艺对TiC/6061Al复合材料显微结构及力学性能的影响
张洋, 刘灿森, 王娟, 田卓, 郑开宏, 柯志敏
2023, 44(6): 81-87. doi: 10.7513/j.issn.1004-7638.2023.06.012
摘要(459) HTML (180) PDF(15)
摘要:
采用低速卧式球磨法和放电等离子烧结法(SPS)制备了2%TiC/6061Al复合材料,利用光学显微镜、扫描电镜、显微硬度仪和拉伸试验研究了不同烧结温度和压力对该复合材料致密度、显微结构和力学性能的影响。结果表明,当烧结温度为500 ℃时,烧结不充分,颗粒之间结合不紧密,导致复合材料致密度过低;当烧结温度为550 ℃时,超过了Al基体的熔点,少部分熔融Al飞溅并溢出模具,导致模具内压力不平衡,从而降低了复合材料致密度。复合材料致密度和力学性能随着烧结压力的增大而增大,故选取模具所能承受的最大压力作为最佳烧结压力。故当烧结温度为525 ℃、烧结压力为40 MPa时,该复合材料的致密度、硬度和强度均达到最大值。
资源环境与节能
攀西地区某选矿厂钛精矿提质浮选试验研究
苏馨, 胡厚勤, 王洪彬
2023, 44(6): 88-92. doi: 10.7513/j.issn.1004-7638.2023.06.013
摘要(526) HTML (227) PDF(25)
摘要:
攀西地区某选厂浮钛精矿品位为46.84%,其中脉石矿物SiO2、CaO不利于后续氯化法制钛白粉。加入抑制剂(酸化水玻璃、硫酸、水玻璃、氟硅酸钠以及木质素),均可有效抑制脉石矿物上浮,提高钛精矿品位,其中硫酸和木质素效果较好,综合成本确定硫酸为提质浮选抑制剂。采用一次浮选流程考察搅拌时间、硫酸用量、捕收剂用量对最终钛精矿品位和回收率的影响,确定搅拌时间10 min、硫酸用量2000 g/t、MOH用量2000 g/t为最佳浮选条件。在最佳浮选条件下,经过一粗一精浮选流程,可将钛精矿品位由46.84%提升至50.04%,钛精矿回收率为41.93%,且CaO+SiO2≤1.5%,满足提质要求。
转炉钢渣铝热还原回收有价元素热力学分析
曹磊, 石家豪, 高宇宁
2023, 44(6): 93-97. doi: 10.7513/j.issn.1004-7638.2023.06.014
摘要(512) HTML (228) PDF(23)
摘要:
针对转炉钢渣中铁、磷、锰及硅等有价元素的回收及钢渣资源化利用的问题,通过Factsage8.2软件热力学计算系统分析了转炉钢渣铝热还原回收有价元素的热力学条件和影响规律。结果表明,转炉钢渣的碱度对铝热还原回收FeO、P2O5、MnO的影响不大,提高转炉钢渣碱度有利于SiO2的还原回收;温度变化对FeO、P2O5、MnO回收的影响也不大,但是温度升高不利于转炉钢渣中SiO2的还原。当转炉钢渣碱度为3.18,温度为1873 K、w(Al/Slag)=20%时,铝热还原转炉钢渣回收有价元素的效果相对最佳,转炉钢渣中的FeO、P2O5、MnO、SiO2的还原率高达100%、100%、99.97%、98.12%。这为转炉钢渣铝热还原回收有价元素及钢渣资源化利用提供重要的研究基础。
钒钛铁尾矿基高强烧结透水砖的制备及性能
吴平川, 刘治兵, 刘婧, 平浩岩, 马锦涛, 王长龙, 郑永超, 荆牮霖, 齐洋, 翟玉新, 刘枫
2023, 44(6): 98-109. doi: 10.7513/j.issn.1004-7638.2023.06.015
摘要(417) HTML (208) PDF(12)
摘要:
以钒钛铁尾矿为主要原料制备高强烧结透水砖,采用正交试验法、X射线衍射(XRD)、扫描电镜 (SEM)和能谱分析 (EDS)研究了钒钛铁尾矿高强烧结透水砖的基本性能、烧结机理。结果表明,当烧结透水砖中钒钛铁尾矿掺量为77%,烧结温度为1070 ℃,保温时间110 min时,烧制的产品抗压强度和透水系数分别达到65.7 MPa和0.063 cm/s,符合《透水砖》 (JC/T 945-2005) 中Cc60级产品的要求;高强烧结透水砖烧结后的产物为透辉石(CaMgSi2O6)和普通辉石(Ca(Mg,Fe,Al)(Si,Al)2O6)。随着烧结温度和保温时间的延长,低熔点元素P、Na、K溶出,烧结产物中Fe、Al元素的含量增多,透辉石中的多数Ca2+被Fe3+置换,使得普通辉石成为主晶相。烧结产物中的孔洞随着烧结温度的提高,发生了由大小不一的密闭孔→孔径不规则的联通孔→不规则塌陷孔→孔径小且均匀圆形孔的变化,这种变化为高强烧结透水砖的透水性提供了保障。该研究提高了钒钛铁尾矿的利用率,为钒钛铁尾矿的大规模应用提供了新途径。
工业钛石膏的除铁工艺技术研究
彭沐森, 何琳, 李海艳, 罗建洪
2023, 44(6): 110-116. doi: 10.7513/j.issn.1004-7638.2023.06.016
摘要(512) HTML (259) PDF(27)
摘要:
针对硫酸酸浸钛石膏进行除铁工艺研究,去除钛石膏中的铁离子杂质,实现钛石膏纯度和白度的有效改善,为钛石膏下游产品的开发利用提供充足的原料。试验研究了固液比、反应温度、反应时间、转速、粒度和硫酸浓度等不同酸浸条件下的除铁效果,获得适宜的工艺条件,结合其物相、微观相貌、粒度分布等属性的变化情况,同时探讨了钛石膏除杂机理。结果表明,在钛石膏硫酸酸浸除杂过程中,适宜的工艺条件为:固液比为 1:10 g/g、反应温度为70 ℃、反应时间为60 min、SO42−质量分数为7%、转速为 400 r/min、粒度为150 μm,此时钛石膏除铁率可达到94%,白度有了明显的改善。
钢铁冶金与材料
烧结过程中铁矿粉粒度组成对适宜黏结相量的影响
范欣生, 都昱, 郭兴敏
2023, 44(6): 117-125. doi: 10.7513/j.issn.1004-7638.2023.06.017
摘要(453) HTML (264) PDF(9)
摘要:
铁酸钙是高碱度烧结矿的主要黏结相,其生成量与烧结矿质量有着密切关系,而适宜的黏结相量也是烧结过程中节能降碳的一个重要因素。以铁酸一钙(CF)为初始黏结相,用赤铁矿(Fe2O3)模拟铁矿粉,研究铁矿粉粒度组成对烧结中适宜的黏结相量的影响。结果表明,随着铁矿粉粒级的增加,获得同一抗压强度时烧结试样所需的黏结相量增加。相同粒度范围下,随着CF含量增加,抗压强度呈先增大后减小的变化趋势,其最大值对应于该粒度下适宜的黏结相量。不同粒级范围下,随着Fe2O3粒级的增加,最大抗压强度呈下降趋势。同时,适宜黏结相量向增加方向偏移。试验还发现,CF与Fe2O3反应有低熔点液相—高铁铁酸钙(Ca3.6Fe14.4O25.2)生成,增加了烧结中黏结相量。新相Ca3.6Fe14.4O25.2的生成随着CF含量增加和Fe2O3粒级减小而增加,揭示了初始黏结相与实际黏结相生成量的关系。
攀钢细粒级高品位钒钛磁铁精矿烧结试验研究
王禹键, 胡鹏
2023, 44(6): 126-132. doi: 10.7513/j.issn.1004-7638.2023.06.018
摘要(418) HTML (182) PDF(16)
摘要:
针对高品位钒钛磁铁矿的理化性能,开展了单烧对比试验、高品位矿不同替代配比试验和最高替代配比条件下烧结燃料配比、混合料水份及料层厚度对烧结技术经济指标的参数寻优正交试验研究,试验研究表明,高品位矿具有高铁、低硅钛、粒度更细的特点,且对混合料水分控制非常敏感。随着烧结中高品位矿配比提高,烧结指标综合评分呈降低趋势,对该种烧结矿的技术经济指标的影响从大到小依次是水分、燃料配比、料层厚度,实验室得到的该种烧结矿最优烧结条件为混合料水6.5%,燃料比4.2%,料层厚度670 mm。工业试验结果表明,在烧结中配加20%的该种矿物,烧结矿TFe品位提高0.8个百分点, TiO2含量降低0.6个百分点,转鼓指数基本不变,烧结烟气中SiO2浓度降低22%。
1800 MPa级超高强热成形钢组织性能演变及奥氏体化工艺制度研究
刘爽, 陈慧琴, 曹苗, 车鑫, 杨帆, 冯毅
2023, 44(6): 133-138. doi: 10.7513/j.issn.1004-7638.2023.06.019
摘要(364) HTML (327) PDF(10)
摘要:
对不同奥氏体化温度及保温时间条件下的1800 MPa级超高强热成形钢组织性能演变进行了试验研究,确定了最佳的热成形奥氏体化工艺制度。结果表明,当奥氏体化温度及保温时间分别达到840 ℃、3 min时,1800 MPa级超高强热成形钢淬火后的组织均为马氏体,且马氏体组织随着奥氏体化温度的升高及保温时间的增加逐渐粗大,抗拉强度逐渐下降。当奥氏体化温度为840 ℃时,抗拉强度、伸长率及强塑积分别可以达到1861.3 MPa、6.88%、12.81 GPa·%;当保温时间为3 min时,抗拉强度、伸长率及强塑积分别可以达到1851.28 MPa、6.84%、12.66 GPa·%。最佳奥氏体化工艺制度为:奥氏体化温度840 ℃,保温时间3 min。
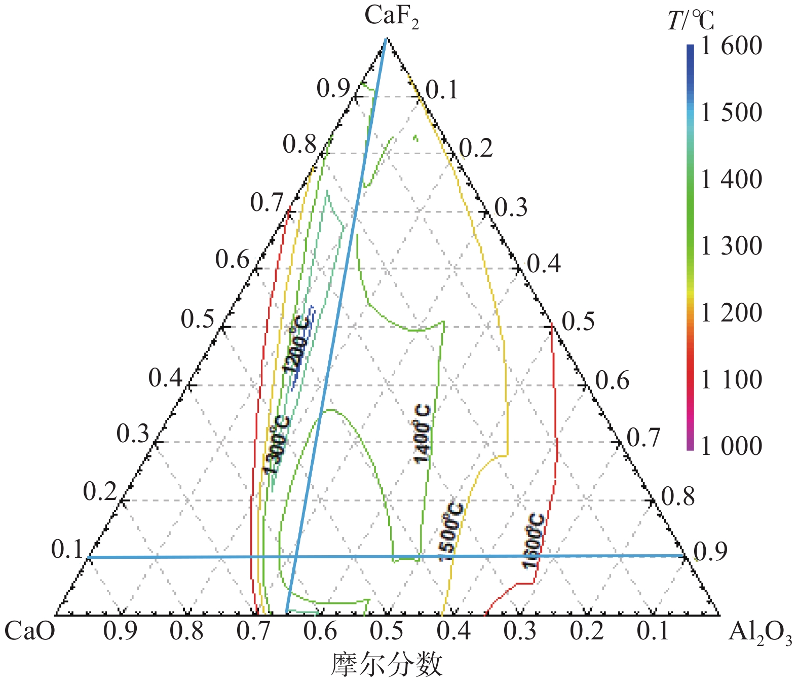
CaF2在不同酸碱性CaO-Al2O3基保护渣中的作用研究
施怡, 亓捷, 刘承军, 姜茂发
2023, 44(6): 139-148. doi: 10.7513/j.issn.1004-7638.2023.06.020
摘要(554) HTML (195) PDF(18)
摘要:
采用新型CaO-Al2O3基结晶器保护渣进行高铝钢浇铸,可有效抑制钢液中Al与渣中组元的界面反应。但是,浇铸过程中仍存在着结晶性能强、传热不均等问题。助熔剂是调整熔渣理化性能的关键因素之一。基于此,系统研究了典型助熔剂CaF2对不同酸碱性CaO-Al2O3基保护渣微观结构、黏度及结晶物相的影响。结果表明,在近中性CaO-Al2O3基保护渣中加入CaF2后,析晶物相由Ca12Al14O33+Ca3Al2O6转变为Ca12Al14O32F2+LiAlO2+CaF2,LiAlO2的析出可导致转折点温度上升,升幅约175 ℃,熔渣高温段黏度基本保持不变。在偏碱性CaO-Al2O3基保护渣中加入CaF2后,析晶物相由Ca3Al2O6+CaO转变为Ca12Al14O32F2+LiAlO2+CaF2,单一CaO的过早析出得到有效抑制,转折点温度降低约70 ℃,高温段黏度明显减小。
考虑应变、应变率和温度耦合作用下航空不锈钢0Cr17Ni4Cu4Nb本构模型的建立
张继林, 张又铭, 罗文翠, 易湘斌, 唐林虎, 姚家宝
2023, 44(6): 149-159. doi: 10.7513/j.issn.1004-7638.2023.06.021
摘要(645) HTML (223) PDF(18)
摘要:
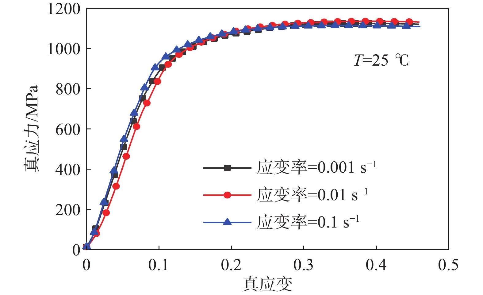
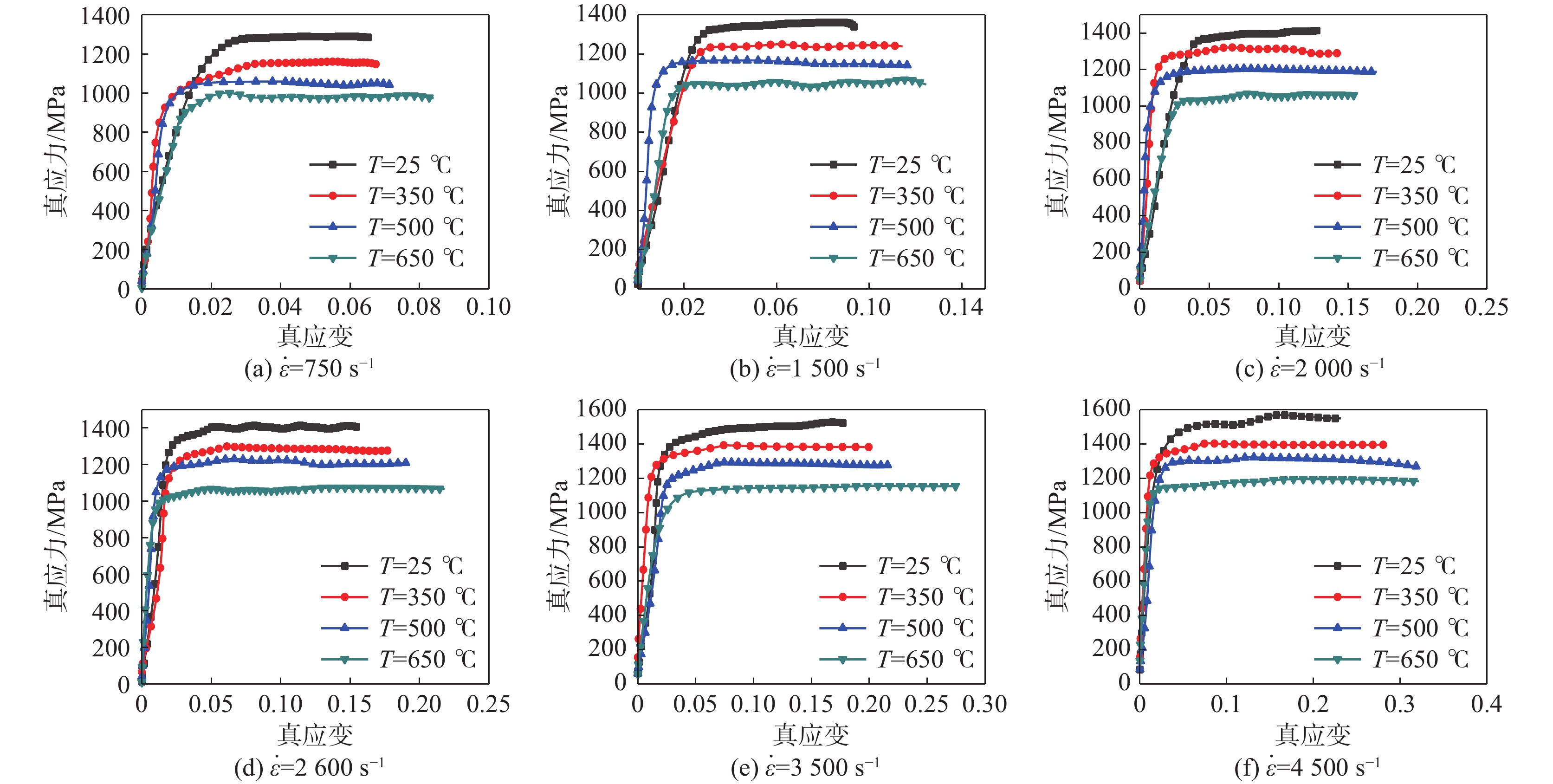
航空不锈钢0Cr17Ni4Cu4Nb具有优良的特性,广泛应用在各个机械的重要零部件上,零件的加工过程伴随着大应变、高温和高应变率,基于此考虑耦合关系建立能够真实反映切削力学性能的本构模型,为切削仿真提供可靠的数据。以航空不锈钢0Cr17Ni4Cu4Nb为研究对象,利用万能试验机(UTM5305)和高温分离式霍普金森试验装置(Split Hopkinson Pressure Bar,SHPB,ALT1000)分别进行准静态压缩试验(温度为25 ℃,应变率为0.1、0.01、0.001s−1)和动态冲击试验(温度为25、350、500、650 ℃,应变率为750、1500、2000、260035004500 s−1),获得该材料的应力应变关系,并分析其力学性能,结果表明该材料具有应变硬化效应、温度软化效应、应变率强化效应和增塑效应。综合应变、应变率和温度三者相互作用,建立耦合作用下的Johnson-Cook(JC)本构方程,统计分析了试验数据与预测数据(原JC本构方程和修正JC本构方程数据),原JC本构方程的相关系数(R)和平均相对误差(AARE)分别为0.96833和4.77%;修正JC本构方程的相关系数(R)和平均相对误差(AARE)分别为0.987513和0.51%,表明修正JC本构方程更加准确、可靠预测高应变率下应力应变的关系。
时效温度对Monel K500合金微观结构与性能的影响
贾雪梅, 王杰, 刘庭耀, 郑淮北, 王勤英, 西宇辰, 董立谨
2023, 44(6): 160-166. doi: 10.7513/j.issn.1004-7638.2023.06.022
摘要(604) HTML (220) PDF(29)
摘要:
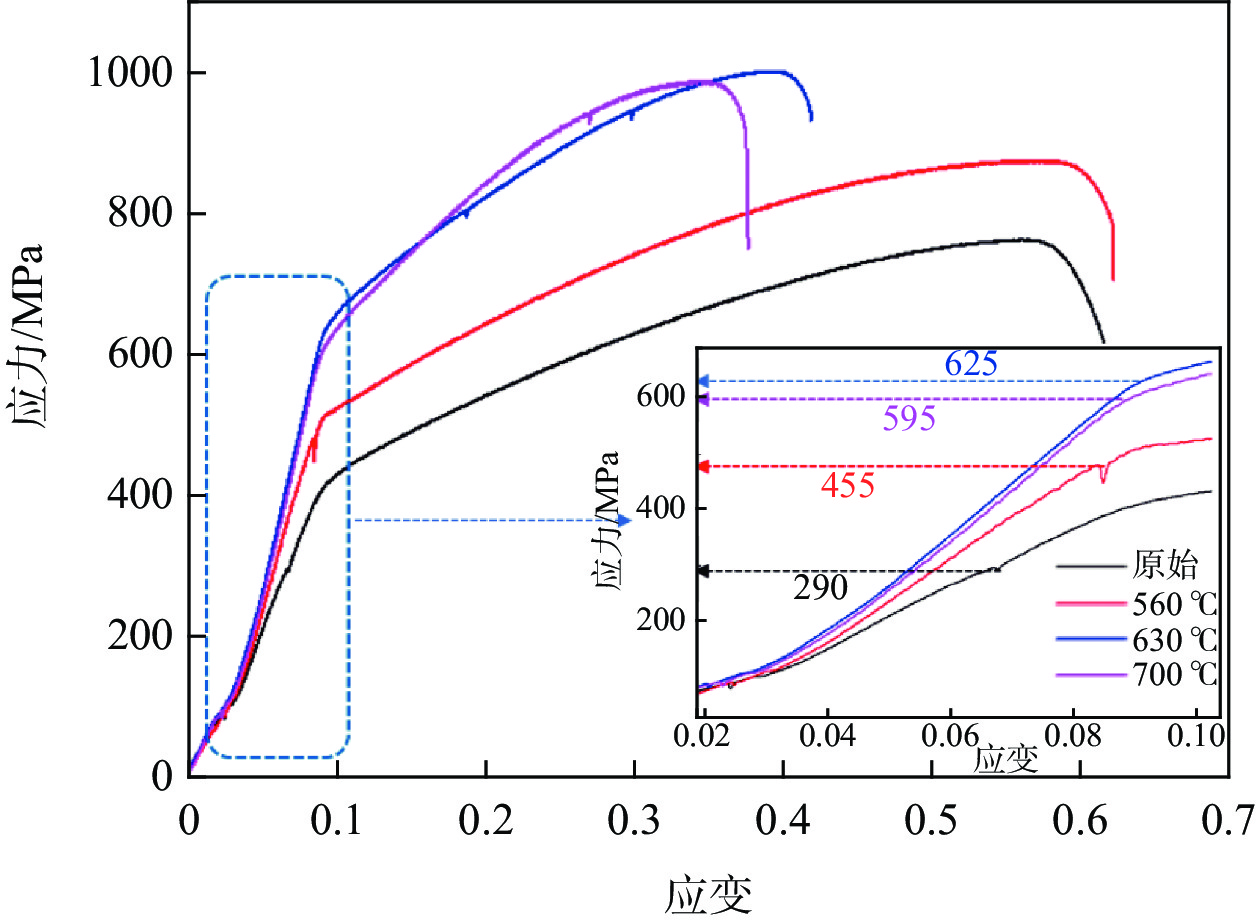
采用固溶+时效工艺对Monel K500合金进行了时效处理,通过显微硬度和拉伸性能测试,以及OM、SEM、TEM、XRD等分析表征,研究了时效温度对Monel K500合金组织结构以及性能的影响。结果表明,时效处理后形成的多边形TiC颗粒强化相主要分布在晶界处,同时晶界处Al元素含量增多,过饱和固溶体发生脱溶分解,Al、Ti元素以Ni3(Al, Ti)第二相形式析出,合金硬度与强度提高。经电化学腐蚀后,该合金生成腐蚀产物NiO和CuO。随着时效温度的升高,第二相含量逐渐增加,但过高的温度导致第二相长大,故时效温度为560~700 ℃时,强化效果随着温度升高呈先升高后降低趋势。时效温度为630 ℃时,合金的硬度(HV)为329.26,强度994.56 MPa,均达到最大值,但耐腐蚀性能在该温度下反而有所降低。
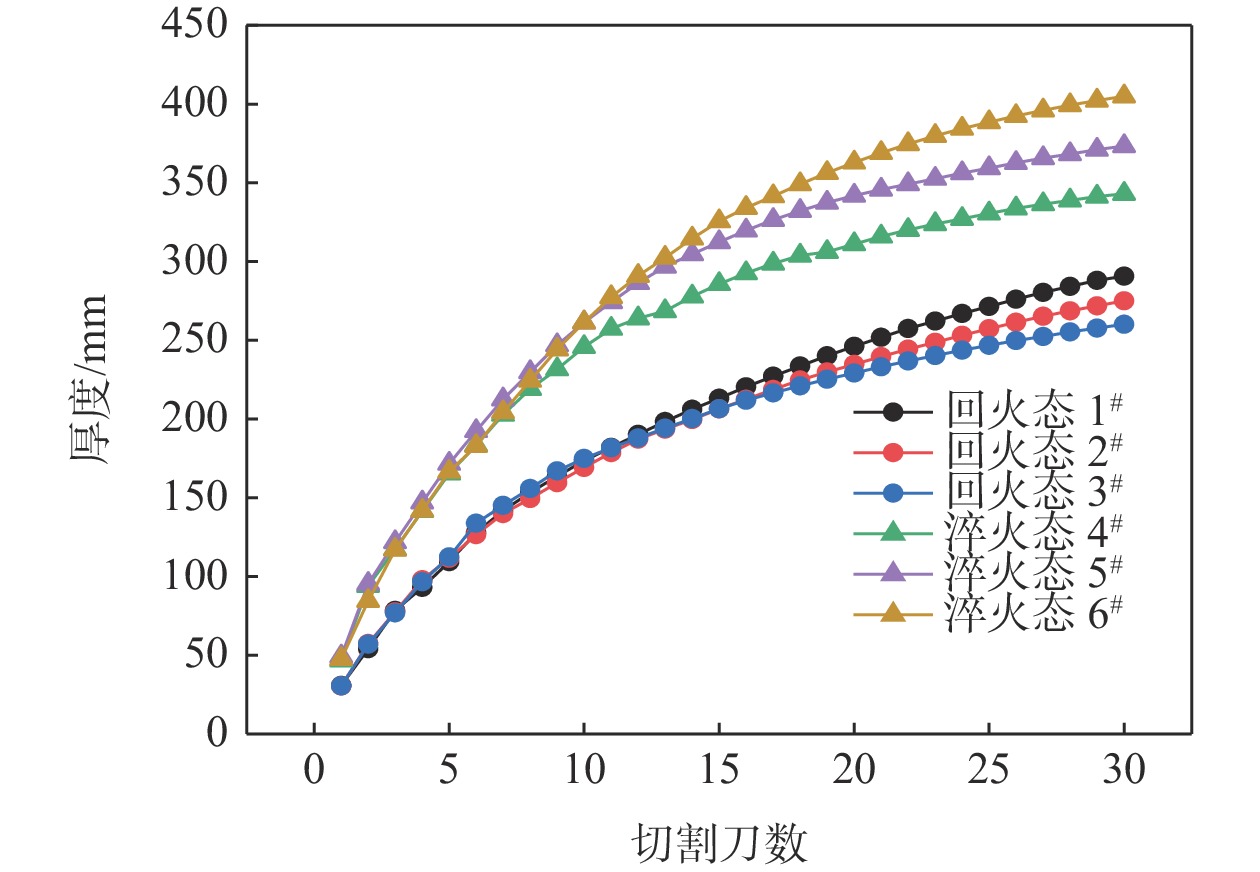
低碳马氏体不锈钢显微组织和碳化物演变对刀具使用性能的影响
李国庆, 卢广义, 提唱, 林思围, 刘文乐, 王学林, 尚成嘉, 关文杰, 郭福建
2023, 44(6): 167-171. doi: 10.7513/j.issn.1004-7638.2023.06.023
摘要(642) HTML (217) PDF(12)
摘要:
为研究碳化物的分布、种类与刀具锋利度之间的关系,分别对30Cr13材料刀具的淬火态和回火态进行了锋利度测试和显微组织表征。结果分析表明,经过300 ℃、30 min回火处理后的刀具,其初始锋利度下降了34.6%,累计切割厚度下降了26.4%。但回火态的刀具单次切割下损失的锋利度值更小,有更好的耐用性。其原因是回火后M23C6型碳化物大量析出,通过弥散强化增强了耐磨性,而淬火马氏体中的碳减少,硬度下降,刀具锋利度降低。
低碳微合金钢热轧带状组织演变行为的研究
王博, 李书恒, 莫超群, 张庆军
2023, 44(6): 172-178. doi: 10.7513/j.issn.1004-7638.2023.06.024
摘要(483) HTML (221) PDF(15)
摘要:
低碳微合金钢在轧制过程中经常出现带状组织缺陷,对产品质量和使用性能都有着重要的影响。以某厂Q345热轧板坯为研究对象,通过对元素偏析,轧件热轧过程不同轧制道次、不同位置带状组织演变行为进行分析,结果表明,枝晶间溶质元素偏析是导致带状组织形成的本质原因。同时发现不同轧制道次和不同位置轧材,带状组织尺寸有着明显差异。不同轧制道次,相同位置的带状组织,压下率越大,带状组织越细小,压下率为50%时,中心带状组织宽度约为175 μm;压下率为67%时,中心带状组织宽度约为75 μm。相同轧制道次下,不同轧件位置的带状组织比较,可以发现厚度中心位置带状组织最为粗大,表面处最为细小。
CoCrFeNiMn高熵合金拉伸力学性能和塑性变形机理对尺寸的依赖研究
安敏荣, 姚俊凡, 陈轩, 王博, 吕江艺, 朱志浩, 权凯, 李藤
2023, 44(6): 179-185. doi: 10.7513/j.issn.1004-7638.2023.06.025
摘要(743) HTML (219) PDF(27)
摘要:
采用分子动力学模拟方法研究了不同横截面尺寸的CoCrFeNiMn高熵合金在拉伸载荷下的力学性能。模拟采用修正的嵌入原子势函数描述Co、Cr、Fe、Ni和Mn原子之间的相互作用。研究表明,CoCrFeNiMn高熵合金的拉伸性能和变形机制依赖于横截面的尺寸。峰值应力在横截面尺寸为7.00 nm时,出现了临界值,这与其中位错成核点的数目相关。随着横截面尺寸增加,塑性变形机制从非晶化主导转变为位错滑移和FCC结构向HCP结构的相变主导。该研究结果对于设计和制备高性能的高熵合金具有一定的科学价值和指导意义。
DH&DP钢显微组织、力学性能及形变机制差异研究
周莉, 薛仁杰, 曹晓恩, 文才君
2023, 44(6): 186-191. doi: 10.7513/j.issn.1004-7638.2023.06.026
摘要(581) HTML (232) PDF(21)
摘要:
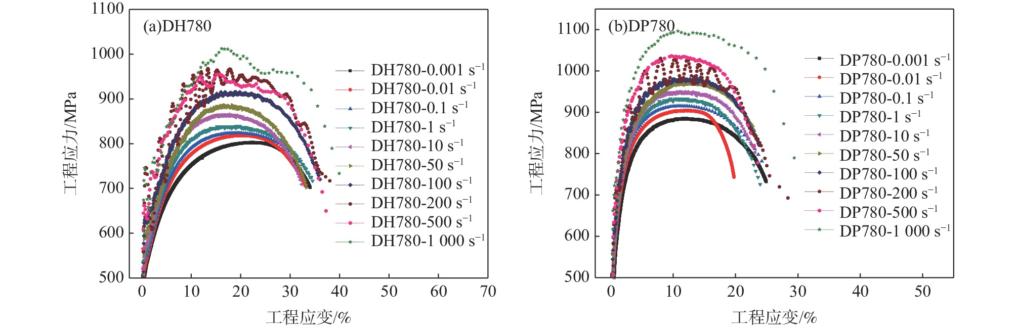
采用高速拉伸试验、综合成形试验、场发射扫描电镜(SEM)、X射线衍射(XRD)、电子背散射衍射(EBSD)等表征方法研究了DH780与DP780冷轧双相钢组织性能差异。研究表明,DH780与DP780显微组织差异关键在于是否存在残余奥氏体,前者存在约5.1%残余奥氏体,呈块状、薄膜状、链状与细小粒状位于相界面与铁素体晶界处,在变形过程中具有显著TRIP效应,同时残余奥氏体具有更多滑移系可有效减缓位错塞积、延缓应力集中与裂纹源的形成,使得DH780较DP780具有更优良的强塑积及扩孔性能。高速拉伸试验表明,DH780较DP780具有更高的应变速率敏感性特征;随着应变速率的提升,DH780强塑积增加至38.83 GPa·%,吸能性能显著增强。
600 MPa级Ti、Nb析出强化车轮钢接头硬度及热影响区软化行为分析
董现春, 刘新垚, 蔡宁, 张大伟, 张侠洲, 李学涛
2023, 44(6): 192-197. doi: 10.7513/j.issn.1004-7638.2023.06.027
摘要(368) HTML (154) PDF(9)
摘要:
采用连续闪光对焊技术,焊接600 MPa级Ti,Nb析出强化车轮钢,制造22.5×9.0车轮的轮辋。采用气体保护焊技术,焊接轮辋与轮辐的搭接接头。轮辋闪光对焊接头在扩口工序出现开裂、辊型工序出现减薄、扩张工序出现开裂,综合报废率37%。车轮径向疲劳试验80万转时,轮辋与轮辐搭接焊缝发生焊根部位的疲劳开裂。对车轮钢接头的断口、组织、硬度、析出相进行分析。结果表明,对焊接头硬度呈现“马鞍形”局部软化特征,搭接接头硬度呈现“盆地形”局部软化特征。热影响区中,过热区晶粒长大,20 nm以下第二相粒子大量溶解,正火区晶粒长大,20 nm以下第二相粒子消失伴随20 nm以上第二相粒子熟化,造成热影响区软化。
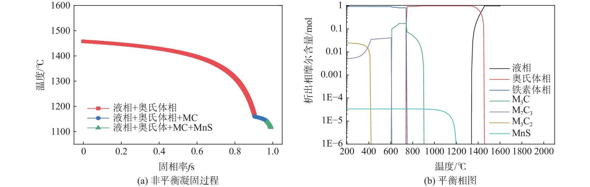
高碳铬轴承钢中初生碳化物尺寸的预测研究
冯乾, 曾亚南, 李俊国, 王一同, 王亚军, 唐国章
2023, 44(6): 198-204. doi: 10.7513/j.issn.1004-7638.2023.06.028
摘要(390) HTML (131) PDF(16)
摘要:
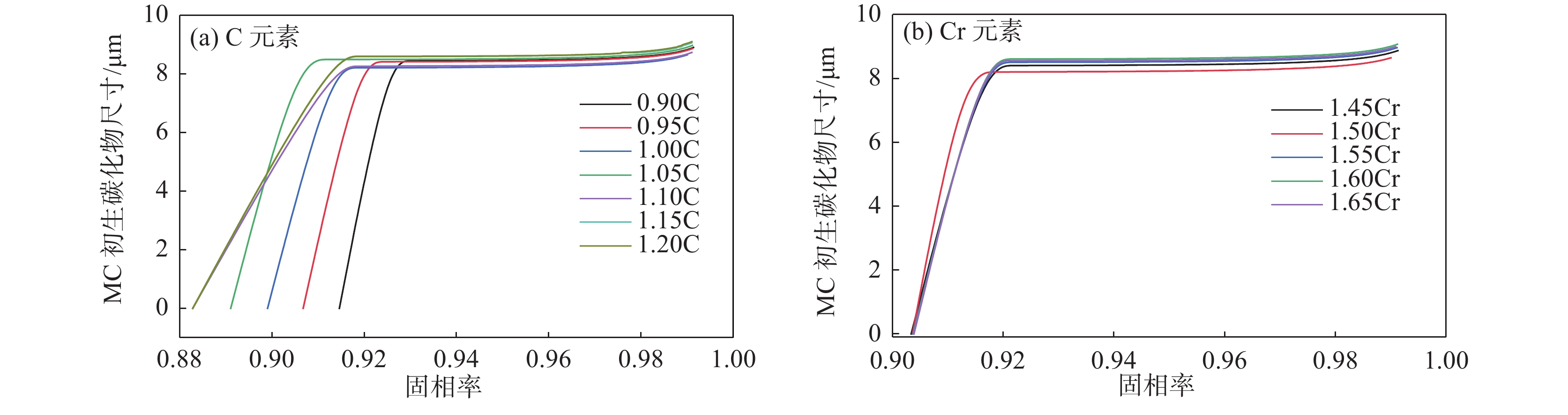
采用Thermo-Calc热力学计算软件对轴承钢凝固过程相转变规律、初生碳化物物相类型、初生碳化物析出温度进行热力学分析。基于Scheil偏析模型和Goto模型对轴承钢凝固过程中初生碳化物粒子尺寸进行预测,并通过热模拟试验和碳化物显微形貌定量分析对预测结果进行试验验证。计算结果表明,轴承钢凝固过程初生碳化物为(Fe,Cr)C型碳化物,析出温度为1158 ℃。其析出行为主要是凝固末端残留液相中C和Cr元素偏析所引起的,当固相率为0.92时,残留液相中C元素的质量分数达到4.12%;残留液相中的Cr元素质量分数达到2.59%,初生碳化物尺寸为8.2 μm。此外,钢液中C元素的增加可以使初生碳化物析出温度提高,初生碳化物尺寸增大。但是,凝固过程中初生碳化物的尺寸主要是由冷却速率决定的,当冷却速率由0.2 ℃/s增加到3 ℃/s时,初生碳化物最大尺寸由19.25 μm减小至5.02 μm,其影响机制是冷却速率增大会使初生碳化物晶体各界面附近原子扩散速率降低,使得碳化物晶体各界面各向异性生长受阻,最终导致初生碳化物尺寸减小。