中文核心期刊

SCOPUS 数据库收录期刊

中国科技核心期刊

美国《化学文摘》来源期刊

中国优秀冶金期刊

美国EBSCO数据库收录期刊

RCCSE中国核心学术期刊

美国《剑桥科学文摘》来源期刊

中国应用核心期刊(CACJ)

美国《乌利希期刊指南》收录期刊

中国学术期刊综合评价统计源刊

俄罗斯《文摘杂志》来源期刊

优秀中文科技期刊(西牛计划)

日本《科学技术文献数据库》(JST)收录刊

留言板

尊敬的读者、作者、审稿人, 关于本刊的投稿、审稿、编辑和出版的任何问题, 您可以本页添加留言。我们将尽快给您答复。谢谢您的支持!

姓名
邮箱
手机号码
标题
留言内容
验证码

2025年  第46卷  第3期

行业现状与分析
2024年中国钛工业发展报告
安仲生, 赵巍
2025, 46(3): 1-8. doi: 10.7513/j.issn.1004-7638.2025.03.001
摘要(1145) HTML (228) PDF(178)
摘要:
基于2024年我国钛工业全产业链数据,系统分析了钛精矿、海绵钛、钛锭、钛材等产品的产能、产量、应用及进出口动态,总结行业发展特征,揭示核心矛盾,并提出了针对性的建议,为产业优化升级提供参考。
2024年中国钛白粉行业的现状及发展
毕胜
2025, 46(3): 9-11. doi: 10.7513/j.issn.1004-7638.2025.03.002
摘要(394) HTML (313) PDF(34)
摘要:
系统分析了2024年中国钛白粉行业运行态势,数据显示全行业总产量达476.6万t(同比增长14.57%),但产能利用率仅80.8%,呈现产能过剩。金红石型产品占比85%,市场表观需求量295.8万t,出口量创190万t新高。行业面临双重挑战:一方面新增产能持续释放(预计2025年达730~740万t/年),加剧国内外市场竞争;另一方面钛矿原料供应趋紧,特别是沸腾氯化法所需高品位钛原料(TiO2≥92%)严重依赖进口。针对行业同质化竞争、品牌效应不足等问题,提出强化品牌建设、推进供给侧结构性改革、加速产业整合等建议,以推动中国从钛白粉生产大国向质量强国转型。
钒钛分离与提取
钒渣高效提取冶金:机械活化强化钠化提钒技术
谯露, 向俊一, 黄青云, 李兰杰, 吕学伟
2025, 46(3): 12-17. doi: 10.7513/j.issn.1004-7638.2025.03.003
摘要(414) HTML (104) PDF(37)
摘要:
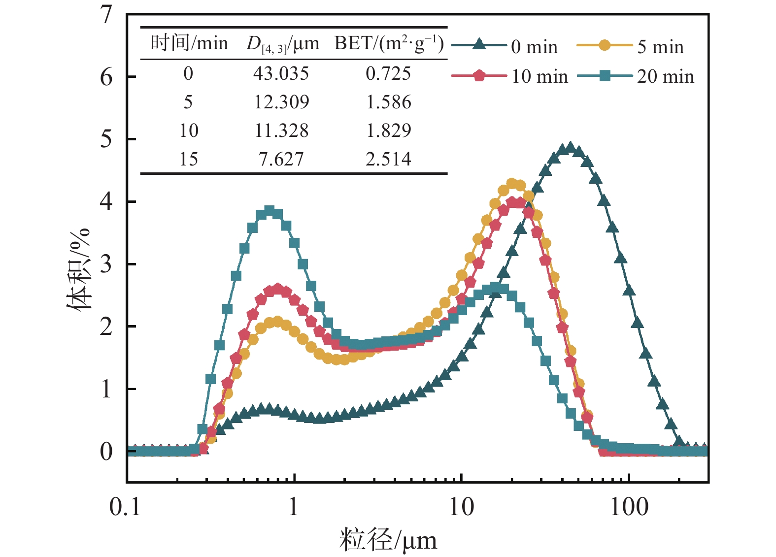
针对钒渣钠化焙烧-水浸提钒工艺一次焙烧转化率低、高温回转窑结圈等技术难题,提出了机械活化-造球协同预处理强化钒渣提钒技术。通过高能球磨活化促进钒渣物相解离与微观结构调控,提升其反应活性,并通过造球工艺改善原料传热均匀性与氧化速率,提高回转窑处理效率。采用XRD、激光粒度分析和BET比表面积等测定手段,系统分析了活化前后钒渣的物理化学性质及焙烧转浸变化规律。结果表明,机械活化会导致晶格畸变引起衍射峰宽化,且将钒渣平均粒径从43.035 μm降至7.627 μm,比表面积从0.725 m2/g升至2.514 m2/g;机械活化可显著提高钒渣混料球团的下落强度与抗压强度;钒渣最佳焙烧温度降低50 ℃,一次焙烧钒浸出率达到95.38%。新技术在低温下实现了钒收率提高,有效避免了回转窑结圈,是一种高效提钒技术。
基于磷酸盐辅助浸出的石煤短流程提钒工艺研究
朱振洲, 吴金朋, 高晨龙, 王伟, 焦树强
2025, 46(3): 18-24. doi: 10.7513/j.issn.1004-7638.2025.03.004
摘要(275) HTML (96) PDF(17)
摘要:
针对湖北某石煤钒矿的矿相分析及传统处理流程,开发了一种磷酸盐辅助浸出的短流程提钒工艺,采用硫酸熟化—磷酸盐辅助浸出—溶剂萃取—氨水沉钒提钒工艺进行了提钒试验。研究了水浸pH、磷铁摩尔比、浸出时间、浸出温度对钒、铁浸出率的影响。结果表明,将粒度小于0.074 mm的原料在200 ℃和浓硫酸用量0.15 mL/g的条件下熟化2 h得到熟化样品,该熟化样品在水浸pH值2.5、磷铁摩尔比1.5:1、浸出时间1 h、浸出温度70 ℃的试验条件下,钒的浸出率可达93.44%,铁的浸出率为38.19%。采用P204萃取-硫酸反萃进行2段萃取-反萃,结合氨水沉钒工艺,成功制备出纯度大于99%的粉状五氧化二钒产品。该工艺提高了钒的浸出率,为石煤提钒提供了新的技术路线。
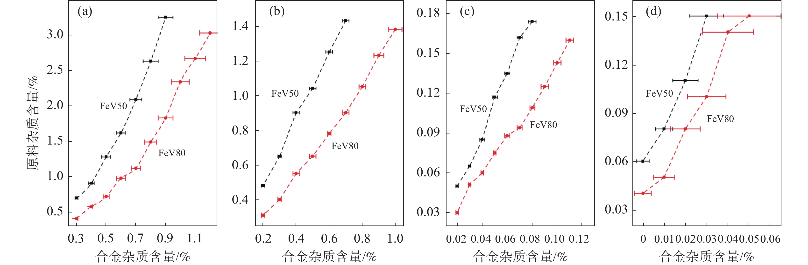
铝热还原FeV50合金杂质成分预测及控制研究
余彬, 叶明峰, 王宁, 黄云, 高雷章, 尹丹凤, 陈海军
2025, 46(3): 25-31. doi: 10.7513/j.issn.1004-7638.2025.03.005
摘要(218) HTML (118) PDF(24)
摘要:
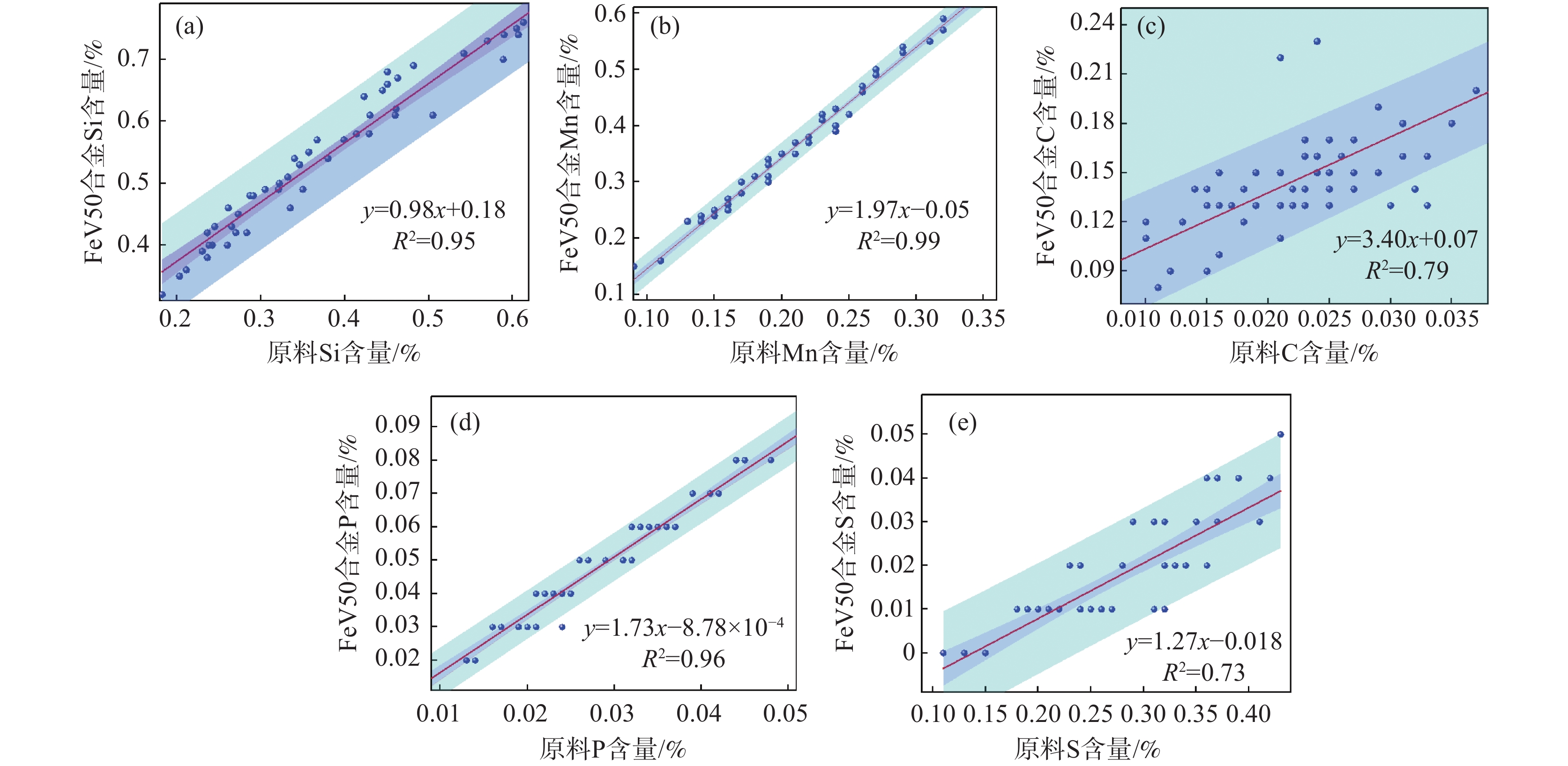
分析了铝热还原FeV50合金制备过程典型杂质元素的热力学行为及其赋存状态,考察了特定熔渣特性条件下杂质元素在熔渣和合金中的分配规律,制定了原料杂质元素的控制标准。结果表明:铝热还原体系典型杂质元素迁移及其赋存状态与熔炼阶段和熔渣特性相关。铝热还原过程中,Fe、Mn、Si、C、P、S等弱还原性杂质元素在热力学上具有被金属铝还原并进入合金相的可行性,还原后的Fe、Mn、Si元素以单质形式存在,而C、P、S则可能与合金基体元素V和Fe反应生成VC、Fe3P和FeS。铝热反应结束后,合金中非金属杂质逐渐向熔渣扩散,其扩散能力主要由熔渣特性决定。在以钒氧化物还原为主导的特定熔渣组成条件下,Si、Mn、C、P和S在合金中的平均分配系数分别为76.9%、89.7%、255.0%、87.6%和28.7%,对应满足FeV50-A标准要求的单位原料杂质控制上限分别为4.0%、1.0%、0.6%、0.13%和0.12%。
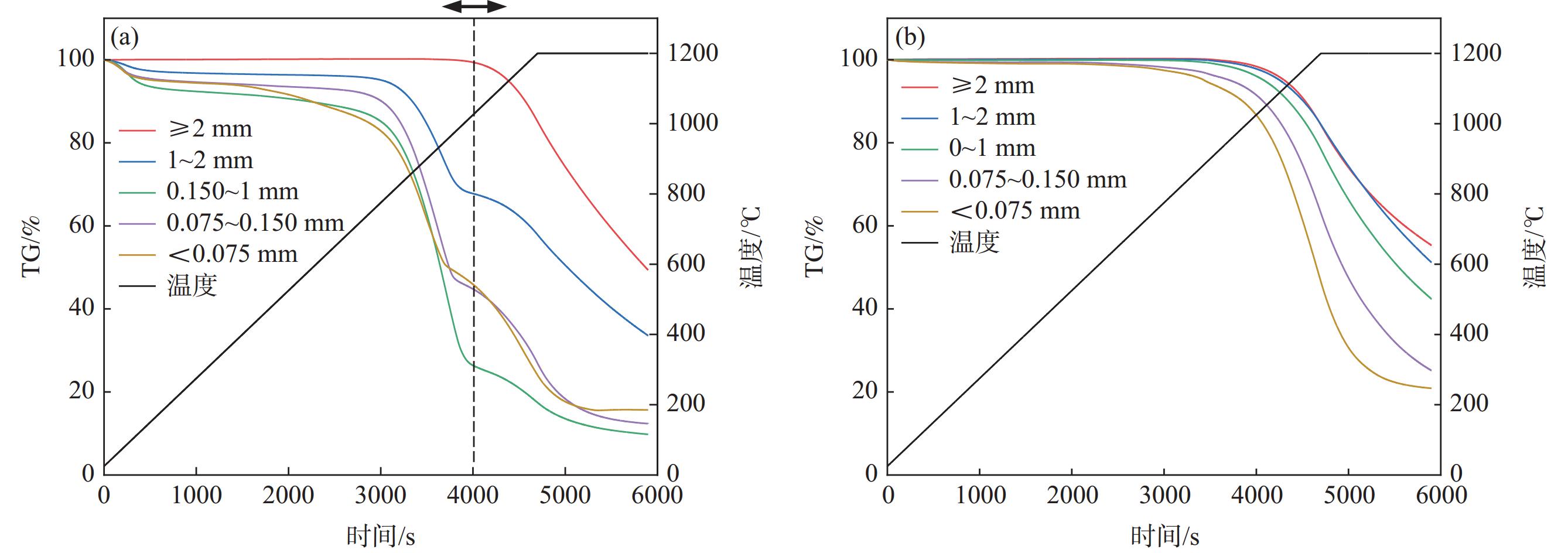
兰炭和焦粉还原活性对比及在含钛高炉渣碳化过程的应用
路瑞芳, 邱淑兴, 赵青娥, 吕学明, 黄家旭, 刘亚东
2025, 46(3): 32-40. doi: 10.7513/j.issn.1004-7638.2025.03.006
摘要(239) HTML (131) PDF(13)
摘要:
在含钛高炉渣“高温碳化-低温氯化”提钛工艺中,高温碳化是关键且重要的工艺环节。高温碳化过程采用的碳质还原剂直接影响着该工序的成本和高炉渣中二氧化钛的碳化率,选取更加优质廉价的碳质还原剂是高温碳化工序提质降本的重要手段之一。研究选取兰炭和焦粉进行对比,通过研磨筛分获得不同粒径范围的碳质还原剂,并采用X-射线衍射仪、热重分析仪、比表面积分析仪等研究了兰炭和焦粉还原活性的差异,提出了与产线当前应用焦粉达到相同还原反应活性时兰炭对应的粒径控制范围,并进行了工业应用试验。结果表明,兰炭较焦粉石墨化度弱,在转化率0.3~0.8的范围内平均活化能低,粒径在0.150 mm以上比表面积大,导致兰炭反应活性高于焦粉。基于此提出了兰炭的粒径应在1~2 mm和0.150~1 mm的区间内进行协同控制,工业试验结果表明,按照此范围控制的兰炭应用于含钛高炉渣高温碳化过程,吨渣冶炼电耗和碳化率均与当前使用粒径分布的焦粉达到相同控制水平。
钒钛材料与应用
TC21钛合金与G50钢的超高强扩散焊接头组织与性能研究
刘姣, 成培鑫, 席锦会
2025, 46(3): 41-44, 52. doi: 10.7513/j.issn.1004-7638.2025.03.007
摘要(363) HTML (140) PDF(27)
摘要:
使用改进的真空扩散焊接方法制备了TC21钛合金及G50高强钢的超高强扩散焊接头。在刚性模具约束下,以V/Cu为过渡层,在915 ℃保温60 min进行焊接,焊接压力为20 MPa。与传统扩散焊工艺不同,待焊件接头处于三向压应力状态,使焊接界面处金属塑性流动及元素扩散更充分,可有效消除界面孔洞、微孔等缺陷,所制备的接头抗拉强度达752 MPa,为目前研究报道的钛钢接头强度最高值。界面分析显示,TC21/V、V/Cu界面处无析出相,Cu/G50界面处析出富铁相,拉伸时接头从富铁相处断裂。
预应变和热处理对Ti6321合金变形行为的影响
尹艳超
2025, 46(3): 45-52. doi: 10.7513/j.issn.1004-7638.2025.03.008
摘要(199) HTML (87) PDF(14)
摘要:
对Ti6321合金进行预拉伸,研究预变形对其后续变形行为的影响;另外对预变形后Ti6321合金进行热处理,并与未处理预变形Ti6321进行了对比分析。结果表明,试样经过预拉伸后,其压缩屈服强度降低,降低幅度随着预拉伸塑性应变量的增大先增大后趋于稳定。预拉伸试样经热处理后再反向加载,其压缩屈服强度得到一定程度恢复,且高于未经热处理预拉伸试样的压缩屈服强度,压缩屈服强度回复幅度随着热处理温度升高而增大。Ti6321合金产生包申格效应的机制为微区非均匀塑性变形过程中残余应力的长程效应与位错运动过程中阻力变化的短程效应共同作用的结果,且前者为主要原因。预变形试样在热处理保温过程中位错组态发生变化,形成亚晶等使位错密度减小、位错塞积程度降低;另一方面高温下位错发生攀移,进而产生应力松弛,晶粒间的附加应力降低,微区残余应力减小,二者共同作用下使预变形态Ti6321合金反向承载能力得到回复,包申格效应减弱。
不同热处理温度对TA16棒材显微组织和力学性能的影响
范玉婷, 彭力, 李京懋, 秦海旭
2025, 46(3): 53-59. doi: 10.7513/j.issn.1004-7638.2025.03.009
摘要(282) HTML (141) PDF(15)
摘要:
研究了热处理温度对Ø230 mm的TA16棒材微观组织、织构和力学性能的影响。结果表明:锻棒横纵向样原始组织为拉长的变形等轴组织,大晶粒内部分布着孪晶,横向样抗拉强度、屈服强度高于纵向样;随着退火温度的升高,横纵向样组织由拉长的变形晶粒逐渐趋于等轴化;原始锻态{10-12}拉伸孪晶含量最多,且随着热处理温度的升高,{10-12}拉伸孪晶在逐渐减少,当热处理温度升高至800 ℃时,孪晶完全消失,再结晶晶粒逐渐长大;原始锻态织构主要集中在{0001}//RD取向,与ND有一定夹角,当热处理温度升高至750 ℃时,织构强度降低,织构类型发生变化,集中在{0001}//ND取向,且与RD有一定夹角;且随着热处理温度的升高,横纵向样的抗拉强度、屈服强度、屈强比整体均呈下降趋势,延伸率逐渐升高。
再结晶退火对TA1电子束焊接头组织和性能的影响
邓健, 白威, 陆鑫, 李超
2025, 46(3): 60-64. doi: 10.7513/j.issn.1004-7638.2025.03.010
摘要(244) HTML (145) PDF(10)
摘要:
对30 mm厚TA1真空电子束焊接试板开展了再结晶退火。通过对接头开展金相组织检验、拉伸、冲击试验,研究不同再结晶退火工艺对接头微观组织及力学性能的影响。结果表明:相较于组织为等轴α相的母材,高硬度锯齿α相和针状α'相的生成使对应的焊态下接头和900 ℃×2 h再结晶退火工艺下接头的屈服强度和抗拉强度提升,但随之而来的是接头塑性(即断后伸长率)和韧性(即冲击功)的大幅下降。母材具有的等轴α相以及700 ℃×2 h和800 ℃×2 h再结晶退火工艺下获得的近似等轴α相有利于提升韧性和塑性,使母材及对应工艺下的接头表现出了具有较高的塑性和韧性;800 ℃×2 h退火工艺下接头的强度与韧性获得最佳匹配。
钛镍基超弹性合金作为油井管密封材料的可行性研究
王新虎, 王鹏
2025, 46(3): 65-69. doi: 10.7513/j.issn.1004-7638.2025.03.011
摘要(217) HTML (105) PDF(10)
摘要:
针对目前特殊螺纹接头不能有效确保油井管的密封问题,选取Ti-56Ni以及Ti-55.5Ni-0.5V形状记忆合金,经过锻造及不同温度水淬处理,进行拉伸加载与卸载试验,循环压缩加载与卸载试验。结果表明,合金的拉伸与压缩弹性应变量可以达到5%以上,表现出良好的超弹性,证明Ti-56Ni以及Ti-55.5Ni-0.5V钛镍基超弹性合金可以用做机械设备的密封材料,为密封技术发展及钛镍基形状记忆合金应用提供了新方向。
NiTi形状记忆合金分子动力学模拟研究进展
邓玲丽, 高海根, 赵相瑜
2025, 46(3): 70-80. doi: 10.7513/j.issn.1004-7638.2025.03.012
摘要(237) HTML (112) PDF(14)
摘要:
分子动力学技术作为一种精确高效的原子尺度材料微观结构和组织研究方法,在降低研发成本的同时,对试验研究具有指导意义,可在一定程度上弥补NiTi合金研究中因分析技术滞后而导致的试验数据不足和理论解释困难等问题。首先概述了NiTi合金的形状记忆效应和超弹性特性,介绍了分子动力学的基本原理和模拟NiTi合金的常用势函数,然后重点介绍了分子动力学模拟在研究NiTi 合金力学行为和相变方面的应用现状,包括晶粒尺寸、孔隙率、非晶相、Ni含量等因素对其性能的影响,凸显了分子动力学方法在研究NiTi形状记忆合金中的优势。使用分子动力学技术模拟不同参数对性能的影响,可指导试验研究,针对性地改进材料制备工艺,提高材料的形状记忆效应、超弹性和耐磨损性等性能,推动新型高性能NiTi合金材料的开发和应用。
资源环境与节能
双碳背景下转炉钢渣还原提质技术的研究现状及展望
胡岩卓, 申振中, 韩少慧, 李晨晓, 姚鑫, 王书桓
2025, 46(3): 81-91. doi: 10.7513/j.issn.1004-7638.2025.03.013
摘要(311) HTML (140) PDF(22)
摘要:
钢铁行业作为高能耗、高碳排放领域,其降碳路径对实现“双碳”目标至关重要。转炉钢渣富含Fe、P、V等有价元素且携带高热值余热,其高效利用是钢铁行业降本增效的关键。系统解析了转炉渣的产排特征与多相组成,综述分选法、碳热还原、熔融还原等提铁技术,熔融改质与湿法酸浸提磷工艺,以及钒、锰等合金元素的高温还原与湿法提取路径,同时探讨了高能级钢渣余热回收技术进展。研究表明:现有技术虽已实现工业化应用,但仍面临能量损耗高(余热利用率仅30%)、元素提取效率低、环境二次污染等问题。提出,未来应聚焦复合还原体系构建、有机/无机酸协同浸出、熔融改质-余热回收耦合等方向,为钢铁工业节能减排提供了关键技术支撑。
高炉渣水射流粒化特性模拟研究
武新晨, 楼国锋, 肖永力, 冯鹏博
2025, 46(3): 92-99. doi: 10.7513/j.issn.1004-7638.2025.03.014
摘要(236) HTML (155) PDF(9)
摘要:
鉴于常规的气淬粒化工艺可能存在的问题(如耗气量大等),拟采用水流作为粒化介质,开展高速水射流作用下熔渣粒化过程的数值模拟研究。研究利用VOF-to-DPM模型计算水射流熔渣粒化过程和熔渣粒径分布,并探究水流速度、熔渣速度、黏度等粒化条件对平均粒径等粒化结果的影响。结果表明:随着水流速度的增大,粒化后熔渣平均粒径减小,当水流速度达到30 m/s时,在所研究的参数条件下,基本不存在4 mm以上的大颗粒;当熔渣速度增加时,若水流厚度充足,对粒化效果和粒径分布影响很小;若水流厚度不足,则会出现未破碎熔渣直接下落的现象。为保证水流量充足,水渣比应达到2.2∶1;当熔渣黏度增加时,熔渣破碎效果变差,粒径分布和平均粒径明显增加。
水力旋流法富集回收某高锌高炉灰中的锌
杨珍, 王晓东, 任世磊, 皇甫林, 曾冠武, 张小龙, 林刚
2025, 46(3): 100-106. doi: 10.7513/j.issn.1004-7638.2025.03.015
摘要(222) HTML (123) PDF(9)
摘要:
为了充分回收利用高炉灰中的有价元素,通过对四川某钢铁企业钒钛磁铁矿炼铁所产高锌高炉灰的理化性质进行分析,提出采用水力旋流法对该高炉灰中的锌进行富集/回收,重点考察了给料质量浓度、沉砂嘴直径等关键参数对锌富集/回收效果的影响,并进一步开展了200 kg级规模的高炉灰扩大试验进行验证。结果显示:锌回收率随给料质量浓度的增大而略有增大,随沉砂嘴直径的减小而显著增大,锌品位的富集比变化趋势则与锌回收率相反。在给料质量浓度15%~20%、沉砂嘴直径为14~18 mm、深度回收锌级数3的条件下,总锌回收率可达97%左右,第一级的锌富集比可达2.4倍左右,第三级贫锌高炉灰锌品位可降低至0.8%左右。扩大试验结果表明,高炉灰总锌回收率为96%,第一级水力旋流富锌高炉灰锌品位可达26%,第三级贫锌高炉灰锌含量可降至1%以下,满足作为炼铁原料回用的需求。此项研究有望为高锌高炉灰的资源化高效利用提供数据支撑。
基于连铸旋流井沉泥资源化利用的铁水预脱磷剂研究开发
杨光, 李海强, 贾吉祥, 王海伟, 顾洪飞
2025, 46(3): 107-111. doi: 10.7513/j.issn.1004-7638.2025.03.016
摘要(223) HTML (131) PDF(9)
摘要:
为了利用连铸旋流井沉泥开发铁水预脱磷剂以期实现沉泥的资源化,基于连铸旋流井沉泥的成分分析及脱磷热力学计算,配制了w(CaO):w(沉泥)=0、7%、14%、20%、25%、30%的预脱磷剂,进行了熔化性能测定及脱磷效果评价试验。结果表明,连铸旋流井沉泥中(Fe2O3+FeO)含量较高、碱度为0.86,其作为配制脱磷剂的基料在热力学上可行。随着CaO配加比例由0增加至30%,脱磷剂的熔点先降低后升高,熔速先增大后减小,当w(CaO):w(沉泥)=20%时,脱磷剂熔点最低,熔速最快。随着CaO配加比例由14%增加至25%,渣剂的脱磷率先上升后下降,金属Fe回收率逐渐增加,当w(CaO):w(沉泥)=20%时,脱磷率和Fe回收率分别为73.6%和86.76%,可同时实现深度脱磷和铁元素高效回收。
钢铁冶金与材料
高炉高富氧与全氧富氢气氛对钒钛混合炉料软熔行为的影响研究
陈茅, 陈布新, 马凯辉, 唐文博, 刘凌岭, 扈玫珑
2025, 46(3): 112-121. doi: 10.7513/j.issn.1004-7638.2025.03.017
摘要(376) HTML (150) PDF(34)
摘要:
探讨了高炉富氧、全氧及全氧富氢气氛对钒钛磁铁矿混合炉料软熔性能、透气性及气体利用率的影响规律。结果表明,高炉富氧气氛下,炉料软化开始温度下降,软化结束温度、熔化开始温度、滴落温度升高,软化区间、熔化区间变宽,但透气性指数下降,气体利用率降低;全氧富氢气氛条件下,通过引入H2,炉料软化开始温度、软化结束温度、熔化开始温度升高,软化区间变宽,熔化区间变窄,透气性能进一步得到改善,H2利用率增加。进一步研究表明,还原气体成分的变化对炉渣和铁水的化学成分产生了重要影响,富氧气氛下炉渣中Ti(C,N)含量显著降低,全氧富氢气氛下炉渣中TiC含量及铁水中[Si]、[Ti]、[V]含量均显著提高。研究为钒钛矿高炉冶炼过程中的绿色低碳技术提供了理论依据,为提高钒钛磁铁矿高炉冶炼效率并减少碳排放提供了重要的基础试验支持。
20CrMnTi齿轮钢中夹杂物演变及钢液洁净度提升研究
李海涛, 高放, 李昊哲, 李立凯, 张小华, 顾超, 包燕平
2025, 46(3): 122-131. doi: 10.7513/j.issn.1004-7638.2025.03.018
摘要(187) HTML (100) PDF(11)
摘要:
以国内某厂20CrMnTi齿轮钢为研究对象,通过全流程取样分析了钢液洁净度提升的限制性环节,并提出以下两项优化措施:①基于FactSage7.2计算了精炼渣碱度和钙铝比对CaO和Al2O3活度的影响,综合考虑渣系的低温液相区,确定了目标精炼渣系范围:碱度=4~6,w(SiO2)=9%~13.5%,w(Al2O3)= 22.5%~31.5%,w(Fe2O3+MnO)<1%;②基于钙处理过量的现状,依托热力学数据库搭建了精准钙处理计算模型,并设计了人机交互界面。工业试验数据显示,在优化渣系和减少钙处理量的情况下,冶炼过程中的夹杂物数量显著减少,铸坯中夹杂物数量比原工艺降低56.3%。
基于数值模拟与水模拟的控流装置对大型双流中间包流场的影响
杨泽宇, 杨健, 赵宇航, 李贇通
2025, 46(3): 132-139, 148. doi: 10.7513/j.issn.1004-7638.2025.03.019
摘要(204) HTML (120) PDF(6)
摘要:
为研究控流装置对某钢厂78 t大型双流对称中间包内钢液流场的影响规律,采用数值模拟计算与水模拟试验相结合的方法研究了不同的控流装置变化的影响。在欧拉-欧拉框架下对原始条件中间包1∶1建模,研究了有无坝孔、坝与长水口间距、堰与长水口间距、湍流抑制器高度、堰距中间包底部间距和坝高度对双流中间包内钢液流场的影响。结果表明:随着湍流抑制器高度加大,堰距中间包底部间距减小,中间包钢液平均停留时间显著增加,死区体积分数显著减小。另外,坝无孔可有效抑制短路流的发展,延长钢液的流动距离,增加平均停留时间。增大坝与长水口的间距,平均停留时间先增大后减小;增大堰与长水口的间距,通过坝孔直接流向出钢口的短路流得到发展,平均停留时间呈减小趋势。
混合稀土对18MnCr石油套管钢中夹杂物的影响
孟宇翔, 田嘉治, 张玉玲, 邓叙燕, 高辉, 田青超
2025, 46(3): 140-148. doi: 10.7513/j.issn.1004-7638.2025.03.020
摘要(196) HTML (173) PDF(9)
摘要:
为了研究稀土RE在炼钢及连铸过程的含量及稀土在夹杂物中分布的变化,通过电弧炉熔炼制备了18MnCrRE钢。经炉外精炼及真空脱气(VD)后在钢液中添加混合稀土(La和Ce),之后连铸制坯以及热轧制管。采用光谱仪、金相显微镜和扫描电子显微镜对试验过程中钢样内稀土质量分数和分布等进行了检测分析。结果表明,加入稀土后,稀土质量分数在VD炉和中间包钢水中的衰减特征相似。稀土对夹杂物的改性变形作用体现在以原有夹杂物为质点在其周围富集稀土夹杂物,连铸时钢液中的稀土夹杂物易于聚集而串联在一起;轧制后稀土夹杂物以圆球状颗粒存在,变形性能较好的稀土氧硫化物实现了对硬质夹杂物Al2O3等的包裹与改性。
含硼钢连铸冷却过程氮化物竞争析出规律
张浩浩, 何春, 高琦, 吴娇, 龙俨丽, 张晏铭, 龙木军, 陈登福
2025, 46(3): 149-156. doi: 10.7513/j.issn.1004-7638.2025.03.021
摘要(202) HTML (151) PDF(9)
摘要:
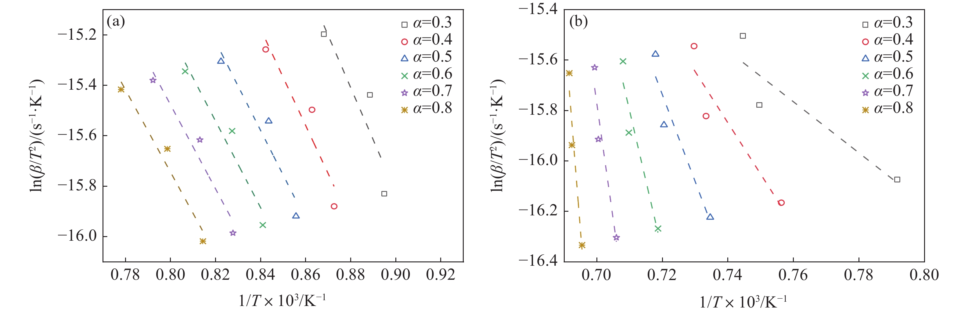
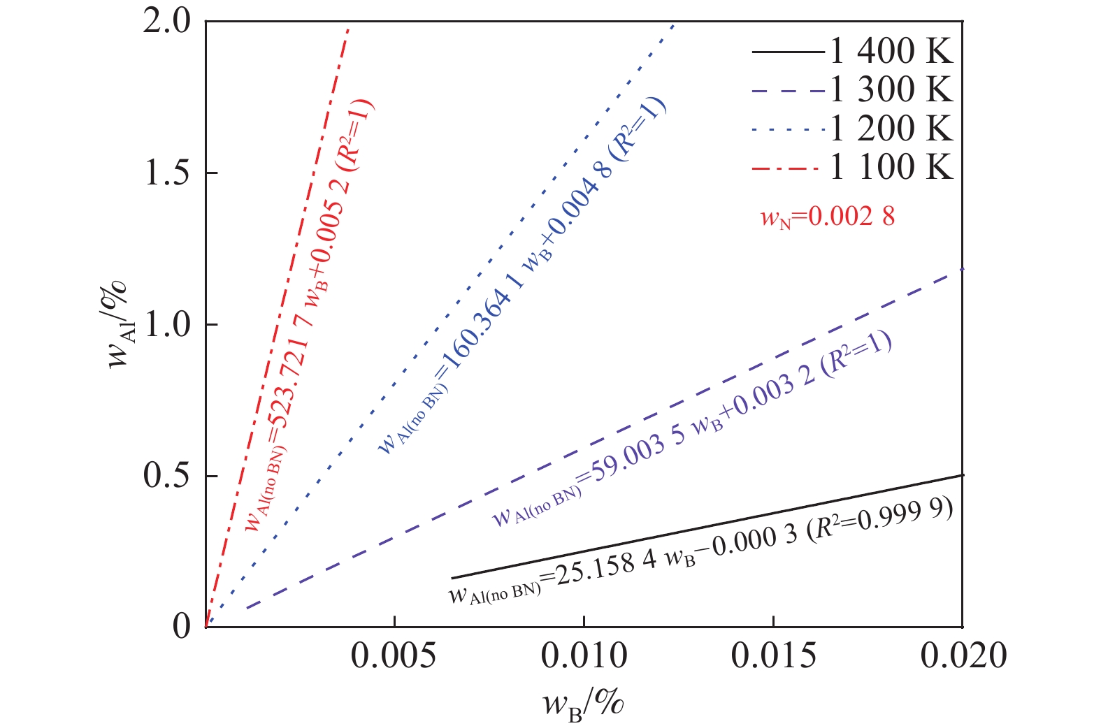
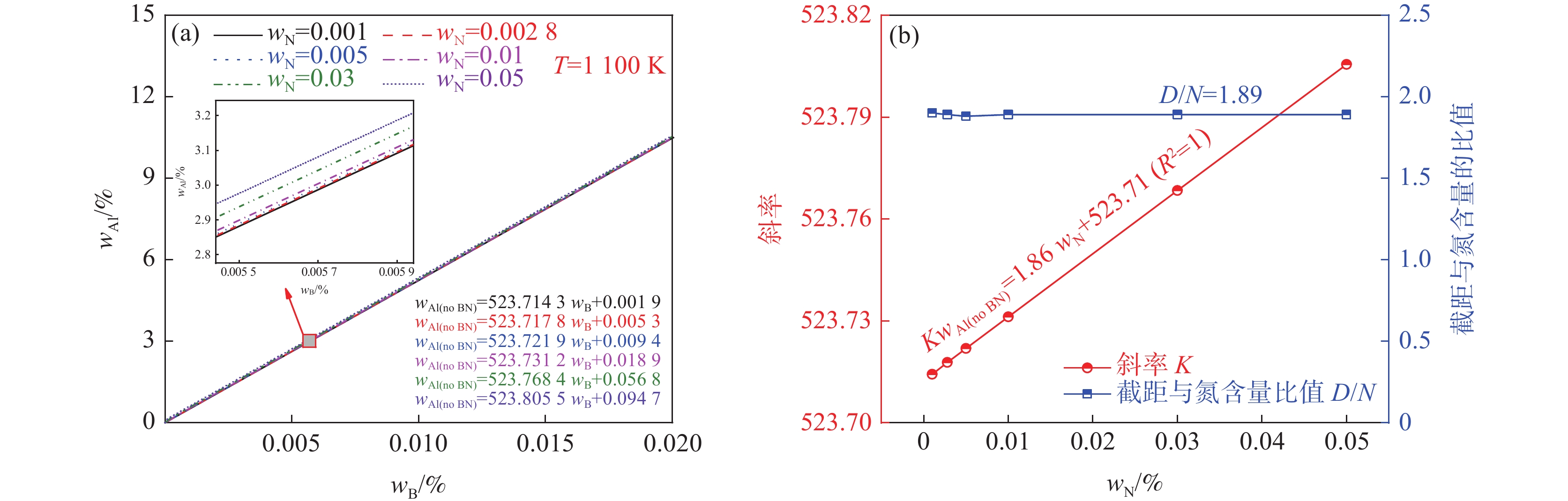
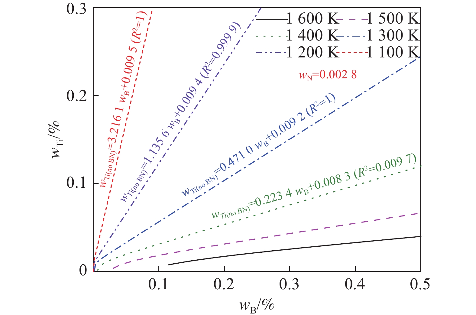
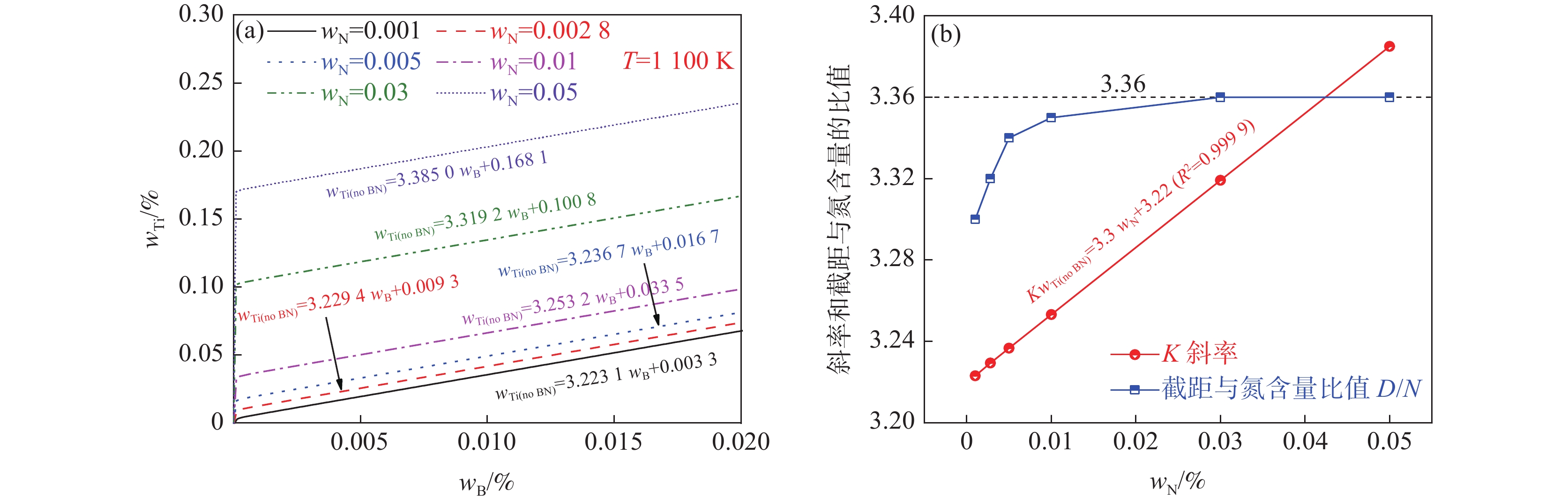
含硼钢连铸冷却过程中BN析出不仅会减少钢中有效硼含量,削弱硼合金化的有益效果,而且还会导致铸坯裂纹敏感性增强。探明氮化物的竞争析出规律对含硼钢连铸冷却过程BN析出相的精准调控具有重要的意义。针对含硼钢连铸冷却过程,通过热力学计算研究了BN、TiN、AlN间的竞争析出行为,并探究了钢中Ti、Al、N含量对BN析出抑制效果的影响规律。结果表明,随着钢中Ti、Al含量增高,TiN、AlN析出时机提前,增大到一定程度时TiN、AlN会先于BN析出,从而抑制BN析出;进一步提高钢中Ti、Al含量,最终使得BN完全不析出;相较于Al元素,通过调节钢中Ti元素含量来调控BN析出行为更为经济可靠;抑制BN完全不析出的临界钛添加量与钢中硼、氮元素含量的关系式为:${w_{{\text{Ti(no BN)}}}} = \left( {3.3{w_{\text{N}}} + 3.22} \right){w_{\text{B}}} + 3.36{w_{\text{N}}}$,临界钛添加量$ {w_{{\text{Ti(no BN)}}}} $随钢中氮、硼元素含量的增大而增大。研究结果为含硼钢成分设计和连铸坯质量控制提供了重要的理论依据。
高温高应变率下GH4169合金本构模型的构建
张继林, 唐林虎, 马富荣, 李忠林, 哈金福
2025, 46(3): 157-166. doi: 10.7513/j.issn.1004-7638.2025.03.022
摘要(306) HTML (166) PDF(8)
摘要:
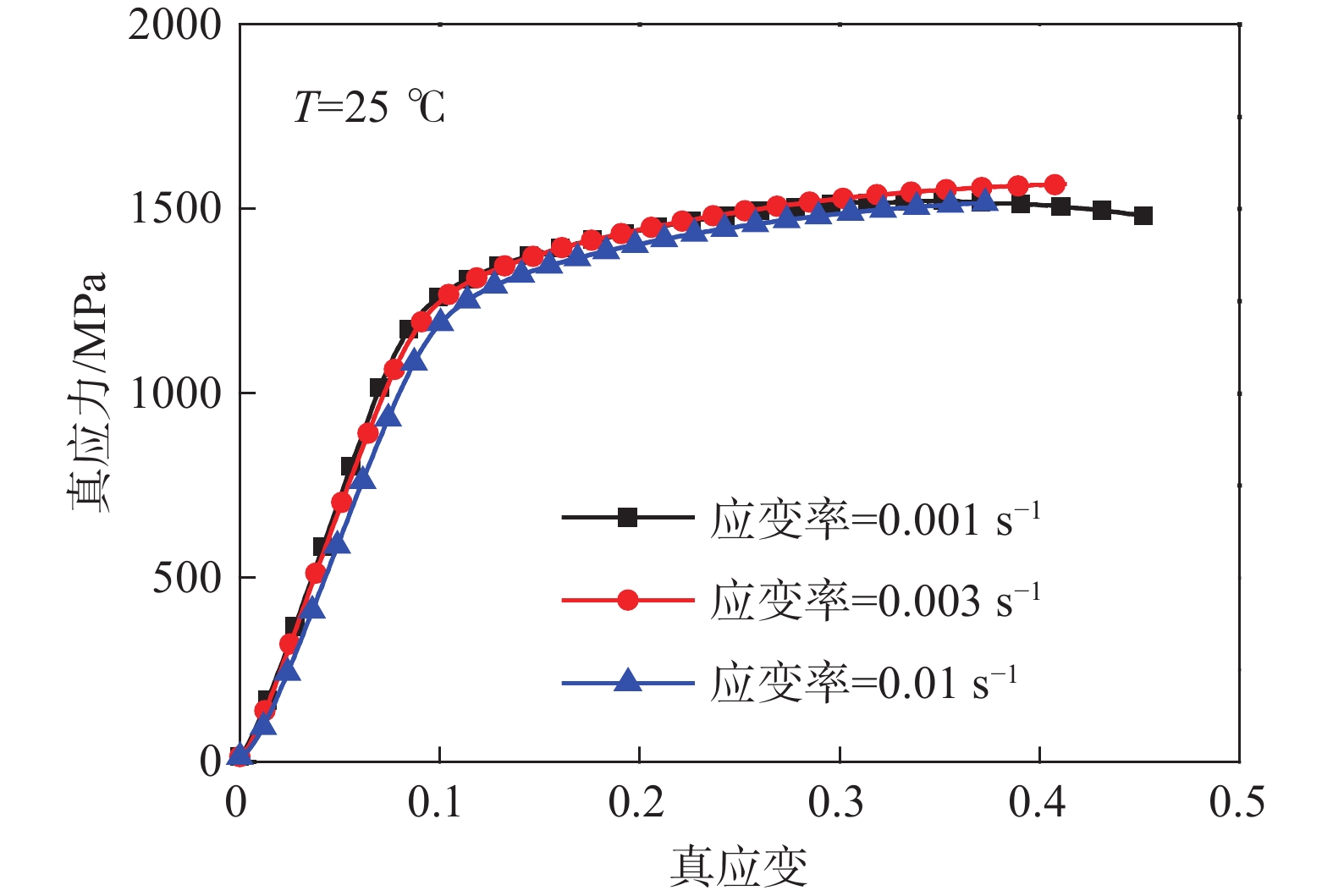
利用万能试验机(UTM5305)和霍普金森动态试验装置(ALT 1000)对GH4169合金分别进行准静态压缩试验和动态冲击试验,获得常温下应变率为0.001、0.003、0.1 s−1的准静态试验数据;以及温度为25、600、750、900 ℃和应变率为1500250035004500 s−1的动态试验数据,构建了Johnson-Cook(JC)本构模型及其修正模型。研究显示,材料的塑性硬化、热软化和速率敏感性都得到了体现,尤其在温度升至900 ℃时,软化效应尤为突出;原始JC本构方程的相关系数(r)为0.9147,决定系数(R2)为0.7422,平均相对误差(AARE)为14.53%,修正后的JC本构方程相关系数(r)提高至0.9444,决定系数(R2)提高至0.8867,平均相对误差(AARE)下降至10.77%,相较原始JC本构模型在预测精度和可靠性方面有显著提升,能够可靠正确描述材料的应力-应变行为。
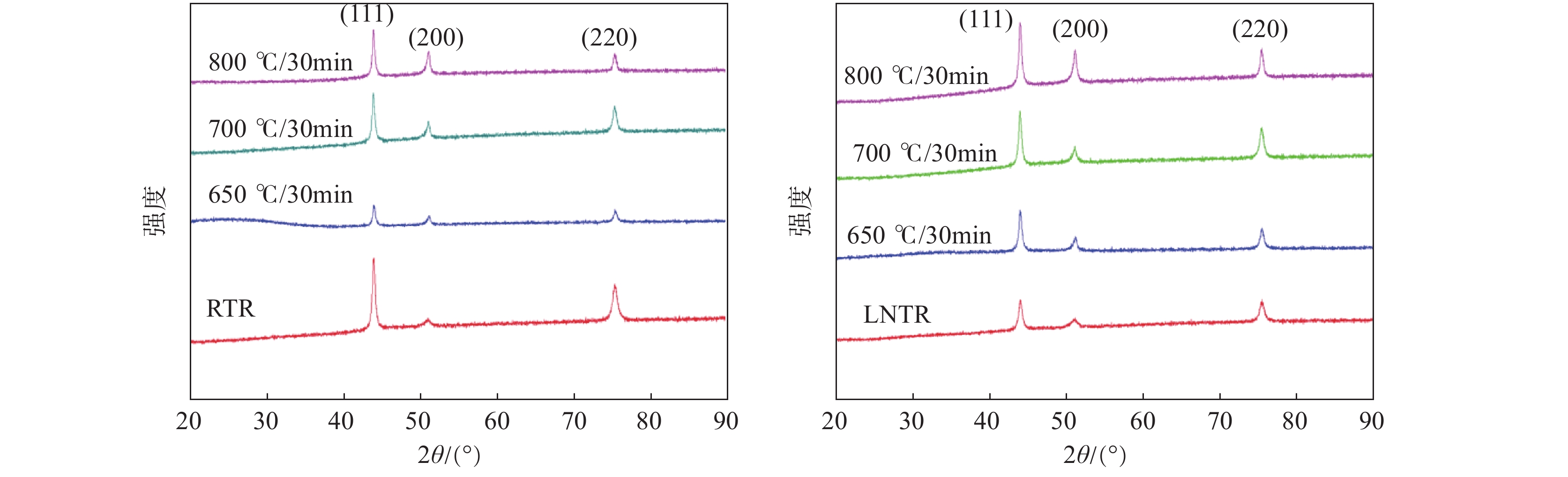
退火对室温与液氮温度轧制后CrCoNi中熵合金组织与力学性能影响
陈今良, 金学元, 易健宏
2025, 46(3): 167-173, 204. doi: 10.7513/j.issn.1004-7638.2025.03.023
摘要(246) HTML (141) PDF(7)
摘要:
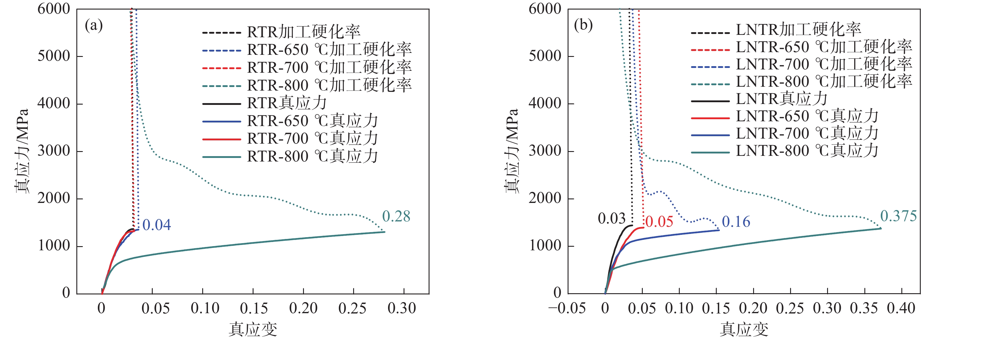
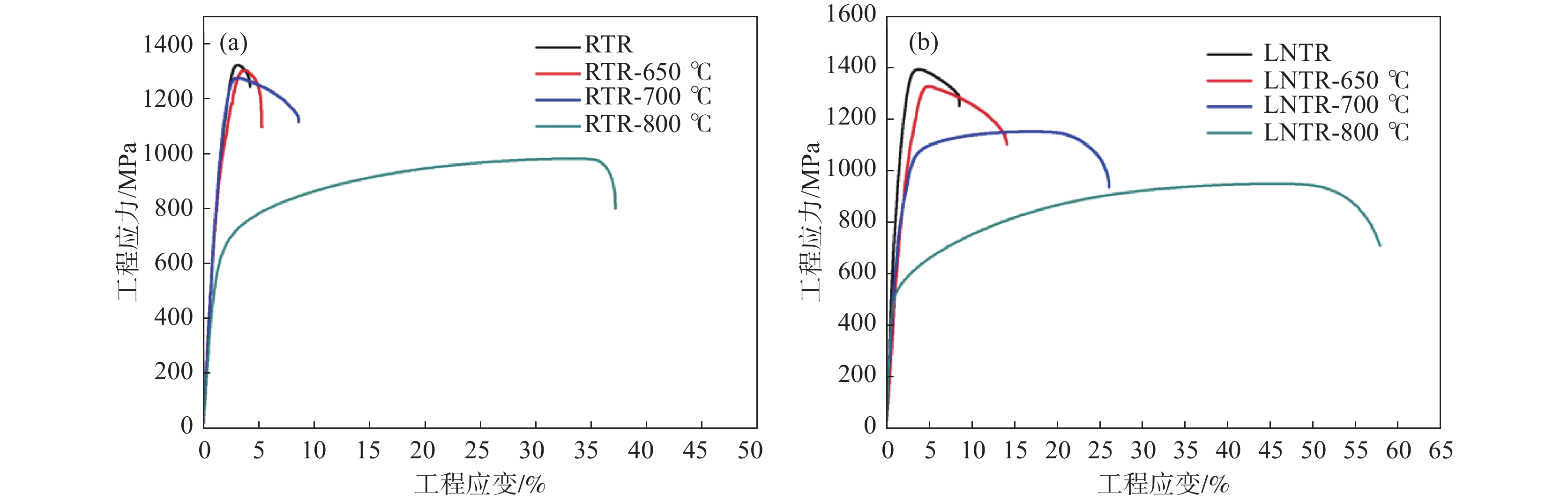
将铸态CrCoNi中熵合金分别在室温与液氮温度下轧制变形,随后分别采用中低温短时间退火工艺处理,对比室温轧制+退火、液氮温度轧制+退火对合金强塑性改善差异。结果表明:当退火参数为700 ℃/30 min时,两种轧制条件下合金的屈服强度均远高于1000 MPa,且LNTR-700 ℃试样的断裂延伸率维持在26.2%,远高于现有文献报道中同等参数退火态的强度和塑性值;当退火参数为800 ℃/30 min时,RTR-800 ℃合金的抗拉强度为987 MPa,断裂延伸率为37.2%,而LNTR-800 ℃试样的抗拉强度为947 MPa,断裂延伸率达到58%。即相比于室温轧制+退火,采用液氮温度轧制+退火工艺,对CrCoNi中熵合金的强塑性改善更为显著,原因是液氮温度轧制+退火后晶粒更为细小,形成更为明显的异质晶粒结构。
掺钇对熔盐电解制备CoCrFeNi高熵合金组织和力学性能的影响
胡蒙均, 杨皓, 罗翔宇, 温良英, 扈玫珑
2025, 46(3): 174-179. doi: 10.7513/j.issn.1004-7638.2025.03.024
摘要(246) HTML (128) PDF(10)
摘要:
采用熔盐电解混合氧化物直接固相脱氧制备CoCrFeNi高熵合金,并对稀土元素钇(Y)掺杂对CoCrFeNi高熵合金的物相、组织及力学性能的影响进行了系统研究。结果表明,可通过电解混合金属氧化物直接固相脱氧制备CoCrFeNi高熵合金,Y元素掺杂可直接以Y2O3的形态与主体氧化物混合后脱氧并实现元素掺杂,但该工艺制备过程会形成一定量Cr7C3相。适量Y掺杂可有效提升CoCrFeNi高熵合金的力学性能,当Y添加量达到5%后,高熵合金的显微硬度(HV)为399,比未添加Y的CoCrFeNi 高熵合金的硬度提升了58.3%。当Y添加量为1%时CoCrFeNi 高熵合金的抗拉强度提升10.7 %,断裂伸长率增加了5倍。
时效处理对马氏体时效不锈钢组织与拉伸性能的影响
孙悦, 郑淮北, 盛振东, 王英虎, 刘德学, 王斌, 张鹏
2025, 46(3): 180-186. doi: 10.7513/j.issn.1004-7638.2025.03.025
摘要(246) HTML (148) PDF(9)
摘要:
采用金相显微镜、扫描电镜、透射电镜及拉伸试验机等研究了不同时效处理高钛马氏体时效不锈钢的微观组织与拉伸行为。结果表明,不同时效处理高钛马氏体时效不锈钢的组织为马氏体和少量奥氏体,在马氏体基体内存在大量纳米级Ni3Ti析出相;1050-480、1050-500、1050-530和1050-550样品中Ni3Ti析出相长度分别为11.5、7.9、15.9 nm和33.1 nm,宽度分别为2.8、2.8、4.3 nm和7.8 nm。随析出相尺寸的增大,析出相分布逐渐变得稀疏,高钛马氏体时效不锈钢拉伸强度逐渐降低,塑性逐渐增大,拉伸断裂特征从脆性解理断裂向韧性韧窝断裂转变。
2300 MPa级含钒低合金钢超细组织制备及性能研究
龙威, 邝振越, 李国阳, 吴桂林, 陈文雄, 蒋琪
2025, 46(3): 187-194. doi: 10.7513/j.issn.1004-7638.2025.03.026
摘要(255) HTML (124) PDF(16)
摘要:
通过常规热轧和高温退火+冷轧制备了两种不同的初始组织,研究了初始组织对奥氏体化淬火后微观组织和力学性能的影响规律。结果表明,常规热轧样品淬火组织较为粗大,而高温退火+冷轧由于在淬火前引入了更多的晶界、更高密度的渗碳体、VC和位错缺陷,实现了淬火组织的显著细化。热轧样品和冷轧样品均可以实现较高的强度和塑性匹配,但冷轧样品由于更为细化的组织,其强度和塑性更为优异。冷轧样品可以在实现2384 MPa超高抗拉强度的同时获得14.0%的超高总伸长率,强塑积可达到33.4 GPa·%。
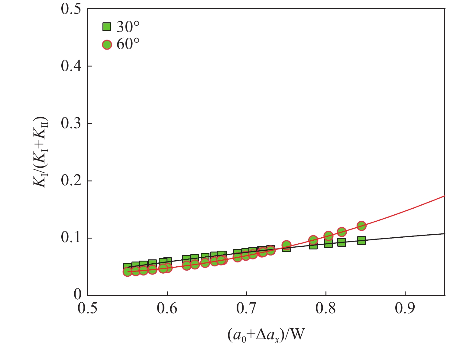
4130X钢Ⅰ-Ⅱ复合型疲劳裂纹扩展行为研究
晁龙, 秦晨, 陈凡, 曹文红, 黄国明, 夏明, 周昌玉, 贺小华
2025, 46(3): 195-204. doi: 10.7513/j.issn.1004-7638.2025.03.027
摘要(254) HTML (136) PDF(8)
摘要:
为探究4130X钢Ⅰ-Ⅱ复合型疲劳裂纹扩展规律,采用紧凑拉伸剪切(CTS)试样,开展不同加载角度、应力比下的试验及有限元分析(FEM)。结果表明:裂纹扩展路径不受应力比R的影响,随加载角度β的增大产生较大的偏转角度,起裂扩展角符合最大周向应力(MTS)准则;疲劳裂纹扩展速率(FCGR)随应力比R的增大而增快,随着加载角度β的增加而降低;裂纹尖端的塑性区形态会随加载角度而发生变化,塑性应变能在扩展过程中逐渐累积;断口形貌特征表明,应力比R和加载角度β会对断口处的疲劳辉纹以及二次裂纹产生明显的影响。